🕒 题目:
🔎 206. 反转链表(【难度:简单🟢】
给你单链表的头节点 head ,请你反转链表,并返回反转后的链表。
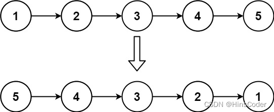
- 示例 1:

输入:head = [1,2,3,4,5]
输出:[5,4,3,2,1]
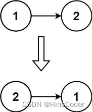
- 示例 2:

输入:head = [1,2]
输出:[2,1]
- 示例 3:
输入:head = [ ]
输出:[ ]
提示:
- 链表中节点的数目范围是
[0, 5000] -5000 <= Node.val <= 5000
**进阶:**链表可以选用迭代或递归方式完成反转。你能否用两种方法解决这道题?
⌛ 总体思路:
将箭头反转
🕘 方法①-头插法
💡 思路:从前往后拿下来一个一个头插

struct ListNode* reverseList(struct ListNode* head)
{
struct ListNode* cur = head;
struct ListNode* newhead = NULL;
while(cur)
{
struct ListNode* next = cur->next;
cur->next = newhead;
newhead = cur;
cur = next;
}
return newhead;
}
这个思路也适用于一个结点和NULL链表的情况

🕘 方法②-三指针循环反转
💡 思路:从前往后一个一个方向反转

struct ListNode* reverseList(struct ListNode* head)
{
struct ListNode* n1,*n2,*n3;
n1 = NULL;
n2 = head;
n3 = NULL;
while(n2)
{
n3 = n2->next;
n2->next = n1;
//迭代器
n1 = n2;
n2 = n3;
}
return n1;
}
其实这个方法和第一个方法不能说很像,简直是一模一样。
🕘 方法③-递归
💡 思路:
- 要反转head,那么就先递归反转
head->next; - 用一个
newHead指向 递归反转后的链表; - 然后调整
head结点的位置即可
struct ListNode* reverseList(struct ListNode* head)
{
//当链表为空和只有一个结点的时候,直接返回 NULL,不需要递归反转
if(head == NULL || head->next == NULL)
return head;
struct ListNode* newHead = reverseList(head->next);
//调整head结点的位置
head->next->next = head;
head->next = NULL;
return newHead;
}

本文介绍如何通过头插法、三指针循环和递归实现简单链表的反转,包括示例代码及进阶讨论。
1390

被折叠的 条评论
为什么被折叠?



