国密 SM3 算法是中国国家密码管理局发布的一种密码杂凑算法。它能将任意长度的输入数据经过处理后生成固定长度(256 位)的摘要值。SM3 算法具有较高的安全性和效率,主要用于数字签名、消息认证、数据完整性校验等方面,保障信息在存储、传输和处理过程中的安全性和可靠性。
学习资料
SM3密码杂凑算法:https://www.oscca.gov.cn/sca/xxgk/2010-12/17/1002389/files/302a3ada057c4a73830536d03e683110.pdf

SM3算法的基本概念
-
描述
对长度为l(l < 264) 比特的消息m,SM3杂凑算法经过填充和迭代压缩,生成杂凑值,杂凑值长度为256比特。 -
组成结构
SM3算法由三部分组成:消息填充、消息扩展和压缩函数。 -
消息填充
因为SM3对消息的处理是分组进行的,每组长度64字节,如果消息的长度不是64字节的整数倍,即最后一个分组的长度不是64字节,就需要对最后一个分组进行填充。
原述:

-
常数与函数

-
消息扩展

综上所述,可得

直观图展示如下:

-
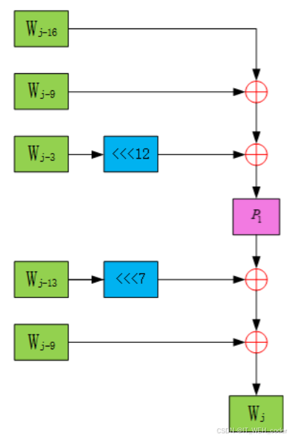
压缩函数

直观图展示如下:

国密 SM3 算法在以下领域有广泛应用:
国密 SM3 算法在以下领域有广泛应用:
数字签名:用于生成数据的摘要,以验证数据的完整性和来源的真实性。
消息认证:确保消息在传输过程中未被篡改。
电子认证:如数字证书的生成和验证。
区块链:保证区块链中数据的完整性和不可篡改性。
密码存储:对用户密码等敏感信息进行哈希处理后存储。
金融领域:在交易数据的完整性验证、身份认证等方面发挥作用。
如何获取 SM3 算法消息摘要的示例代码
import java.security.MessageDigest;
import java.security.NoSuchAlgorithmException;
public class SM3Demo {
public static void main(String[] args) {
String data = "Hello, SM3!";
String digest = getSM3Digest(data);
System.out.println("SM3 Digest: " + digest);
}
public static String getSM3Digest(String data) {
try {
MessageDigest md = MessageDigest.getInstance("SM3");
byte[] digestBytes = md.digest(data.getBytes());
StringBuilder sb = new StringBuilder();
for (byte b : digestBytes) {
sb.append(String.format("%02x", b & 0xFF));
}
return sb.toString();
} catch (NoSuchAlgorithmException e) {
e.printStackTrace();
return null;
}
}
}
有哪些方法可以提高国密 SM3 算法安全性和准确性?
- 随机化输入:在计算 SM3 哈希之前,可以对输入数据进行适当的随机化处理,增加攻击者预测输入的难度。
- 加盐(Salt):为输入数据添加一个随机的盐值,使得相同的原始数据在不同的场景下产生不同的哈希值,防止彩虹表攻击。
- 多次哈希:对输入数据进行多次 SM3 哈希计算,增加计算的复杂性和安全性。
- 输入完整性校验:在计算哈希之前,确保输入数据的完整性和准确性,防止因为数据损坏或篡改导致错误的哈希结果。
- 密钥管理:如果在加密场景中使用 SM3 与密钥相关的操作,要确保密钥的安全生成、存储和使用。
- 代码审查和测试:对实现 SM3 算法的代码进行严格的审查和充分的测试,确保算法的实现没有漏洞和错误。
- 遵循标准和规范:严格按照国密相关的标准和规范来使用和实现 SM3 算法,以保证其安全性和准确性。
- 监控和更新:持续监控算法的安全性研究进展,及时更新和改进应用中的算法实现,以应对可能出现的新的攻击手段。
举例,通过增加生成盐值和将输入与盐值组合后计算哈希来实现,如下代码:
import java.security.MessageDigest;
import java.security.NoSuchAlgorithmException;
public class EnhancedSM3Example {
public static void main(String[] args) {
String input = "Hello, SM3!";
String salt = generateSalt();
String hash = calculateEnhancedSM3Hash(input, salt);
System.out.println("Enhanced SM3 Hash: " + hash);
}
public static String generateSalt() {
// 生成一个随机的盐值
StringBuilder saltBuilder = new StringBuilder();
for (int i = 0; i < 10; i++) {
int randomNum = (int) (Math.random() * 10);
saltBuilder.append(randomNum);
}
return saltBuilder.toString();
}
public static String calculateEnhancedSM3Hash(String input, String salt) {
try {
MessageDigest md = MessageDigest.getInstance("SM3");
String combinedInput = input + salt;
byte[] hashBytes = md.digest(combinedInput.getBytes());
StringBuilder sb = new StringBuilder();
for (byte b : hashBytes) {
sb.append(String.format("%02x", b));
}
return sb.toString();
} catch (NoSuchAlgorithmException e) {
e.printStackTrace();
return null;
}
}
}
国密 SM3 算法的实际应用案例
- 金融交易系统:用于验证交易数据的完整性和真实性,防止数据被篡改。
- 电子政务:保障政务数据在传输和存储过程中的安全性。
- 物联网设备:对设备传输的数据进行哈希计算,确保数据未被篡改。
例如,在一个金融交易的应用中,每一笔交易数据在生成后可以使用 SM3 算法计算其摘要值,并将摘要值与交易数据一同存储。在后续的验证过程中,重新计算交易数据的摘要值,并与之前存储的摘要值进行对比,以确认交易数据是否完整和未被篡改。
3472

被折叠的 条评论
为什么被折叠?



