简介:本文章将带你深入了解密度测量的基础知识,你将了解到:密度的物理性质,其常用单位,以及什么是标准密度,什么是比密度。此外还介绍了密度的常用测量方法和这些常用测量方法的比较,必须注意的是,当查找气体的密度时,压强是气体密度的主要决定因素,而液体的密度主要取决于温度。

- 什么是密度:
密度是对特定体积内的质量的度量[1],是一种与温度和压力相关的物理性质。密度等于物体的质量除以体积,常用符号ρ表示。国际单位制中的密度单位为:kg/m3(千克/米3),美国的密度单位常以lb/ft3(磅/英尺3)表示,此外,在许多行业也有特定的密度单位,如Oechsle(+Oe奥斯勒,测量果汁糖份重量(含糖量)就可以推断葡萄的成熟程度。一度奥斯勒表示一升葡萄汁比一升水重一克)或Brix度(白利度,饮料内可溶性固体物质质量的百分含量,单位°Bx或%,通常饮料的主要可溶性固体物为白砂糖,故又称糖度。)

由于物质的热膨胀和可压缩性,物质的密度会受到当前温度和压力的影响。 这些变量对密度的影响或大或小,具体取决于物质是固体还是流体。流体对温度和压力的依赖程度远高于固体。 为了获得精确的密度指示,必须知道相关的温度和压力,尤其是对于流体。
物体的体积和密度会随温度和/或压力的变化而变化,而质量始终保持不变。根据密度的计算公式可知,如果由于压力和/或温度的影响使得体积减小,而质量保持恒定,那么密度将增加。

表1:不同物质的密度随温度和压强的变化情况
该表表明,气体的密度在开尔文温度变化时几乎不会降低。 对于空气,其密度仅减少约0.04千克/立方米。 使用MEMS芯片,可能无法清楚地检测到这种变化。 但是,如果压力增加1 bar,以空气为例,其气体密度将增加1.2 kg /m³。 另一方面,对于1巴的压力变化,液体的密度几乎没有变化。
标准密度
标准密度(也称为“参考密度”)表示某种温度或压力下一种物质或多种物质的混合物的密度。这样可以更好地比较不同密度值。下列标准温度tn和压力pn条件在所列行业中经常使用:

表2:不同行业的常用 “标准温度”
物质或物质混合物的标准密度可以从所谓的密度表中获取。密度表的示例可以在这里或者其他来源找到:
酒精:1973年发布的标准OIML R 22“国际酒精浓度表”(http://www.oiml.org/en)
糖:标准ICUMSA“密度测定法和表:蔗糖-官方;葡萄糖,果糖和转化糖– ICUMSA官方方法SPS-4,日期为1998年(http://www.icumsa.org)
水:PTB公布的Wagenbreth, H. Blanke, W.1968撰写的“国际单位制中的水密度和国际实用温度标度”;以及Bettin H. Blanke W.:“引入1990年国际温度标度后,水的密度随温度的变化而变化“
气体:NIST数据库“ NIST参考流体热力学和传输特性数据库”(http://www.nist.gov)
相对密度
相对密度是指物质的密度与参考物质的密度在各自规定的条件下之比。符号为d,一般参考物质为空气或水:

注意:比密度是的量纲为“1”
- 物质密度信息的用途:
密度是表征物质和物质混合物单位体积内质量的标准值,经常用于物质的分析和合成。
密度值可以导出各种参数,通过计算可以得出混合物或化合物组成的成分。
此外,密度还可用于确定水溶液中成份物质的浓度。混合物中成份物质物质的含量可以用体积百分比,质量分数或物质浓度来表示。
另外,物质混合物或物质化合物的质量通常由平均摩尔质量确定。 平均摩尔质量也可以借助密度来确定,并且例如可以用平均摩尔质量来表示天然气。
3. 精确测量物质密度的方法:
确定物质密度的设备和测量方法有许多种。目前相对先进的测量方法是使用MEMS芯片,利用谐振器测量物质的密度。与此同时,许多较旧的测量方法,例如气量计(Areometers),比重瓶(Pycnometers)和浮力法(buoyancy)等也仍在使用。
(1)气量计(Areometers):
如图为气量计的模型,气量计常用于液体密度的测量,将这些玻璃浮标放置在液体中并沉入水中,直到测试液体的浮力与气量计的重量达到平衡为止。根据阿基米德原理,可以从浮子的浸入深度得出液体的密度。

图1:气量计“1.读数刻度尺 2.浮子 3.沉子”[2]
(2)比重瓶(Pycnometers):
比重瓶可以用来测量固体粉末、液体和微粒的密度, 它通过简单的称重可测得液体的密度和容积所定义的体积。测量步骤和原理如下:
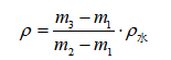
侧量比重瓶空杯时的质量m1。
2. 测量比重瓶盛满水时的质量m2。
- 测量比重瓶盛满待测液体时的质量m3
根据测得的质量m1、m2、m3,得待测液体密度为:


图2:比重瓶“1. 带毛细血管的塞子, 2. 经过磨削处理的活塞, 3. 样品液“[3]
(3)浮力法(buoyancy):
借助浮力的原理,也可以通过测量浮力的大小来测量密度。将沉没体浸入待测液体中,并使用天平测量其浮力。通过将浮力与沉没的体积可以计算出液体的密度。

图3: 浮力法测量装置“1.校准器,2.提升装置,3.温度测量仪,4.装有液体的容器,5.提升装置,6.浮力,7.平衡,8.底座“
(4)微机电处理芯片(MEMS Chip)
Ω芯片是一个谐振密度计。在这种方法中,谐振器与各种接触液体同时保持一致的动作,由于振动频率取决于液体的密度。通过测量谐振器的振动频率,可以得到待测液体的密度。

图4:MEMS 芯片“1.薄膜温度传感器,2.狭缝,3.测量通道,4.真空,5.电极接口“
4. 上述密度测量方法的比较

表3:不同密度测量方法的比较
参考文献:
[1](美)克里斯托弗·G.普利著;李贵莲,张卓伟译.物理其实很简单=Physics made simple:上海科学技术文献出版社,2014.01:第10页
[2] Liquid density measurement overview articles 2002 Prof. Dr. G. Hradetzky (Merseburg University of Applied Sciences) Prof. Dr. K.-D. Sommer (PTB Braunschweig)
[3] http://www.physik.uni-halle.de/Lehre/Grundpraktikum/anleitungen/Pharma-Heft-11.pdf,Martin-LutherUniversität Halle-Wittenberg
本文深入介绍了密度的概念及其作为物质单位体积质量的度量方式。详细解释了标准密度和相对密度的定义,以及如何通过气量计、比重瓶、浮力法和MEMS芯片等方法进行精确测量。此外,还对比了不同测量方法的特点。
861

被折叠的 条评论
为什么被折叠?



