【1】概述
外观模式(Facade),也叫“过程模式:外观模式为子系统中的一组接口提供一个一致的界面,此模式定义了一个高层接口,这个接口使得这一子系统更加容易使用。
外观模式通过定义一个一致的接口,用以屏蔽内部子系统的细节,使得调用端只需跟这个接口发生调用,而无需关心这个子系统的内部细节。
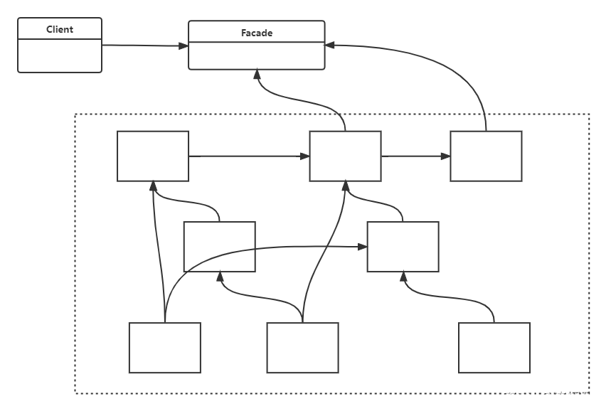
UML原理图

对类图说明(分类外观模式的角色)
- 外观类(Facade): 为调用端提供统一的调用接口, 外观类知道哪些子系统负责处理请求,从而将调用端的请求代理给适当子系统对象
- 调用者(Client): 外观接口的调用者
- 子系统的集合:指模块或者子系统,处理Facade 对象指派的任务,他是功能的实际提供者
【2】案例分析
影院管理项目
组建一个家庭影院:DVD 播放器、投影仪、自动屏幕、环绕立体声、爆米花机,要求完成使用家庭影院的功能,其过程为:
- 直接用遥控器:统筹各设备开关
- 开爆米花机
- 放下屏幕
- 开投影仪
- 开音响
- 开DVD,选dvd
- 去拿爆米花
- 调暗灯光
- 播放
- 观影结束后,关闭各种设备
① 传统方式
传统方式思路可能如下图:

传统方式解决影院管理问题分析
- 在ClientTest 的main 方法中,创建各个子系统的对象,并直接去调用子系统(对象)相关方法,会造成调用过程混乱,没有清晰的过程
- 不利于在ClientTest 中,去维护对子系统的操作
解决思路:定义一个高层接口,给子系统中的一组接口提供一个一致的界面(比如在高层接口提供四个方法ready, play, pause, end ),用来访问子系统中的一群接口。
也就是说就是通过定义一个一致的接口(界面类),用以屏蔽内部子系统的细节,使得调用端只需跟这个接口发生调用,而无需关心这个子系统的内部细节=> 外观模式。
② 外观模式

① 定义具体子类
负责某个功能/动作
public class Popcorn {
private static Popcorn instance = new Popcorn();
public static Popcorn getInstance() {
return instance;
}
public void on() {
System.out.println(" popcorn on ");
}
public void off() {
System.out.println(" popcorn ff ");
}
public void pop() {
System.out.println(" popcorn is poping ");
}
}
public class Projector {
private static Projector instance = new Projector();
public static Projector getInstance() {
return instance;
}
public void on() {
System.out.println(" Projector on ");
}
public void off() {
System.out.println(" Projector ff ");
}
public void focus() {
System.out.println(" Projector is Projector ");
}
//...
}
public class Screen {
private static Screen instance = new Screen();
public static Screen getInstance() {
return instance;
}
public void up() {
System.out.println(" Screen up ");
}
public void down() {
System.out.println(" Screen down ");
}
}
public class Stereo {
private static Stereo instance = new Stereo();
public static Stereo getInstance() {
return instance;
}
public void on() {
System.out.println(" Stereo on ");
}
public void off() {
System.out.println(" Screen off ");
}
public void up() {
System.out.println(" Screen up.. ");
}
//...
}
public class TheaterLight {
private static TheaterLight instance = new TheaterLight();
public static TheaterLight getInstance() {
return instance;
}
public void on() {
System.out.println(" TheaterLight on ");
}
public void off() {
System.out.println(" TheaterLight off ");
}
public void dim() {
System.out.println(" TheaterLight dim.. ");
}
public void bright() {
System.out.println(" TheaterLight bright.. ");
}
}
public class DVDPlayer {
//使用单例模式, 使用饿汉式
private static DVDPlayer instance = new DVDPlayer();
public static DVDPlayer getInstanc() {
return instance;
}
public void on() {
System.out.println(" dvd on ");
}
public void off() {
System.out.println(" dvd off ");
}
public void play() {
System.out.println(" dvd is playing ");
}
//....
public void pause() {
System.out.println(" dvd pause ..");
}
}
② 定义外观
public class HomeTheaterFacade {
//定义各个子系统对象
private TheaterLight theaterLight;
private Popcorn popcorn;
private Stereo stereo;
private Projector projector;
private Screen screen;
private DVDPlayer dVDPlayer;
//构造器
public HomeTheaterFacade() {
super();
this.theaterLight = TheaterLight.getInstance();
this.popcorn = Popcorn.getInstance();
this.stereo = Stereo.getInstance();
this.projector = Projector.getInstance();
this.screen = Screen.getInstance();
this.dVDPlayer = DVDPlayer.getInstanc();
}
//操作分成 4 步
public void ready() {
popcorn.on();
popcorn.pop();
screen.down();
projector.on();
stereo.on();
dVDPlayer.on();
theaterLight.dim();
}
public void play() {
dVDPlayer.play();
}
public void pause() {
dVDPlayer.pause();
}
public void end() {
popcorn.off();
theaterLight.bright();
screen.up();
projector.off();
stereo.off();
dVDPlayer.off();
}
}
③ 客户端测试
public class Client {
public static void main(String[] args) {
HomeTheaterFacade homeTheaterFacade = new HomeTheaterFacade();
homeTheaterFacade.ready();
homeTheaterFacade.play();
homeTheaterFacade.end();
}
}
UML类图

MyBatis 中的Configuration 去创建MetaObject 对象使用到外观模式。
③ 外观模式的注意事项和细节
- 外观模式对外屏蔽了子系统的细节,因此外观模式降低了客户端对子系统使用的复杂性
- 外观模式对客户端与子系统的耦合关系- 解耦,让子系统内部的模块更易维护和扩展
- 通过合理的使用外观模式,可以帮我们更好的划分访问的层次
- 当系统需要进行分层设计时,可以考虑使用Facade 模式
- 在维护一个遗留的大型系统时,可能这个系统已经变得非常难以维护和扩展,此时可以考虑为新系统开发一个Facade 类,来提供遗留系统的比较清晰简单的接口,让新系统与Facade 类交互,提高复用性
- 不能过多的或者不合理的使用外观模式,使用外观模式好,还是直接调用模块好。要以让系统有层次,利于维护为目的。
本文介绍外观模式的概念、原理及应用场景,通过家庭影院管理系统的案例详细分析如何利用外观模式简化子系统的调用过程,降低客户端与子系统间的耦合度。
2606

被折叠的 条评论
为什么被折叠?



