Leetcode(144)——二叉树的前序遍历
题目
给你二叉树的根节点 root ,返回它节点值的 前序 遍历。
示例 1:
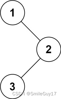
输入:root = [1,null,2,3]
输出:[1,2,3]
示例 2:
输入:root = []
输出:[]
示例 3:
输入:root = [1]
输出:[1]
示例 4:
输入:root = [1,2]
输出:[1,2]
示例 5:
输入:root = [1,null,2]
输出:[1,2]
提示:
- 树中节点数目在范围 [0, 100] 内
- -100 <= Node.val <= 100
进阶:递归算法很简单,你可以通过迭代算法完成吗?
题解
方法一:递归
思路
首先我们需要了解什么是二叉树的前序遍历:按照访问根节点——左子树——右子树的方式遍历这棵树,而在访问左子树或者右子树的时候,我们按照同样的方式遍历,直到遍历完整棵树。因此整个遍历过程天然具有递归的性质,我们可以直接用递归函数来模拟这一过程。
定义 preorder(root) 表示当前遍历到 root 节点的答案。按照定义,我们只要首先将 root 节点的值加入答案,然后递归调用 preorder(root.left) 来遍历 root 节点的左子树,最后递归调用 preorder(root.right) 来遍历 root 节点的右子树即可,递归终止的条件为碰到空节点。
代码实现
/**
* Definition for a binary tree node.
* struct TreeNode {
* int val;
* TreeNode *left;
* TreeNode *right;
* TreeNode() : val(0), left(nullptr), right(nullptr) {}
* TreeNode(int x) : val(x), left(nullptr), right(nullptr) {}
* TreeNode(int x, TreeNode *left, TreeNode *right) : val(x), left(left), right(right) {}
* };
*/
class Solution {
vector<int> ans;
public:
vector<int> preorderTraversal(TreeNode* root) {
preorder(root);
return ans;
}
void preorder(TreeNode* root){
if(root == nullptr) return;
ans.push_back(root->val);
preorder(root->left);
preorder(root->right);
}
};
复杂度分析
时间复杂度:O(n)O(n)O(n),其中 nnn 是二叉树的节点数。每一个节点恰好被遍历一次。
空间复杂度:O(n)O(n)O(n),为递归过程中栈的开销,平均情况下为 O(logn)O(\log n)O(logn),最坏情况下树呈现链状,为 O(n)O(n)O(n)。
方法二:迭代
思路
我们也可以用迭代的方式实现方法一的递归函数,两种方式是等价的,区别在于递归的时候隐式地维护了一个栈,而我们在迭代的时候需要显式地将这个栈模拟出来——实现其 根结点 > 左子树 > 右子树 的遍历顺序,其余的实现与细节都相同,


我们使用栈来进行迭代,过程如下:
- 初始化栈,并将根节点入栈;
- 当栈不为空时:
- 弹出栈顶元素 node,并将值添加到结果中;
- 如果 node 的右子树非空,将右子树入栈;
- 如果 node 的左子树非空,将左子树入栈;
- 弹出栈顶元素 node,并将值添加到结果中;
由于栈是“先进后出”的顺序,所以入栈时先将右子树入栈,这样使得前序遍历结果为 “根->左->右”的顺序。

代码实现
Leetcode 官方题解
class Solution {
public:
vector<int> preorderTraversal(TreeNode* root) {
vector<int> res;
if (root == nullptr) return res;
stack<TreeNode*> stk;
TreeNode* node = root;
while (!stk.empty() || node != nullptr) {
while (node != nullptr) {
res.emplace_back(node->val);
stk.emplace(node);
node = node->left;
}
node = stk.top();
stk.pop();
node = node->right;
}
return res;
}
};
我的
class Solution {
public:
vector<int> preorderTraversal(TreeNode* root) {
vector<int> ans;
if(root == nullptr) return ans;
stack<TreeNode*> nodes; // 进栈的结点,当再次访问时,即证明其左子树的结点均已访问完
bool recall= false; // true 回溯,false 不回溯
TreeNode* p = nullptr;
nodes.push(root);
ans.push_back(root->val);
while(!nodes.empty()){
// recall 用于回溯时不重复遍历栈中结点的左子树
if(nodes.top()->left != nullptr && !recall){ // 若栈顶结点的左子树非空
ans.push_back(nodes.top()->left->val);
nodes.push(nodes.top()->left);
}else if(nodes.top()->right != nullptr){ // 若栈顶结点的右子树为空
recall = false;
p = nodes.top()->right;
ans.push_back(p->val);
nodes.pop();
nodes.push(p);
}else{
nodes.pop();
recall = true; // 遇到叶子结点,开始回溯,访问此时栈中结点的右子树
}
}
return ans;
}
};
复杂度分析
时间复杂度:O(n)O(n)O(n),其中 nnn 是二叉树的节点数。每一个节点恰好被遍历一次。
空间复杂度:O(n)O(n)O(n),为迭代过程中显式栈的开销,平均情况下为 O(logn)O(\log n)O(logn),最坏情况下树呈现链状,为 O(n)O(n)O(n)。
方法三:Morris 遍历
思路
有一种巧妙的方法可以在线性时间内,只占用常数空间来实现前序遍历。这种方法由 J. H. Morris 在 1979 年的论文「Traversing Binary Trees Simply and Cheaply」中首次提出,因此被称为 Morris 遍历。
Morris 遍历的核心思想是利用树的大量空闲指针,实现空间开销的极限缩减。Morris 的前序遍历规则总结如下:
- 新建临时节点,令该节点为
root; - 如果当前节点的左子节点为空,将当前节点加入答案,并遍历当前节点的右子节点;
- 如果当前节点的左子节点不为空,在当前节点的左子树中找到当前节点在中序遍历下的前驱节点:
- 如果前驱节点的右子节点为空,将前驱节点的右子节点设置为当前节点。然后将当前节点加入答案,并将前驱节点的右子节点更新为当前节点。当前节点更新为当前节点的左子节点。
- 如果前驱节点的右子节点为当前节点,将它的右子节点重新设为空。当前节点更新为当前节点的右子节点。
- 重复步骤 2 和步骤 3,直到遍历结束。
这样我们利用 Morris 遍历的方法,前序遍历该二叉树,即可实现线性时间与常数空间的遍历。
代码实现
class Solution {
public:
vector<int> preorderTraversal(TreeNode *root) {
vector<int> res;
if (root == nullptr) {
return res;
}
TreeNode *p1 = root, *p2 = nullptr;
while (p1 != nullptr) {
p2 = p1->left;
if (p2 != nullptr) {
while (p2->right != nullptr && p2->right != p1) {
p2 = p2->right;
}
if (p2->right == nullptr) {
res.emplace_back(p1->val);
p2->right = p1;
p1 = p1->left;
continue;
} else {
p2->right = nullptr;
}
} else {
res.emplace_back(p1->val);
}
p1 = p1->right;
}
return res;
}
};
复杂度分析
时间复杂度:O(n)O(n)O(n),其中 nnn 是二叉树的节点数。没有左子树的节点只被访问一次,有左子树的节点被访问两次。
空间复杂度:O(1)O(1)O(1)。只操作已经存在的指针(树的空闲指针),因此只需要常数的额外空间。
本文详细介绍了如何使用递归、迭代和Morris遍历三种方法实现二叉树的前序遍历。递归方法直观简洁,迭代方法通过栈模拟递归,而Morris遍历则巧妙利用空闲指针实现线性时间和常数空间复杂度。每种方法都提供了代码实现,并分析了时间与空间复杂度。



1264

被折叠的 条评论
为什么被折叠?



