1. X轴方向

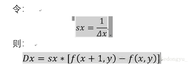
矩阵是离散的,所以:

编写代码:
def gradx(Img, sx = 1.0):
return sx * (Img[1: , : ] - Img[ :-1, : ])
2. Y轴方向

编写代码:
def grady(Img, sy = 1.0):
return sy * (Img[ : , 1: ] - Img[ : , : -1])
本文探讨了图像处理中如何计算矩阵的一阶偏导数,分别阐述了在X轴和Y轴方向上的处理方法,并提供了相应的代码实现。

矩阵是离散的,所以:

def gradx(Img, sx = 1.0):
return sx * (Img[1: , : ] - Img[ :-1, : ])

def grady(Img, sy = 1.0):
return sy * (Img[ : , 1: ] - Img[ : , : -1])
904
5万+
5万+

被折叠的 条评论
为什么被折叠?