142. 环形链表 II
https://leetcode.cn/problems/linked-list-cycle-ii/
难度中等1676
给定一个链表的头节点 head ,返回链表开始入环的第一个节点。 如果链表无环,则返回 null。
如果链表中有某个节点,可以通过连续跟踪 next 指针再次到达,则链表中存在环。 为了表示给定链表中的环,评测系统内部使用整数 pos 来表示链表尾连接到链表中的位置(索引从 0 开始)。如果 pos 是 -1,则在该链表中没有环。注意:pos 不作为参数进行传递,仅仅是为了标识链表的实际情况。
不允许修改 链表。
示例 1:

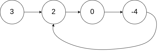
输入:head = [3,2,0,-4], pos = 1 输出:返回索引为 1 的链表节点 解释:链表中有一个环,其尾部连接到第二个节点。
示例 2:

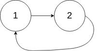
输入:head = [1,2], pos = 0 输出:返回索引为 0 的链表节点 解释:链表中有一个环,其尾部连接到第一个节点。
示例 3:

输入:head = [1], pos = -1 输出:返回 null 解释:链表中没有环。
提示:
- 链表中节点的数目范围在范围
[0, 104]内 -105 <= Node.val <= 105pos的值为-1或者链表中的一个有效索引
进阶:你是否可以使用 O(1) 空间解决此题?
/**
* Definition for singly-linked list.
* class ListNode {
* int val;
* ListNode next;
* ListNode(int x) {
* val = x;
* next = null;
* }
* }
*/
public class Solution {
public ListNode detectCycle(ListNode head) {
//快慢指针
ListNode fast = head;
ListNode slow = head;
while(fast!=null && fast.next!=null)
{
fast = fast.next.next;
slow = slow.next;
if(fast==slow) //有环
{
ListNode node1 = head; //头节点
ListNode node2 = fast; //相遇节点
while(node1!=node2)
{
node1 = node1.next;
node2 = node2.next;
}
if(node1==node2) return node2;
}
}
return null;
}
}

本文深入探讨了LeetCode中难度为中等的142题——环形链表II。通过快慢指针法,我们可以有效地找到链表中环的入口节点。代码实现简洁明了,适用于链表无环或有环的情况。对于无环链表,返回null;有环链表则返回环的起始节点。挑战在于如何在O(1)空间复杂度下解决这个问题。
1403

被折叠的 条评论
为什么被折叠?



