搬寝室 - 九度教程第 99 题
题目
时间限制:1 秒 内存限制:32 兆 特殊判题:否
题目描述:
搬寝室是很累的,xhd 深有体会.时间追述 2006 年 7 月 9 号,那天 xhd 迫于无奈要从 27 号楼搬到 3 号楼,因为 10 号要封楼了.看着寝室里的 n 件物品,xhd 开始发呆,因为 n 是一个小于 2000 的整数,实在是太多了,于是 xhd 决定随便搬 2k 件过去就行了.但还是会很累,因为 2k 也不小是一个不大于 n 的整数.幸运的是 xhd 根据多年的搬东西的经验发现每搬一次的疲劳度是和左右手的物品的重量差的平方成正比(这里补充一句,xhd 每次搬两件东西,左手一件右手一件).例如 xhd 左手
拿重量为 3 的物品,右手拿重量为 6 的物品,则他搬完这次的疲劳度为(6-3)^2 = 9.现在可怜的 xhd 希望知道搬完这 2k 件物品后的最佳状态是怎样的(也就是最低的疲劳度),请告诉他吧.
输入:
每组输入数据有两行,第一行有两个数 n,k(2<=2k<=n<2000).第二行有 n 个整数分别表示 n 件物品的重量(重量是一个小于 2^15 的正整数).
输出:
对应每组输入数据,输出数据只有一个表示他的最少的疲劳度,每个一行.
样例输入:
2 1
1 3
样例输出:
4
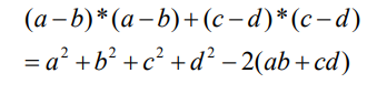
注意到任意选择一对物品,其累积的疲劳度为两个物品重量差的平方,在所有被选择的物品中任选两对,假设四个物品重量分别为 a、b、c、d(a<=b<=c<=d),此时可能存在两种配对方案。若 a、b 为一组,则疲劳度为

在另一种配对方案中 a、c 为一组,则疲劳度为

这是一个关于搬寝室的动态规划问题,目标是找到搬2k件物品时的最小疲劳度。疲劳度与物品重量差的平方成正比。通过分析得出,最优方案是每对物品的重量相邻。采用动态规划方法,状态转移方程为O(k*n),时间复杂度在可接受范围内。
最低0.47元/天 解锁文章
927

被折叠的 条评论
为什么被折叠?



