什么是最长公共子序列:
一个序列S任意删除若干个字符得到的新序列T,则T叫做S的子序列
两个序列X和Y的公共子序列中,长度最长的那个,定义为X和Y的最长公共子序 列
这里通过具体的例子来进行分析:
给定两个字符串A和B,返回两个字符串的最长公共子序列的长度。例如,A="1A2C3D4B56”,B="B1D23CA45B6A”,”123456"或者"12C4B6"都是最长公共子序列。给定两个字符串A和B,同时给定两个串的长度n和m,请返回最长公共子序列的长度。保证两串长度均小于等于300
那么求两个序列中最长的公共子序列算法
– 生物学家常利用该算法进行基因序列比对,以推测序列的结构、功能和演化过程。
-- 描述两段文字之间的“相似度”
– 辨别抄袭,对一段文字进行修改之后,计算改动前后文字的最长公共子序列,将除此子序列 外的部分提取出来,该方法判断修改的部分
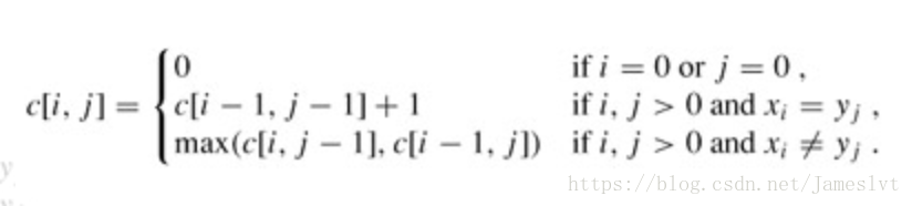
面对这个问题,如果不使用特殊的策略,而使用暴力搜索那么时间复杂度一定会爆表。关键在于子序列不一定是连续的子序列,可以是不连续的。所以类似问题我们一般使用动态规划来解决问题。动态规划的方法,我们可以用二维坐标来模拟
使用二维数组C[m,n]
C[i,j]记录序列X 和Y 的最长公共子序列的长度
– 当i=0或j=0时,空序列是X 和Y 的最长公共子序列,故C[i,j]=0 ij

下面我用图标表示,两个字符串ABCBDAB与BDCABA这两个最长公共子序列,通过图表的方式以二维坐标模拟得到最后的结果,最长公共子序列是4,一共有3个,分别是:BCAB,BDAB,BCBA

我们用python代码实现:
def lcs(first,second):
vv = [[0]*50]*50
#对中文进行编码,构造函数中的 error 参数指定了当输入的字节串无法用给定的编码方式进行转换时,函数的响应方式,'ignore' (在解码结果中去掉无法解码的字节
first = unicode(first ,"utf-8",errors="ignore")
second = unicode(second ,"utf-8",errors="ignore")
#第一句的字长度
lenFirst = len(first.strip())
#第二句的字长度
lenSecond = len(second.strip())
#range的范围是[1,len+1),左闭右开
for i in range(1,lenFirst+1):
for j in range(1,lenSecond+1):
#计算动态规划时候是从0开始的,所以i和j相应的-1,至于减不减1根据你for循环的起始值
if first[i-1] == second[j-1]:
vv[i][j] = vv[i-1][j-1] + 1
else:
vv[i][j] = max(vv[i][j-1],vv[i-1][j])
return float(vv[lenFirst][lenSecond]*2),float(lenFirst+lenSecond)
主要的逻辑在于如何使用二维数组的方式来模拟实现,即代码里面的双层循环。
本文介绍了最长公共子序列的概念及其实现方法,通过具体例子分析了如何使用动态规划算法来寻找两个序列的最长公共子序列,并给出了Python实现代码。
1万+





