本篇文章主要讲解算法练习题
1 删除链表的倒数第 N 个节点
链接:19. 删除链表的倒数第 N 个结点 - 力扣(LeetCode)
题目描述:
给你一个链表,删除链表的倒数第
n个结点,并且返回链表的头结点。示例 1:
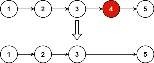
输入:head = [1,2,3,4,5], n = 2 输出:[1,2,3,5]示例 2:
输入:head = [1], n = 1 输出:[]示例 3:
输入:head = [1,2], n = 1 输出:[1]提示:
- 链表中结点的数目为
sz1 <= sz <= 300 <= Node.val <= 1001 <= n <= sz
题目解析:
这道题目的题意比较简单,就是题目中会给你一个单链表的头节点,然后给你一个数字 n,题目要求你删除链表中的倒数第 n 个节点,然后最终返回删除该节点之后的链表的头节点。比如:head = [1, 2, 3, 4, 5],n = 5,删除掉链表中的倒数第 5 个节点,所以返回的链表为 head = [2, 3, 4, 5]。
算法解析:
由于题目中是单链表,没法通过后向节点找到其前向节点,所以要删除倒数第 n 个节点,首先需要先从头开始找到要删除的节点 del,还需要找到 del 的前一个节点 prev,然后让 prev->next = cur->next,这样就相当于从链表中删去了 cur 节点。所以最容易想的算法就是:利用链表的长度。首先我们利用一个 cur 指针算出链表的长度 len,然后要删除的节点就是从头开始的第 len - n + 1 个节点,然后我们让 del 从头节点开始,向后走 len - n 次,同时用 prev 节点记录其前一个节点,然后让 prev->next = del->next,最后返回 head 就可以了。但是有种特殊情况需要处理一下,那就是删除的节点是头节点的情况,此时 len - k = 0,那么 del 依然是 head,prev 也是 head,这时候其实没有达到删除头节点的效果,这时候需要特殊处理,可以利用添加哨兵位或者返回 head->next 就可以了:
class Solution
{
public:
ListNode* removeNthFromEnd(ListNode* head, int n)
{
//首先计算出连链表的长度
int len = 0;
ListNode* cur = head;
while (cur)
{
++len;
cur = cur->next;
}
//创建哨兵位
//ListNode* phead = new ListNode(0, head);
//ListNode* del = head;
//ListNode* prev = phead;
//for (int i = 0; i < len - n; ++i)
//{
// prev = del;
// del = del->next;
//}
//prev->next = del->next;
//ListNode* ret = phead->next;
//delete phead;
//return ret;
//特殊处理
if (len == n) return head->next;
ListNode* del = head;
ListNode* prev = head;
for (int i = 0; i < len - n; ++i)
{
prev = del;
del = del->next;
}
prev->next = del->next;
return head;
}
};
上面那种算法遍历了两次链表,接下来我们可以优化算法,使其只遍历一遍链表,首先我们创建一个哨兵位 phead,再创建两个指针,left 和 right,left = phead,right = head;我们先让 right 走 n 次,这样 left 和 right 之间就隔了 n 个节点。之后再让left = left->next, right = right->next,直到 right 走到空,这样 left 正好走到了第倒数 n + 1 个节点,此时再让 left->next = left->next->next 就可以了。
代码:
class Solution
{
public:
ListNode* removeNthFromEnd(ListNode* head, int n)
{
//先创建一个哨兵位
ListNode* phead = new ListNode(0, head);
ListNode* left = phead, *right = head;
//先让 right 走 n 个节点
for (int i = 0; i < n; i++) right = right->next;
//然后让 right 走到空,left 同时向后走
while (right)
{
left = left->next;
right = right->next;
}
//此时 left 位于要删除节点的前一个节点
left->next = left->next->next;
ListNode* ret = phead->next;
delete phead;
return ret;
}
};
2 判断子序列
题目描述:
给定字符串 s 和 t ,判断 s 是否为 t 的子序列。
字符串的一个子序列是原始字符串删除一些(也可以不删除)字符而不改变剩余字符相对位置形成的新字符串。(例如,
"ace"是"abcde"的一个子序列,而"aec"不是)。进阶:
如果有大量输入的 S,称作 S1, S2, ... , Sk 其中 k >= 10亿,你需要依次检查它们是否为 T 的子序列。在这种情况下,你会怎样改变代码?
示例 1:
输入:s = "abc", t = "ahbgdc" 输出:true示例 2:
输入:s = "axc", t = "ahbgdc" 输出:false提示:
0 <= s.length <= 1000 <= t.length <= 10^4- 两个字符串都只由小写字符组成。
题目解析:
这道题目就是会给你两个字符串 s 和 t,要去让你判断出 s 是否是 t 的子序列,如果是就返回 true,不是返回 false。其中子序列是原始字符串中删除一些字符之后的字符串,但是原来的相对位置不能改变(原字符串也是子序列),比如:"abc" 就是 "canbndc" 的子序列。
算法讲解:
这道题目还是比较简单的,我们首先利用一个 left 指针和一个 right 指针,left 用来遍历 s 字符串,right 用来遍历 t 字符串,如果 t[right] == s[left],那就 ++left;当 right 遍历完 t 字符串之后,如果 left 也正好遍历完 s 字符串,那就说明 s 是 t 的子序列,否则就不是 t 的子序列。
代码:
class Solution
{
public:
bool isSubsequence(string s, string t)
{
int left = 0, right = 0;//left 来遍历 s, right 来遍历 t
while (right < t.size())
{
if (t[right] == s[left]) ++left;
if (left == s.size()) break;
++right;
}
return left == s.size();
}
};
3 存在重复元素 ||
题目描述:
给你一个整数数组
nums和一个整数k,判断数组中是否存在两个 不同的索引i和j,满足nums[i] == nums[j]且abs(i - j) <= k。如果存在,返回true;否则,返回false。示例 1:
输入:nums = [1,2,3,1], k = 3 输出:true示例 2:
输入:nums = [1,0,1,1], k = 1 输出:true示例 3:
输入:nums = [1,2,3,1,2,3], k = 2 输出:false提示:
1 <= nums.length <= 105-109 <= nums[i] <= 1090 <= k <= 105
题目解析:
这道题目会给你一个整数数组 nums 和一个整数 k,题目的要求是在 abs(i - j) <= k 的前提下,如果能找到两个不同的索引 i 和 j, 满足 nums[i] == nums[j],那就返回 true,否则返回 false。
算法解析:
这道题目的解法我们可以采用哈希表 + 滑动窗口来实现:
(1) 定义 left = 0, right = 0, unordered_map<int, int> um
(2) 进窗口:um[nums[right]]++,++right
(3) 判断:如果 right - left > k,那就出窗口: um[nums[left]]--,++left
(4) 更细结果:如果 um[nums[right]] > 1,那就返回 true
代码:
class Solution
{
public:
bool containsNearbyDuplicate(vector<int>& nums, int k)
{
int left = 0, right = 0;
unordered_map<int, int> um;
while (right < nums.size())
{
//进窗口
um[nums[right]]++;
//判断
if (right - left > k)
{
um[nums[left]]--;
++left;
}
//更新结果
if (um[nums[right]] > 1) return true;
++right;
}
return false;
}
};

4万+

被折叠的 条评论
为什么被折叠?



