一、引言
在《人工智能数学基础—定积分7:无界函数的反常积分计算》介绍了无界函数的反常积分概念、计算方法以及收敛性的判断方法,通过求被积函数的原函数,然后按定义取极限,根据极限的存在与否来判定是否收敛。除了这种方式判断无界函数的反常积分是否收敛外,还有一种反常积分收敛性的判断方法。这就是本节要介绍的无界函数的反常积分审敛法。
注:所谓审敛法就是判断函数或级数是否收敛的方法。
二、无界函数反常积分审敛法
2.1、比较审敛法2
由《人工智能数学基础—定积分7:无界函数的反常积分计算》案例2可知,无界函数反常积分:

当q<1时收敛,当q≥1时发散。与《人工智能数学基础—定积分8:无穷限反常积分审敛法》介绍的比较审敛法1类似,可以得到无界函数反常积分的比较审敛法2。
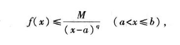
定理:设函数f(x)在区间(a,b]上连续,且f(x)≥0,x=a为f(x)的瑕点。如果存在常数M>0及q<1,使得:

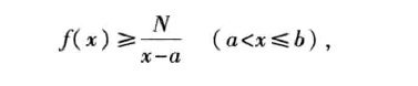
那么f(x)在区间(a,b]上对应的反常积分收敛;如果存在常数N>0,使得:

那么f(x)在区间(a,b]上对应的反常积分发散。
注意:针对第一个结论,这里的q的取值与比较审敛法1中p的取值对应的收敛情况恰好相反,老猿仔细思考发现,其实本质上二者对应的积分函数的原函数类似,如设t=x-a,则本定理中f(t)就类似比较审敛法1中的f(x),但二者的区间不同,在比较审敛法中x的区间为[a,+∞),而本定理中t的范围为(0,b-a],设M=N=1,在q≠1的情况下二者对应的被积函数本质上都是f(x)=1/xp:
- f(x)的原函数=∫(1/xp)dx=∫x-pdx =( x-p+1)/(-p+1)+C=(x1-p)/(1-p)+C,假设C=0,则∫(1/xp)dx= (x1-p)/(1-p)
- 比较审敛法1中的f(x)的反常积分为区间为[a,+∞),当p>1时,根据原函数容易证明该反常积分收敛,p≤1时发散;
- 比较审敛法2中的f(t)的反常积分为区间为(0,b-a],当p<1时,根据原函数容易证明该反常积分收敛,当p≥1时发散。
因此两个比较审敛法因为积分区间不同导致p的取值对反常积分的收敛性产生了完全不同的影响。
2.2、极限审敛法2
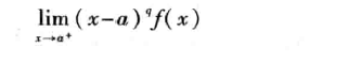
定理4:设函数f(x)在区间(a,b]上连续,且f(x)≥0,x=a为f(x)的瑕点。如果存在常数0<q<1,使得:

存在,那么反常积分:

收敛,如果:

那么该反常积分发散。
应用案例:

三、Γ函数
3.1、Γ函数定义

注:Γ为希腊字母γ的大写,读gamma(伽玛)。
3.2、Γ函数收敛性判断
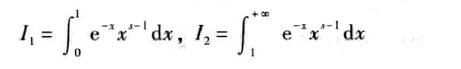
Γ函数右端积分中,当s<1时x=0是被积函数的瑕点,因此可以将该积分表示为如下两个积分的和:

对I1,当s≥1时,I1是定积分,当s<1时,因为:

根据比较审敛法2可以证明反常积分I1收敛。
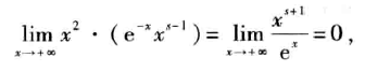
再讨论I2,因为:

根据极限审敛法1可得到I2也收敛。
因此在s>0时,Γ函数收敛。
3.3、Γ函数的熟悉
3.3.1、Γ函数的图形

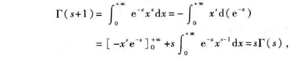
3.3.2、Γ函数递推公式
Γ函数递推公式:Γ(s+1) = s Γ(s) (s>0)
证:应用分部积分法:

一般地对于任何正整数n,有:Γ(n+1) = n!,因此可以把Γ函数看成是阶乘的推广。
3.3.3、当s->0+时,Γ(s)->+∞
证明:
因为Γ(s) = Γ(s+1)/s,因为Γ函数在s>0时连续,因此当s->0+时,lim Γ(s+1) = lim Γ(1),而Γ(1)=1,所以当s->0+时,Γ(s)->+∞。
3.3.4、余元公式
公式:Γ(s)Γ(1-s) = π/sin πs(0<s<1)
这个公式的证明比较复杂,书上也没介绍,在此也不进行介绍,感兴趣的自己在网上查询。
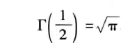
当s=1/2时,由余元公式可得:

3.3.5、Γ函数应用

四、小结
本文介绍了无界函数反常积分的比较审敛法和极限审敛法,以及特殊的无界函数Γ函数,以及Γ函数的一些特殊属性。
注:这里比较审敛法2、极限审敛法2都带有2,是因为这两个方法对无穷限函数也有类似规则。
ps:本节为定积分的最后一节,后面还有定积分的应用和微分方程两章,暂时停一下,以后再学习。后面准备恢复数字图像处理的学习。
说明:
本文内容是老猿学习同济版高数的总结,有需要原教材电子版以及OpenCV、Python基础知识、、图像处理原理介绍相关电子资料,或对文章内有有疑问咨询的,请扫博客首页左边二维码加微信公号,根据加微信公号后的自动回复操作。
更多人工智能数学基础请参考专栏《人工智能数学基础》。
写博不易,敬请支持:
如果阅读本文于您有所获,敬请点赞、评论、收藏,谢谢大家的支持!
关于老猿的付费专栏
- 付费专栏《https://blog.youkuaiyun.com/laoyuanpython/category_9607725.html 使用PyQt开发图形界面Python应用》专门介绍基于Python的PyQt图形界面开发基础教程,对应文章目录为《 https://blog.youkuaiyun.com/LaoYuanPython/article/details/107580932 使用PyQt开发图形界面Python应用专栏目录》;
- 付费专栏《https://blog.youkuaiyun.com/laoyuanpython/category_10232926.html moviepy音视频开发专栏 )详细介绍moviepy音视频剪辑合成处理的类相关方法及使用相关方法进行相关剪辑合成场景的处理,对应文章目录为《https://blog.youkuaiyun.com/LaoYuanPython/article/details/107574583 moviepy音视频开发专栏文章目录》;
- 付费专栏《https://blog.youkuaiyun.com/laoyuanpython/category_10581071.html OpenCV-Python初学者疑难问题集》为《https://blog.youkuaiyun.com/laoyuanpython/category_9979286.html OpenCV-Python图形图像处理 》的伴生专栏,是笔者对OpenCV-Python图形图像处理学习中遇到的一些问题个人感悟的整合,相关资料基本上都是老猿反复研究的成果,有助于OpenCV-Python初学者比较深入地理解OpenCV,对应文章目录为《https://blog.youkuaiyun.com/LaoYuanPython/article/details/109713407 OpenCV-Python初学者疑难问题集专栏目录 》
- 付费专栏《https://blog.youkuaiyun.com/laoyuanpython/category_10762553.html Python爬虫入门 》站在一个互联网前端开发小白的角度介绍爬虫开发应知应会内容,包括爬虫入门的基础知识,以及爬取优快云文章信息、博主信息、给文章点赞、评论等实战内容。
前两个专栏都适合有一定Python基础但无相关知识的小白读者学习,第三个专栏请大家结合《https://blog.youkuaiyun.com/laoyuanpython/category_9979286.html OpenCV-Python图形图像处理 》的学习使用。
对于缺乏Python基础的同仁,可以通过老猿的免费专栏《https://blog.youkuaiyun.com/laoyuanpython/category_9831699.html 专栏:Python基础教程目录)从零开始学习Python。
如果有兴趣也愿意支持老猿的读者,欢迎购买付费专栏。

本文介绍了无界函数反常积分的比较审敛法和极限审敛法,通过定理和案例阐述了如何判断无界函数反常积分的收敛性。同时,详细探讨了Γ函数的定义、收敛性判断及其特殊性质,包括Γ函数的图形、递推公式和应用。这些内容对于理解积分理论和特殊函数有着重要意义。
2661





