目录
链表的回文判断
题目描述
对于一个链表,请设计一个时间复杂度为O(n),额外空间复杂度为O(1)的算法,判断其是否为回文结构。
给定一个链表的头指针A,请返回一个bool值,代表其是否为回文结构。保证链表长度小于等于900。
解题逻辑
这道题有些大佬把链表中的数据拷贝到了数组上再处理,跑过了,当然,如果在面试敢那么写也是真的勇士。
普通的解题思路就有些朴实无华且枯燥了:
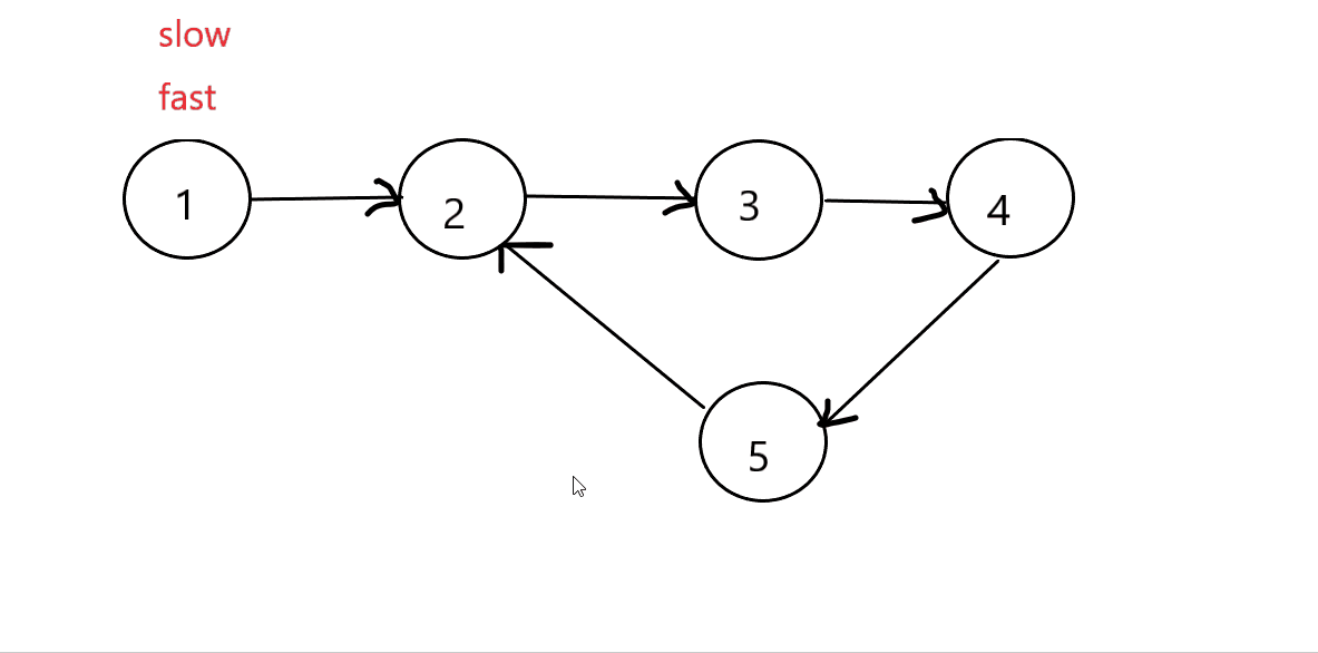
第一步:利用快慢指针得到中间指针的位置。

