874. 筛法求欧拉函数

874. 筛法求欧拉函数

题目

给定一个正整数 n,求 1∼n 中每个数的欧拉函数之和。

输入格式
共一行,包含一个整数 n。

输出格式
共一行,包含一个整数,表示 1∼n 中每个数的欧拉函数之和。

数据范围
1≤n≤106
输入样例:
6
输出样例:
12

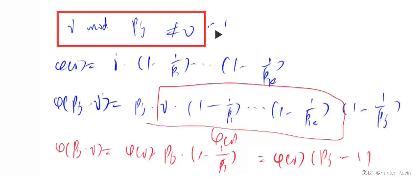
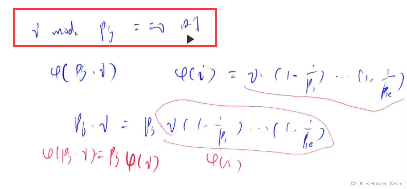
>欧拉函数的定义
1∼N 中与 N 互质的数的个数被称为欧拉函数,记为 ϕ(N)。
若在算数基本定理中,N=pa11pa22…pamm,则:
ϕ(N) = N×p1−1p1×p2−1p2×…×pm−1pm

在这里插入图片描述

在这里插入图片描述

代码

#include <iostream>

using namespace std;

typedef long long LL;

const int N = 1000010;
int primes[N], phi[N], cnt;
评论
添加红包

请填写红包祝福语或标题

红包个数最小为10个

红包金额最低5元

当前余额3.43前往充值 >
需支付:10.00
成就一亿技术人!
领取后你会自动成为博主和红包主的粉丝 规则
hope_wisdom
发出的红包
实付
使用余额支付
点击重新获取
扫码支付
钱包余额 0

抵扣说明:

1.余额是钱包充值的虚拟货币,按照1:1的比例进行支付金额的抵扣。
2.余额无法直接购买下载,可以购买VIP、付费专栏及课程。

余额充值