原理解析

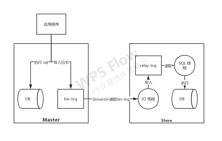
- 当应用程序执行增、删、改三种操作时,会在 master 上做两件事情:执行 sql 操作数据和写入本次操作的日志记录到 bin-log 中。
- 此时 slave 节点会有一个 IO 线程从 master 中的 bin-log 中读取日志文件到自己的 relay-log 日志中。
- slave 节点读取到日志之后,会有另一个 Sql 线程从自己的 relay-log 中读取日志然后执行 sql,这样就可以将数据从 master 同步到 slave。
优劣解析
优势:实现了主从同步,对于实时性要求不高的业务可以很友好的实现读写分离。
劣势:对于某些特定的情况,如插入数据后要求返回主键,此时就无法实现。因为同步过程是异步的,在读写分离的情况下,无法保证数据在插入到 master 中就已经同步到 slave。
半同步模式
当应用程序执行增、删、改三种操作时,master 会在至少有一个 slave 已经将 bin-log 同步到 relay-log 中后才会返回。这样会对增删改操作有一定阻塞,但是比完全异步的方案更能保证一定的数据的同步安全。
本文详细解析了MySQL的主从同步机制,包括日志记录、数据同步流程、半同步模式等,阐述了其优势与局限,适用于读写分离场景。
400

被折叠的 条评论
为什么被折叠?