我们可以看到,慢指针走一步,快指针走两步,最后得到中间指针。
第二步:逆置中间指针之后的链表。

这时候我们的重构已经完成了。
第三步:比较两个新的链表的元素是否相同。

从图中可以看出,从head1和head2开始,比较两个链表从头到尾的元素是否相同,如果相同就是回文。
代码实现
bool chkPalindrome(ListNode* A)
{
//排除0个和1个元素的情况
if(A == NULL || A->next == NULL)
return true;
//第一步找到中间节点
ListNode* fast = A;
ListNode* slow = A;
while(fast && fast->next)
{
slow = slow->next;
fast = fast->next->next;
}
//第二步逆置后半段
ListNode* prev = slow;
ListNode* cur = slow->next;
while(cur)
{
ListNode* back = cur->next;
cur->next = prev;
prev = cur;
cur = back;
}
slow->next = NULL;
//第三步,比较两个链表
ListNode* cur1 = A;
ListNode* cur2 = prev;
while(cur1 && cur2)
{
if(cur1->val != cur2->val)
{
return false;
}
cur1 = cur1->next;
cur2 = cur2->next;
}
return true;
}
相交链表
题目描述
给你两个单链表的头节点 headA 和 headB ,请你找出并返回两个单链表相交的起始节点。如果两个链表不存在相交节点,返回 null 。

如图所示,如果是相交链表,返回的应该是C节点的地址。
解题逻辑
第一步:从headA和headB开始遍历,分别求出两个链表的长度,并且比较尾节点是否是同一个节点,如果是同一个则是交叉链表,如果尾节点不是同一个,则不构成交叉链表,返回NULL。

第二步:两个指针都从头开始走,但是较长的链表的遍历指针先走两个长度的差值步(lengthA - lengthB的绝对值), 然后开始比较两个指针所指向的地址是否相同,一旦相同,则返回相应的地址。

代码实现
struct ListNode *getIntersectionNode(struct ListNode *headA, struct ListNode *headB)
{
//第一步
if(headA == NULL || headB == NULL)
{
return NULL;
}
struct ListNode *cur_A = headA;
struct ListNode *cur_B = headB;
int length_A = 1;
int length_B = 1;
while(cur_A->next)
{
++length_A;
cur_A = cur_A->next;
}
while(cur_B->next)
{
++length_B;
cur_B = cur_B->next;
}
if(cur_A != cur_B)
{
return NULL;
}
//第二步
struct ListNode * longest_head = headA;
struct ListNode * shortest_head = headB;
if(length_A < length_B)
{
longest_head = headB;
shortest_head = headA;
}
for(int i = 0; i < abs(length_B - length_A); i++)
{
longest_head = longest_head->next;
}
while(longest_head != shortest_head)
{
longest_head = longest_head->next;
shortest_head = shortest_head->next;
}
return longest_head;
}
环形链表判断
题目描述
给你一个链表的头节点 head ,判断链表中是否有环。
如果链表中有某个节点,可以通过连续跟踪 next 指针再次到达,则链表中存在环。 为了表示给定链表中的环,评测系统内部使用整数 pos 来表示链表尾连接到链表中的位置(索引从 0 开始)。注意:pos 不作为参数进行传递 。仅仅是为了标识链表的实际情况。
如果链表中存在环 ,则返回 true 。 否则,返回 false。

如图所示,链表中尾节点的next链接到第二个节点,带环,返回true。
解题逻辑
这道题可以使用双指针法解决,一快一慢,快指针一次走两步,慢指针一次走一步,如果链表不带环,快指针会先走到空,自然返回false,如果在指针移动过程中,慢指针赶上了快指针,这说明链表带环。

代码实现
bool hasCycle(struct ListNode *head)
{
struct ListNode *fast = head;
struct ListNode *slow = head;
while(fast != NULL && fast->next != NULL)
{
fast = fast->next->next;
slow = slow->next;
if(slow == fast)
{
return true;//追上了
}
}
return false;//走到头了
}
环形链表进阶版
题目描述
给定一个链表的头节点 head ,返回链表开始入环的第一个节点。 如果链表无环,则返回 null。
也就是在第一题判断一个链表是不是环形链表的基础上,还要找到链表尾链接到的节点的位置(从0开始计算)。

