💥💥💥💥💥💥💥💥💞💞💞💞💞💞💞💞💞Matlab武动乾坤博客之家💞💞💞💞💞💞💞💞💞💥💥💥💥💥💥💥💥
🚀🚀🚀🚀🚀🚀🚀🚀🚀🚀🚤🚤🚤🚤🚤🚤🚤🚤🚤🚤🚤🚤🚤🚤🚤🚤🚤🚤🚤🚤🚀🚀🚀🚀🚀🚀🚀🚀🚀🚀

🔊博主简介:985研究生,Matlab领域科研开发者;
🚅座右铭:行百里者,半于九十。
🏆代码获取方式:
优快云 Matlab武动乾坤—代码获取方式
更多Matlab图像处理仿真内容点击👇
①Matlab图像处理(进阶版)
⛳️关注优快云 Matlab武动乾坤,更多资源等你来!!
⛄一、对比度增强结合多尺度边缘保持分解红外与可见光图像融合简介
1 引言
夜视成像技术在军事与执法领域,如监控,侦查,情报搜集和安保等方面有着重要应用。不同类型的夜视成像传感器在记录同一场景时,在其提供的信息中有部分是冗余的或互补的。图像融合技术可以将可见光图像与热红外图像融合为一幅图像。融合后的新图像能够清晰地显示目标与背景,相比每个单独的源图像融合图像可以提供更多信息。因此,为了获得更适合人感知和计算机处理的夜视图像,有必要对更有效的融合算法展开研究。
近年来,国内外针对像素级图像融合算法做了大量研究,其中以多尺度融合算法居多,如拉普拉斯金字塔、平移不变离散小波变换、contourlet 变换和 ridgelet 变换等 。上述方法可以较好地保存不同源图像的细节,但在融合过程中没有充分考虑空间一致性,导致融合图像存在伪影。文献[5]提出一种基于导向滤波的加权平均融合算法,导向滤波用于解决空间一致性问题,但算法中没有考虑多尺度分解,导致丢失源图像中的细节。此外,在夜间拍摄的可见图像中细节的可视较差,若直接融合,得到的融合结果整体清晰度不理想,故在融合之前有
必要增强可见光图像对比度。常用的对比度增强算法有直方图均衡化算法、ACE 算法和多尺度 retinex算法等 ,但这些算法运算量大或产生伪影。通过动态范围压缩和对比度增强完成对可见光图像的增强,但其不能自适应地增强可见光图像中的细节。针对以上算法存在的问题,本文提出一种改进的图像融合方法。该方法首先在融合之前采用基于导向滤波的自适应增强算法提高夜间可见光图像的细节可视性;其次,利用 RGF(Rolling Guidance Filter)对源图像进行多尺度分解,提取不同尺度下的图像特征,与常规边缘保持滤波器相比,RGF 具有尺度感知特性,其能够更好地实现图像特征的尺度分离;最后,通过权重图重构融合图像。实验结果证明了算法在弱光或非均匀光照条件下有着较好的应用效果。
2 基于导向滤波的夜间可见光图像自适应增强算法
2.1 导向滤波原理
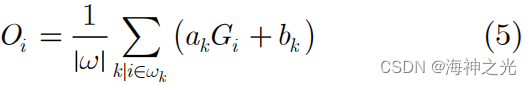
导向滤波是一种基于局部线性模型的边缘保持滤波,包括输入图像 I,导向图 G 和输出图像 O。理论上,导向滤波假设在以像素点 k 为中心的局部窗口 ωk 内,滤波输出为导向图 G 的线性变换:

ωk 为一个半径为 r 的正方形窗口。在ωk 内线性系数ak 和bk 为常数,其可以通过最小化下列代价函数估
计出:

ε 为正则化参数防止ak 过大。系数ak 和bk 可以直接通过线性回归求出:

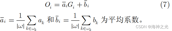
ω 为ωk 内的像素点个数,I k 和Gi 分别为图像 I 和图像 G 在窗口ωk 内的平均值,σk2 为 I 在窗口ωk 内的方差。由于像素点 i 包含在若干不同的窗口ωk 中,故式(1)中滤波输出Oi 的值会随着窗口 ωk 的变化而改
变。该问题可通过平均Oi 的所有可能值来解决:

根据窗口的对称性可得到:

