-
出处
给你单链表的头节点 head ,请你反转链表,并返回反转后的链表。
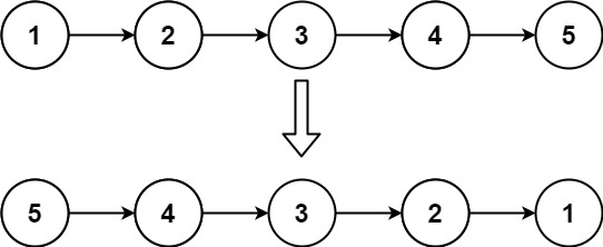
示例 1:

输入:head = [1,2,3,4,5] 输出:[5,4,3,2,1]
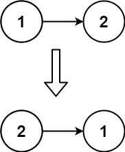
示例 2:

输入:head = [1,2] 输出:[2,1]
示例 3:
输入:head = [] 输出:[]
-
思路:
本题 核心:迭代法 或 递归法
-
ListNode 类
public class ListNode {
int val;
ListNode next;
ListNode() {
}
ListNode(int val) {
this.val = val;
}
ListNode(int val, ListNode next) {
this.val = val;
this.next = next;
}
}
-
迭代法
/**
* @author:Herman
* @since 2025/9/27 0:25
*/
public class ReverseLinkedList {
public static ListNode reverseList(ListNode head) {
//前驱节点
ListNode pre = null;
//当前节点
ListNode cur = head;
while (cur != null) {
// 后继节点
ListNode next = cur.next;
// 反转当前节点指针
cur.next = pre;
// 移动前驱节点
pre = cur;
// 移动当前节点
cur = next;
/**
* head=0x001 (val=1) pre =null cur=0x001 (val=1)
*
* 1->null next=0x002 (val=2) pre=0x001 (val=1) cur=0x002 (val=2)
*
* 2->1->null next=0x003 (val=3) pre=0x002 (val=2) cur=0x003 (val=3)
*
* 3->2->1->null next=null pre=0x003 (val=3) cur=null
*/
}
return pre;
}
public static void printListNode(ListNode head) {
StringBuilder sb = new StringBuilder("[");
while (head != null) {
sb.append(head.val);
head = head.next;
if (head != null) {
sb.append(",");
}
}
sb.append("]");
System.out.println(sb);
}
}
-
递归法
/**
* @author:Herman
* @since 2025/9/27 0:55
*/
public class ReverseLinkedList {
public static ListNode reverseList(ListNode head) {
// 原链表为:1 -> 2 -> 3 -> 4 -> 5
// 递归终止条件 ( 当链表为空或只有一个节点时,直接返回该节点 )
if (head == null || head.next == null) {
return head;
}
// 递归调用 ( 将2 -> 3 -> 4 -> 5这部分交给递归处理,最终返回的newHead是5 )
ListNode newHead = reverseList(head.next);
// 调整指针关系
// 原来2的next指向1
head.next.next = head;
// 1的next置为null
head.next = null;
/*
原始链表: 1 -> 2 -> 3 -> 4 -> 5
递归到最深处:
- reverseList(5): 返回5 (因为5.next == null)
回溯过程:
- 处理4: 4 -> 5 变成 5 -> 4
- 处理3: 3 -> 4 变成 5 -> 4 -> 3
- 处理2: 2 -> 3 变成 5 -> 4 -> 3 -> 2
- 处理1: 1 -> 2 变成 5 -> 4 -> 3 -> 2 -> 1
*/
return newHead;
}
public static void printListNode(ListNode head) {
StringBuilder sb = new StringBuilder("[");
while (head != null) {
sb.append(head.val);
head = head.next;
if (head != null) {
sb.append(",");
}
}
sb.append("]");
System.out.println(sb);
}
}
-
测试代码
public class ReverseLinkedListTest {
public static void main(String[] args) {
ListNode head =
new ListNode(1,
new ListNode(2,
new ListNode(3,
new ListNode(4,
new ListNode(5)))));
//打印原始链表
ReverseLinkedList.printListNode(head);
//反转链表
ListNode handledHead = ReverseLinkedList.reverseList(head);
//打印反转后的链表
ReverseLinkedList.printListNode(handledHead);
}
}
测试结果
394

被折叠的 条评论
为什么被折叠?



