概述
分层布局弄好之后,每一层的节点上下的相对位置基本确定了,我们最简单的方式,就是每一层平铺所有节点,节点宽度固定以及间距固定,每个节点的位置基本就确定了。我们只要基于这些节点进行连线就可以了。
方案思路
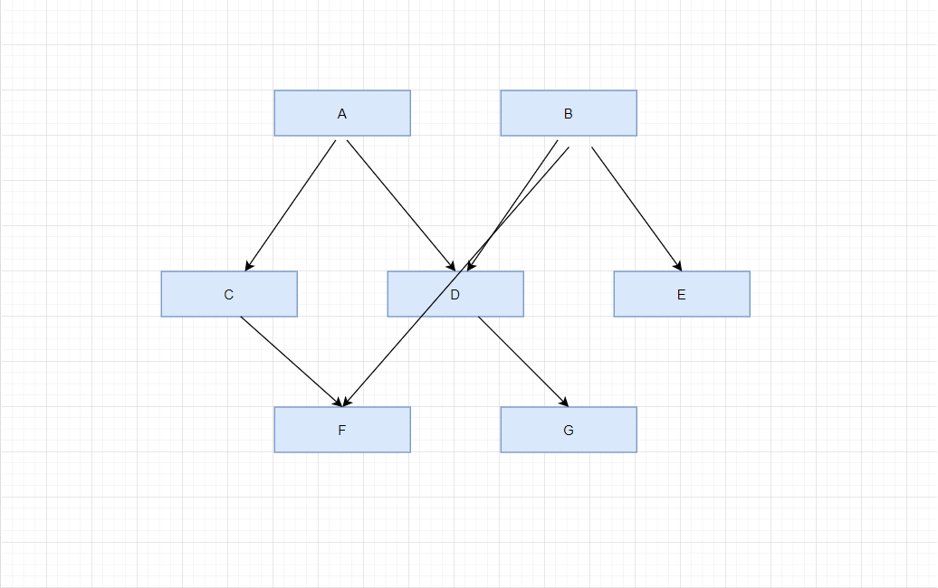
直线方式
最简单的方式就是直线,我们只要确定两个节点之间的相对具体坐标,然后两点之间画一条直线就可以了。效果如下

从上图可以看出,直线实现起来是比较简单的,但是节点很少的情况,还是可以勉强可以接受的,如果节点太多,线条复杂,基本没办法看了,效果不是很好。
曲线方式
曲线是比较常见的方式,这里可以用3次贝塞尔曲线或者2次贝塞尔曲线,算好相应的控制点即可。但是这些控制点不是很好算,并且通用的一些控制点,在一些复杂情况下,展示的效果也不是很好,这里也没打算使用这个。
折线方式
就是通过折线,曼哈顿的方式,在空白的地方进行拐点,进行连线,这种方式可以很好利用空间,并且可以规避节点,不会出现 线和节点的相互遮盖,这里我就采用了这种方式。由于我们的业务场景,节点比较多,并且层级不是很多,这里我投机采用了一种比较简单的方式来画这个折线。首先看下效果

在上述情况,我们考虑最简单的场景,就是最多用4个点来画这条折线,这种画法应该是最简单的。因为图是从上往下画的,我们只要考虑 中间节点Y坐标即可。但是要考虑尽可能的不要让线条重叠。 我们可以把每层节点按照x坐标排序,然后划线的时候,按照x轴,从左到右的依次划线,并且保证每条线没有重叠的部分。

本文介绍了从零开始画DAG作业依赖图的方法,重点讲述了直线、曲线和折线三种连线方式。其中,直线方式适用于节点较少的情况,而折线方式能有效规避节点并充分利用空间,适合节点较多的场景。具体实现中,通过节点排序和避免线条重叠,实现了简单有效的折线连接。此方法虽不能解决所有复杂情况,但为后续优化路径寻找提供了基础。
最低0.47元/天 解锁文章
1501

被折叠的 条评论
为什么被折叠?



