题目来自力扣 剑指 Offer 32 - I. 从上到下打印二叉树。
太久没有写文章了,手都有些生疏,正好看到这题,手打一遍,跟题解对照之后也是大同小异,就写成文章发出来罢。
题目意思很简单,就是在给出二叉树的结构之后用数组模拟实现层序遍历,emmm,也就是BFS。
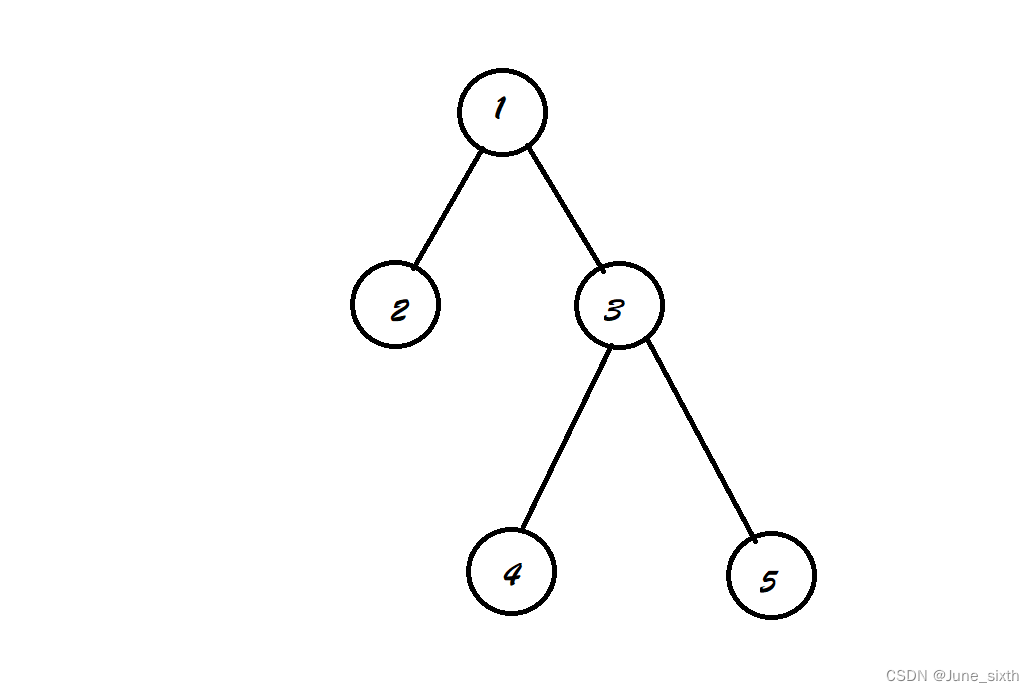
例如下面这个二叉树:
输入 [ 1 , 2 , 3 , null , null , 4 , 5 ] ,相应的输出就是 [ 1 , 2 , 3 , 4 , 5 ] 。

思路:
层序遍历只需要维护每一层先左后右,不同层先上后下的关系就可以实现预期要求。
欲实现这样的效果,可以增设一个状态维护数组,类型为 struct TreeNode* ,用于保存当前遍历到的子节点,并将此作为下一层遍历的父结点,实现不同层间从上至下;与此同时,可以通过先读入左节点,再读入右结点,实现同一层内从左往右。

代码段:
/**
* Definition for a binary tree node.
* struct TreeNode {
* int val;
* struct TreeNode *left;
* struct TreeNode *right;
* };
*/
/**
* Note: The returned array must be malloced, assume caller calls free().
*/
int* levelOrder(struct TreeNode* root, int* returnSize)
{
*returnSize=0;
if(root==NULL)
{
return root;
}
int*ans=(int*)malloc(sizeof(int)*(10001));
struct TreeNode*list[10001]; // 状态维护数组
int head=0;
int tail=0;
list[tail++]=root; // 当前读入第一层 即root
while(head<tail)
{
struct TreeNode*temp=list[head++]; // 检索 root
ans[(*returnSize)++]=temp->val; // 读入数据
if(temp->left!=NULL)
{
list[tail++]=temp->left; // 先左结点作为下一次检索的父节点
}
if(temp->right!=NULL)
{
list[tail++]=temp->right; // 后右结点。。。
}
}
return ans;
}
本文介绍了如何使用C++实现二叉树的层序遍历(BFS),通过维护一个状态数组来保存当前节点,并按层次从上到下、从左到右输出节点值。给定输入如[1,2,3,null,null,4,5],将得到输出[1,2,3,4,5]。
2590

被折叠的 条评论
为什么被折叠?



