在冈萨雷斯《数字图像处理》第三版有如下内容:
we saw that image blurring could be accomplished in the spatial domain by pixel averaging in a neighborhood. Because averaging is analogous to integration, it is logical to conclude that sharpening can be accomplished by spatial differentiation.
中译本中这样翻译:
图像模糊可通过在空间域用像索邻域平均法实现。因为均值处理与积分类似,在逻辑上,我们可以得出锐化处理可由空间微分来实现这一结论。
为什么说图像的均值处理与积分类似呢?
之所以说均值处理与积分类似,老猿认为是这样得到的:
-
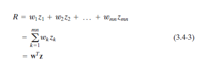
在《数字图像处理:线性和非线性滤波的平滑空间滤波器(Smoothing Spatial Filters)》中,介绍了线性滤波器(linear filter,也称为均值滤波器,averaging filters)可以表示成乘积求和的如下形式:

-
在《人工智能数学基础—定积分1:定积分的概念以及近似计算》介绍了定积分的概念,连续函数f(x)对应的和式

被称为函数f(x)的积分和;
从上面2点可以看到,线性滤波的乘积和和定积分的积分和表达式是一样的,而数字图像中每个像素点就是定积分中的每个区间中的一个点,而且数字图像不是连续函数而是离散函数,因此这种乘积和的形式就是对数字图像求积分。
更多图像处理请参考专栏《OpenCV-Python图形图像处理》、《图像处理基础知识》以及付费专栏《OpenCV-Python初学者疑难问题集》的介绍。
对于缺乏Python基础的同仁,可以通过老猿的免费专栏《 专栏:Python基础教程目录》从零开始学习Python。
如对文章内容存在疑问,可在博客评论区留言,或关注:老猿Python 微信公号发消息咨询:

也可以扫描博客左边栏目的微信公号二维码咨询。
写博不易,敬请支持:
如果阅读本文于您有所获,敬请点赞、评论、收藏,谢谢大家的支持!
关于老猿的付费专栏
- 付费专栏《https://blog.youkuaiyun.com/laoyuanpython/category_9607725.html 使用PyQt开发图形界面Python应用》专门介绍基于Python的PyQt图形界面开发基础教程,对应文章目录为《 https://blog.youkuaiyun.com/LaoYuanPython/article/details/107580932 使用PyQt开发图形界面Python应用专栏目录》;
- 付费专栏《https://blog.youkuaiyun.com/laoyuanpython/category_10232926.html moviepy音视频开发专栏 )详细介绍moviepy音视频剪辑合成处理的类相关方法及使用相关方法进行相关剪辑合成场景的处理,对应文章目录为《https://blog.youkuaiyun.com/LaoYuanPython/article/details/107574583 moviepy音视频开发专栏文章目录》;
- 付费专栏《https://blog.youkuaiyun.com/laoyuanpython/category_10581071.html OpenCV-Python初学者疑难问题集》为《https://blog.youkuaiyun.com/laoyuanpython/category_9979286.html OpenCV-Python图形图像处理 》的伴生专栏,是笔者对OpenCV-Python图形图像处理学习中遇到的一些问题个人感悟的整合,相关资料基本上都是老猿反复研究的成果,有助于OpenCV-Python初学者比较深入地理解OpenCV,对应文章目录为《https://blog.youkuaiyun.com/LaoYuanPython/article/details/109713407 OpenCV-Python初学者疑难问题集专栏目录 》
- 付费专栏《https://blog.youkuaiyun.com/laoyuanpython/category_10762553.html Python爬虫入门 》站在一个互联网前端开发小白的角度介绍爬虫开发应知应会内容,包括爬虫入门的基础知识,以及爬取优快云文章信息、博主信息、给文章点赞、评论等实战内容。
前两个专栏都适合有一定Python基础但无相关知识的小白读者学习,第三个专栏请大家结合《https://blog.youkuaiyun.com/laoyuanpython/category_9979286.html OpenCV-Python图形图像处理 》的学习使用。
对于缺乏Python基础的同仁,可以通过老猿的免费专栏《https://blog.youkuaiyun.com/laoyuanpython/category_9831699.html 专栏:Python基础教程目录)从零开始学习Python。
如果有兴趣也愿意支持老猿的读者,欢迎购买付费专栏。

144