因此,式(1)可改写为

导向滤波由式(3),式(4)和式(7)构成,当输入图像 I 与导向图 G 相同时,导向滤波表现出与双边滤波相似的保边特性。
2.2 算法步骤
基于导向滤波的自适应增强算法主要包括 3 个步骤:图像分解、动态范围压缩和对比度恢复。
首先,假设源图像为 I,利用导向滤波GF( , X r, )ε 对源图像 I 进行平滑处理,得到图像在对数域
中的基础层:

然后获取图像的细节层:

式中,lg()⋅ 为自然对数算子,lg 1 ( ) x + 代替lgx 防止对数值为负。至此,源图像已通过导向滤波分解为两个尺度。提取到的基础层保留了源图像的大尺度特征,具有较高动态范围,下一步需要通过比例因子 β 对其进行动态范围压缩,再利用另一因子 γ 恢复整体对比度,以上操作可由式(10)表达:

从式(10)中可以看出当 β < 1 时仅基础层对比度降低,细节层并未改变,因此细节得以保存。
其他理论简介见参考文献。
⛄二、部分源代码
%% 初始化
clc
clear all
close all
warning off all;
%% 读入图像
I_r=imread(‘IR.bmp’); % 红外光图像
I_v=imread(‘VI.bmp’); % 可见光图像
%% 将彩色图像转换为灰度图像
if size(I_v,3)>1
I_r=rgb2gray(I_r);
I_r=double(I_r);
I_v=rgb2gray(I_v);
I_v=double(I_v);
else
I_r=double(I_r);
I_v=double(I_v);
end
⛄三、运行结果




⛄四、matlab版本及参考文献
1 matlab版本
2014a
2 参考文献
[1]朱浩然,刘云清,张文颖.基于对比度增强与多尺度边缘保持分解的红外与可见光图像融合[J].电子与信息学报. 2018,40(06)
3 备注
简介此部分摘自互联网,仅供参考,若侵权,联系删除
🍅 仿真咨询
1 各类智能优化算法改进及应用
生产调度、经济调度、装配线调度、充电优化、车间调度、发车优化、水库调度、三维装箱、物流选址、货位优化、公交排班优化、充电桩布局优化、车间布局优化、集装箱船配载优化、水泵组合优化、解医疗资源分配优化、设施布局优化、可视域基站和无人机选址优化
2 机器学习和深度学习方面
卷积神经网络(CNN)、LSTM、支持向量机(SVM)、最小二乘支持向量机(LSSVM)、极限学习机(ELM)、核极限学习机(KELM)、BP、RBF、宽度学习、DBN、RF、RBF、DELM、XGBOOST、TCN实现风电预测、光伏预测、电池寿命预测、辐射源识别、交通流预测、负荷预测、股价预测、PM2.5浓度预测、电池健康状态预测、水体光学参数反演、NLOS信号识别、地铁停车精准预测、变压器故障诊断
3 图像处理方面
图像识别、图像分割、图像检测、图像隐藏、图像配准、图像拼接、图像融合、图像增强、图像压缩感知
4 路径规划方面
旅行商问题(TSP)、车辆路径问题(VRP、MVRP、CVRP、VRPTW等)、无人机三维路径规划、无人机协同、无人机编队、机器人路径规划、栅格地图路径规划、多式联运运输问题、车辆协同无人机路径规划、天线线性阵列分布优化、车间布局优化
5 无人机应用方面
无人机路径规划、无人机控制、无人机编队、无人机协同、无人机任务分配
6 无线传感器定位及布局方面
传感器部署优化、通信协议优化、路由优化、目标定位优化、Dv-Hop定位优化、Leach协议优化、WSN覆盖优化、组播优化、RSSI定位优化
7 信号处理方面
信号识别、信号加密、信号去噪、信号增强、雷达信号处理、信号水印嵌入提取、肌电信号、脑电信号、信号配时优化
8 电力系统方面
微电网优化、无功优化、配电网重构、储能配置
9 元胞自动机方面
交通流 人群疏散 病毒扩散 晶体生长
10 雷达方面
卡尔曼滤波跟踪、航迹关联、航迹融合
本文介绍了一种结合对比度增强和多尺度边缘保持分解的Matlab图像融合方法,用于提高夜间可见光图像的清晰度。通过导向滤波和RGF技术,解决了空间一致性问题并提升了细节保留。实验结果显示在低光条件下的融合效果显著。
471

被折叠的 条评论
为什么被折叠?



