正文
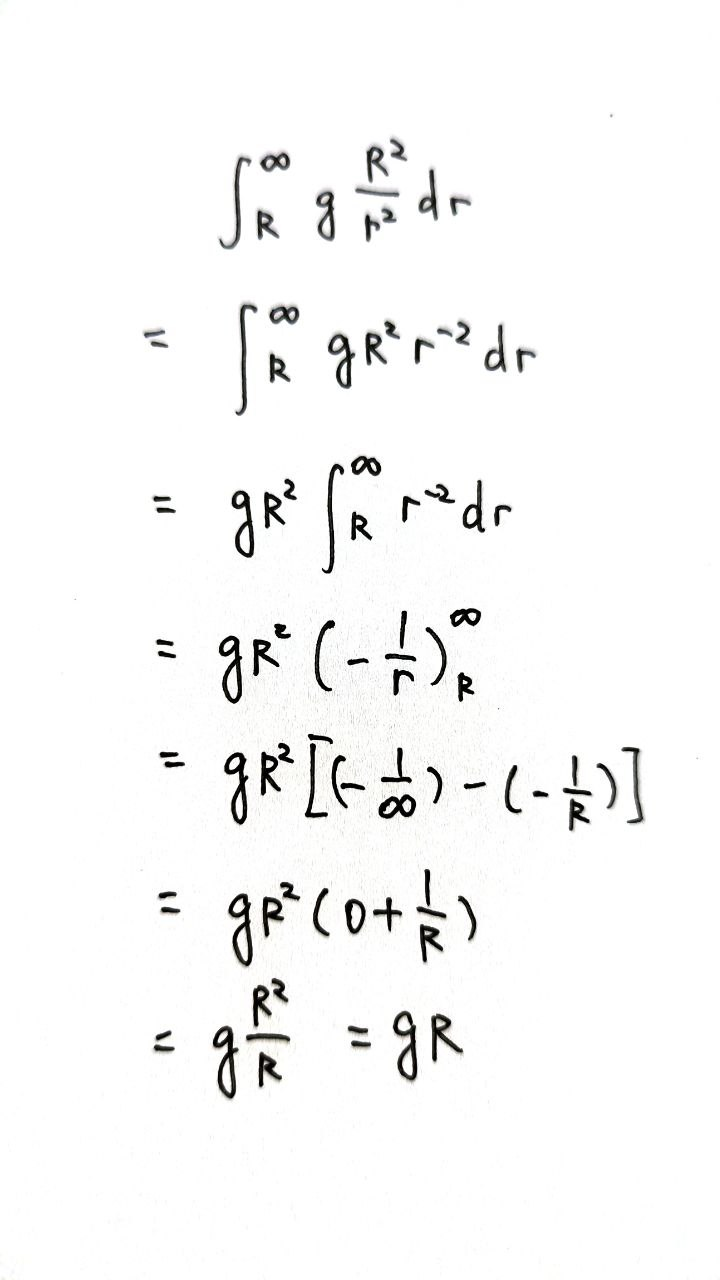
看了一点《星际航行概论》,但是很快就看不懂了。积分的部分自己跟着算了一遍,看懂了。但是根据相对论和能量守恒、动量守恒列出两个微分方程再代入得出阿克莱公式那一步,就彻底看不懂了。最后还开始泰勒展开,草,这玩意儿我都没学过。原来钱老上课都这种感觉吗…… 是我不配了。





昨天第一次找到了头转的感觉。那种身体失控的感觉让人害怕又着迷。我想起,自己当初学 Breaking 有一个目的就是希望自己能变得更有勇气去克服恐惧。
我不知道做到了多少。
也是在昨天,跳舞回来的路上,听见有人骂,骂得很凶。从只言片语中,听到了大概的原委。一个孩子拿了东西没给线,2 块,被店主看监控逮住了。店主说他 “偷”。周围聚了很多人,但孩子的父母并不在场。我没有多关注,走掉了。
上午有个客户来销户,打印了回单之后,客户看了一眼,愣了一下,问我是不是刘经理。我都愣了,她居然还看经办人这种东西。我笑了一下,说:“是,你们公司之前的客户经理。现在轮岗轮下来了。”
早上差点迟到。晚上又有应酬,幸好没叫我,我对面被叫出去了。
灵已经拿到礼物了,她拆包裹的反应和我预想中的一样。笑死。我问她是不是打算退给我,如果我没有再三强调和提醒的话。她说是。“你简直是我肚子里的蛔虫。” 她说。
我能猜到她的反应,不知道是她过于独立,还是我们仍处在交换阶段。如果是后者的话,那还让人挺难过的。不过我想,应该两者都有吧。
今天也还是不太想说话呢。
眼睛好疼。或许我的欲望,一生都和解不了了。
成功日记:
1. 写完了一篇小说;
2. 看了一点《星际航行概论》,不过有些书荒了;
3. 中午睡得很好;
4. 内心平静。
南国微雪 Miyuki
2024 年 7 月 16 日
封面图

实用类文本附加
《星际航行概论》









本文由博客一文多发平台 OpenWrite 发布!
5158

被折叠的 条评论
为什么被折叠?