解题逻辑
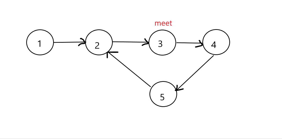
这道题可以分为两步,第一步是判断这个链表到底是不是带环链表,如果不是,都不用进入第二步,直接返回-1,如果是带环链表,则进入下一步。
让我们直接快进到快慢指针相遇的那一刻。
第二步有两种解题思路,接下来我们分别讲解:
丐版:
我们把带环链表构造成交叉链表,以原来的头节点作为head1,相遇节点的后一个节点作为head2,这样我们就可以用第二题的方法来解决第二步了。

但是,要知道第二题的解题方法还是有些繁琐的,在求交叉节点位置之前,还要求得两条链表的长度。
升级版
第二种的方法则用到了数学推导的方法,让我们来看看:

我们设:头节点head到入环节点POS的步数为X,入环节点POS到相遇节点meet的步数为l,绕环一圈要走的步数为loop;
慢指针走过的步数为l + x;
快指针走过的步数为l + x + loop。
因为慢指针走一步,快指针走两步,所以 2 * (l + x) = l + x + loop;
两边化简一下,得到 l + x = loop;
再调整一下得到 l = loop - x。
也就是说,两个指针,一个从头节点head出发,一个从相遇节点meet出发,走过l(l = loop - x)步,会在入环节点处相遇。

代码实现
丐版
//找到交叉链表的交叉节点
struct ListNode *getIntersectionNode(struct ListNode *headA, struct ListNode *headB)
{
if(headA == NULL || headB == NULL)
{
return NULL;
}
struct ListNode *cur_A = headA;
struct ListNode *cur_B = headB;
int length_A = 1;
int length_B = 1;
while(cur_A->next)
{
++length_A;
cur_A = cur_A->next;
}
while(cur_B->next)
{
++length_B;
cur_B = cur_B->next;
}
if(cur_A != cur_B)
{
return NULL;
}
struct ListNode * longest_head = headA;
struct ListNode * shortest_head = headB;
if(length_A < length_B)
{
longest_head = headB;
shortest_head = headA;
}
for(int i = 0; i < abs(length_B - length_A); i++)
{
longest_head = longest_head->next;
}
while(longest_head != shortest_head)
{
longest_head = longest_head->next;
shortest_head = shortest_head->next;
}
return longest_head;
}
//返回带环链表开始入环的第一个节点
struct ListNode *detectCycle(struct ListNode *head)
{
//第一步,判断是不是带环链表
struct ListNode *fast = head;
struct ListNode *slow = head;
if(head == NULL || head->next == NULL)
return NULL;
while(fast && fast->next)
{
fast = fast->next->next;
slow = slow->next;
if(fast == NULL || fast->next == NULL)//走到尽头,不是带环链表
{
return NULL;
}
if(fast == slow)//快指针追上慢指针
{
break;
}
}
//构建交叉链表
struct ListNode * meet = slow;
struct ListNode * head1 = head;
struct ListNode * head2 = meet->next;
meet->next = NULL;
//获得入环节点,并把链表复原
struct ListNode * ret = getIntersectionNode(head1, head2);
meet->next = head2;
return ret;
}
我们可以看到,把寻找交叉链表的交叉节点的步骤加上,多出来一大堆代码,显然这个方法不太方便。
升级版
struct ListNode *detectCycle(struct ListNode *head) {
struct ListNode *fast = head;
struct ListNode *slow = head;
if(head == NULL || head->next == NULL)
return NULL;
while(fast && fast->next)
{
fast = fast->next->next;
slow = slow->next;
if(fast == NULL || fast->next == NULL)
{
return NULL;
}
if(fast == slow)
{
break;
}
}
slow = head;
while(slow != fast)
{
slow = slow->next;
fast = fast->next;
}
return slow;
}
明显感觉到,第二种方法的代码简洁了许多,第一种的优势是思路比较简单,第二种方法要进行一定的推导,两种方法各有千秋,还是看自己如何取舍。
复制带随机指针的链表
问题描述
给你一个长度为 n 的链表,每个节点包含一个额外增加的随机指针 random ,该指针可以指向链表中的任何节点或空节点。
构造这个链表的 深拷贝。 深拷贝应该正好由 n 个 全新 节点组成,其中每个新节点的值都设为其对应的原节点的值。新节点的 next 指针和 random 指针也都应指向复制链表中的新节点,并使原链表和复制链表中的这些指针能够表示相同的链表状态。复制链表中的指针都不应指向原链表中的节点 。
例如,如果原链表中有 X 和 Y 两个节点,其中 X.random --> Y 。那么在复制链表中对应的两个节点 x 和 y ,同样有 x.random --> y 。
返回复制链表的头节点。

