Mini-batch 梯度下降(Mini-batch gradient descent)
本周将学习优化算法,这能让你的神经网络运行得更快。
机器学习的应用是一个高度依赖经验的过程,伴随着大量迭代的过程,你需要训练诸多模型,才能找到合适的那一个,所以,优化算法能够帮助你快速训练模型。
其中一个难点在于,深度学习没有在大数据领域发挥最大的效果,我们可以利用一个巨大的数据集来训练神经网络,而在巨大的数据集基础上进行训练速度很慢。
因此,你会发现,使用快速的优化算法,使用好用的优化算法能够大大提高你和团队的效率,那么,我们首先来谈谈mini-batch梯度下降法。

你之前学过,向量化能够让你有效地对所有m个样本进行计算,允许你处理整个训练集,而无需某个明确的公式。
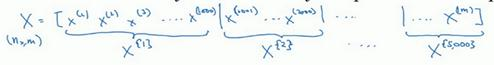
所以我们要把训练样本放大巨大的矩阵X当中去,X=[x^((1) ) x^((2) ) x^((3) )……x^((m) ) ]。
Y也是如此,Y=[y^((1) ) y^((2) ) y^((3) )……y^((m) ) ]。
所以X的维数是(n_x,m),Y的维数是(1,m),向量化能够让你相对较快地处理所有m个样本。如果m很大的话,处理速度仍然缓慢。比如说,如果m是500万或5000万或者更大的一个数,在对整个训练集执行梯度下降法时,你要做的是,你必须处理整个训练集,然后才能进行一步梯度下降法,然后你需要再重新处理500万个训练样本,才能进行下一步梯度下降法。所以如果你在处理完整个500万个样本的训练集之前,先让梯度下降法处理一部分,你的算法速度会更快,准确地说,这是你可以做的一些事情。
你可以把训练集分割为小一点的子集训练,这些子集被取名为mini-batch,假设每一个子集中只有1000个样本,那么把其中的x((1))到x((1000))取出来,将其称为第一个子训练集,也叫做mini-batch,然后你再取出接下来的1000个样本,从x((1001))到x((2000)),然后再取1000个样本,以此类推。
接下来我要说一个新的符号,把x((1))到x((1000))称为X({1}),x((1001))到x((2000))称为X({2}),如果你的训练样本一共有500万个,每个mini-batch都有1000个样本,也就是说,你有5000个mini-batch,因为5000乘以1000就是5000万。

你共有5000个mini-batch,所以最后得到是X^{5000}

对Y也要进行相同处理,你也要相应地拆分Y的训练集,所以这是Y({1}),然后从y((1001))到y((2000)),这个叫Y({2}),一直到Y^({5000})。

mini-batch的数量t组成了X({t})和Y({t}),这就是1000个训练样本,包含相应的输入输出对。

在继续课程之前,先确定一下我的符号,之前我们使用了上角小括号(i)表示训练集里的值,所以x((i))是第i个训练样本。我们用了上角中括号[l]来表示神经网络的层数,z([l])表示神经网络中第l层的z值,我们现在引入了大括号t来代表不同的mini-batch,所以我们有X({t})和Y({t}),检查一下自己是否理解无误。

X({t})和Y({t})的维数:如果X({1})是一个有1000个样本的训练集,或者说是1000个样本的x值,所以维数应该是(n_x,1000),X({2})的维数应该是(n_x,1000),以此类推。因此所有的子集维数都是(n_x,1000),而这些(Y^({t}))的维数都是(1,1000)。
解释一下这个算法的名称,batch梯度下降法指的是我们之前讲过的梯度下降法算法,就是同时处理整个训练集,这个名字就是来源于能够同时看到整个batch训练集的样本被处理,这个名字不怎么样,但就是这样叫它。
相比之下,mini-batch梯度下降法,指的是我们在下一张幻灯片中会讲到的算法,你每次同时处理的单个的mini-batch X({t})和Y({t}),而不是同时处理全部的X和Y训练集。
那么究竟mini-batch梯度下降法的原理是什么?
在训练集上运行mini-batch梯度下降法,你运行for t=1……5000,因为我们有5000个各有1000个样本的组,在for循环里你要做得基本就是对X({t})和Y({t})执行一步梯度下降法。假设你有一个拥有1000个样本的训练集,而且假设你已经很熟悉一次性处理完的方法,你要用向量化去几乎同时处理1000个样本。

首先对输入也就是X({t}),执行前向传播,然后执行z([1])=W^([1]) X+b([1]),之前我们这里只有,但是现在你正在处理整个训练集,你在处理第一个mini-batch,在处理mini-batch时它变成了X({t}),即z([1])=W([1]) X({t})+b([1]),然后执行A([1]k)=g([1]) (Z([1])),之所以用大写的Z是因为这是一个向量内涵,以此类推,直到A([L])=g1 (Z^([L])),这就是你的预测值。
注意这里你需要用到一个向量化的执行命令,这个向量化的执行命令,一次性处理1000个而不是500万个样本。
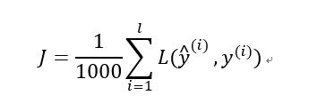
接下来你要计算损失成本函数J,因为子集规模是1000,J=1/1000

,说明一下,这(L(y((i)),y((i))))指的是来自于mini-batchX({t})和Y^({t})中的样本。
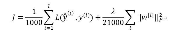
如果你用到了正则化,你也可以使用正则化的术语:

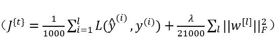
,因为这是一个mini-batch的损失,所以我将J损失记为上角标t,放在大括号里

你也会注意到,我们做的一切似曾相识,其实跟之前我们执行梯度下降法如出一辙,除了你现在的对象不是X,Y,而是X({t})和Y({t})。接下来,你执行反向传播来计算J({t})的梯度,你只是使用X({t})和Y^({t}),然后你更新加权值,
W实际上是W([l]),更新为W([l]):=W([l])-adW([l]),
对b做相同处理,b([l]):=b([l])-adb^([l])。

这是使用mini-batch梯度下降法训练样本的一步,我写下的代码也可被称为进行“一代”(1 epoch)的训练。一代这个词意味着只是一次遍历了训练集。

使用batch梯度下降法,一次遍历训练集只能让你做一个梯度下降,使用mini-batch梯度下降法,一次遍历训练集,能让你做5000个梯度下降。
当然正常来说你想要多次遍历训练集,还需要为另一个while循环设置另一个for循环。所以你可以一直处理遍历训练集,直到最后你能收敛到一个合适的精度。
如果你有一个丢失的训练集,mini-batch梯度下降法比batch梯度下降法运行地更快,
所以几乎每个研习深度学习的人在训练巨大的数据集时都会用到,下一个笔记中,我们将进一步深度讨论mini-batch梯度下降法,你也会因此更好地理解它的作用和原理。
L ↩︎

本文探讨了Mini-batch梯度下降法在深度学习领域的应用,该方法通过分割训练集为多个子集(mini-batch),加速了神经网络的训练过程,尤其适用于大规模数据集。文章详细介绍了如何执行前向传播、计算损失成本函数及反向传播,并通过更新权重和偏置实现了模型的快速迭代。
1065

被折叠的 条评论
为什么被折叠?



