- fGAN
三十二、fGAN:General Framework of GAN
(General Framework:总体框架)
我们定某种objective function就是在量JS Divergence,fGAN就是在说怎么量其它的divergence。
1、f-divergence
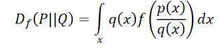
假设有两个distribution,PPP、QQQ,p(x)p(x)p(x) and q(x)q(x)q(x) are the probability of sampling x。
PPP和QQQ的f-divergence 如下:

有两个条件:(1)fff是convex(凸面的);(2)f(1)=0f(1) = 0f(1)=0。
为什么上式可以看作PPP和QQQ的差异?
如果p(x)=q(x)p(x)=q(x)p(x)=q(x),即PPP和QQQ是一样的,那么它们的距离为0:

如果PPP和QQQ略有不同的时候,它们的距离一定会大于等于0:

所以上式可以看作PPP和QQ

本文介绍了fGAN的f-divergence概念和芬切尔共轭物,探讨了fGAN与GAN的联系,针对GAN训练中的模式崩溃和模式下降问题,提出了包括Ensemble、LSGAN、WGAN、WGAN-GP和EBGAN等解决方案,强调了Wasserstein距离和Lipschitz约束的重要性。
最低0.47元/天 解锁文章
1964

被折叠的 条评论
为什么被折叠?



