617. 合并二叉树
https://leetcode.cn/problems/merge-two-binary-trees/
难度简单1028
给你两棵二叉树: root1 和 root2 。
想象一下,当你将其中一棵覆盖到另一棵之上时,两棵树上的一些节点将会重叠(而另一些不会)。你需要将这两棵树合并成一棵新二叉树。合并的规则是:如果两个节点重叠,那么将这两个节点的值相加作为合并后节点的新值;否则,不为 null 的节点将直接作为新二叉树的节点。
返回合并后的二叉树。
注意: 合并过程必须从两个树的根节点开始。
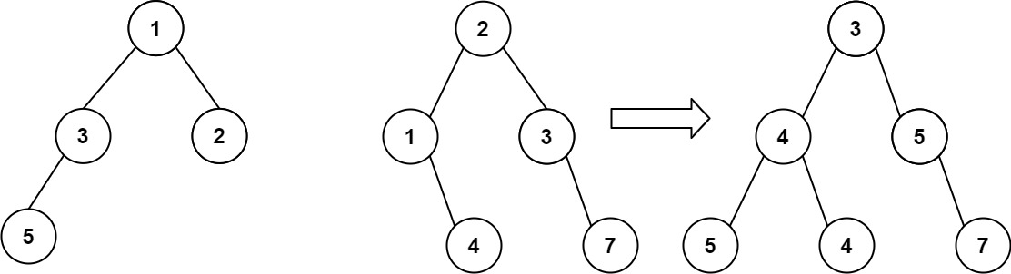
示例 1:

输入:root1 = [1,3,2,5], root2 = [2,1,3,null,4,null,7] 输出:[3,4,5,5,4,null,7]
示例 2:
输入:root1 = [1], root2 = [1,2] 输出:[2,2]
提示:
- 两棵树中的节点数目在范围
[0, 2000]内 -104 <= Node.val <= 104
通过次数310,014提交次数392,229
/**
* Definition for a binary tree node.
* public class TreeNode {
* int val;
* TreeNode left;
* TreeNode right;
* TreeNode() {}
* TreeNode(int val) { this.val = val; }
* TreeNode(int val, TreeNode left, TreeNode right) {
* this.val = val;
* this.left = left;
* this.right = right;
* }
* }
*/
class Solution {
public TreeNode mergeTrees(TreeNode root1, TreeNode root2) {
if(root1==null && root2!=null) return root2;
t(root1,root2);
return root1;
}
void t(TreeNode root1, TreeNode root2)
{
if(root1==null && root2==null) return;
if(root1!=null && root2!=null){
root1.val +=root2.val;
if(root1.left!=null) mergeTrees(root1.left,root2.left);
if(root1.right!=null) mergeTrees(root1.right,root2.right);
if(root1.left==null && root2.left!=null) root1.left=root2.left;
if(root1.right==null && root2.right!=null) root1.right=root2.right;
}
}
}

496

被折叠的 条评论
为什么被折叠?