解题逻辑
这道题的解题思路也有两种:
平民版:
第一步,忽略random指针,构建一个其他指向关系已经内容与原指针相同的链表,这一步还是很容易实现的。

接下来要捋清楚copy的链表的random指向何处,就要和原链表比较,从头开始遍历,指向的节点排第几位,就链接到相应节点。

我们可以清楚地看到,prev1指针遍历链表,直到遇到NULL,prev1走一步,prev2也走一步,cur1指针遍历链表找到与prev1->random相同的节点时,cur2正好也到达pre2->randow应该指向的位置,prev2(newprev)和cur2(newcur)根据原链表的关系链接。
贵族版:

第二种方法要一些巧思,一般来说靠自己比较难想到。我们先在原链表的每个节点之后插入一个新的节点。

第二步,创建两个指针,cur和newcur分别指向原链表和新链表的节点,遍历链表,当原链表的cur节点的random指向非空节点时,新链表的指针newcur指针的random指向原链表cur节点的random的next节点。
最后一步,将链表复原。
代码实现
平民版:
struct Node* copyRandomList(struct Node* head) {
if(head == NULL)
return NULL;
//复制链表
struct Node* cur = head;
struct Node* newprev = NULL;
struct Node* newcur = NULL;
struct Node* newhead = NULL;
while(cur)
{
newcur = (struct Node*)malloc(sizeof(struct Node));
if(cur == head)
{
newhead = newcur;
}
newcur->val = cur->val;
newcur->random = cur->random;
newcur->next = cur->next;
if(newprev != NULL)
newprev->next = newcur;
newprev = newcur;
cur = cur->next;
}
//对照原链表建立random链接
newprev = newhead;
while(newprev)
{
cur = head;
newcur = newhead;
while(newprev->random != cur)
{
cur = cur->next;
newcur = newcur->next;
}
newprev->random = newcur;
newprev = newprev->next;
}
return newhead;
}
贵族版:
struct Node* copyRandomList(struct Node* head) {
if(head == NULL)
{
return NULL;
}
//在原链表之后插入节点
struct Node* cur1 = head;
struct Node* cur2 = NULL;
while(cur1)
{
struct Node* newnode = (struct Node*)malloc(sizeof(struct Node));
newnode->val = cur1->val;
newnode->next = cur1->next;
newnode->random = NULL;
cur1->next = newnode;
cur1 = cur1->next->next;
}
//建立新节点之间的联系
cur1 = head;
struct Node* newhead = head->next;
while(cur1)
{
cur2 = cur1->next;
if(cur1->random == NULL)
{
cur2->random == NULL;
}
else
{
cur2->random = cur1->random->next;
}
cur1 = cur1->next->next;
}
//拆分两个链表
cur1 = head;
while(cur1)
{
cur2 = cur1->next;
cur1->next = cur2->next;
if(cur2->next != NULL)
{
cur2->next = cur2->next->next;
}
cur1 = cur1->next;
}
return newhead;
}

本文详细介绍了四种链表相关的算法问题:如何判断链表是否为回文结构,查找两个链表的相交节点,检测并定位环形链表的入口,以及复制带有随机指针的链表。每道题都给出了解题逻辑和代码实现,包括朴素方法和优化方案,旨在帮助读者深入理解链表操作和算法设计。
11万+





