404. 左叶子之和
https://leetcode.cn/problems/sum-of-left-leaves/
难度简单462
给定二叉树的根节点 root ,返回所有左叶子之和。
示例 1:

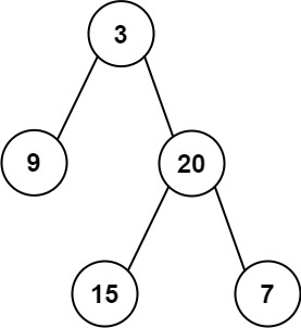
输入: root = [3,9,20,null,null,15,7] 输出: 24 解释: 在这个二叉树中,有两个左叶子,分别是 9 和 15,所以返回 24
示例 2:
输入: root = [1] 输出: 0
提示:
- 节点数在
[1, 1000]范围内 -1000 <= Node.val <= 1000
通过次数158,325提交次数260,283
/**
* Definition for a binary tree node.
* public class TreeNode {
* int val;
* TreeNode left;
* TreeNode right;
* TreeNode() {}
* TreeNode(int val) { this.val = val; }
* TreeNode(int val, TreeNode left, TreeNode right) {
* this.val = val;
* this.left = left;
* this.right = right;
* }
* }
*/
class Solution {
int ans = 0;
public int sumOfLeftLeaves(TreeNode root) {
if(root == null) return 0;
sumOfLeftLeaves(root.left);
if(root.left!=null && root.left.left==null && root.left.right==null) ans+=root.left.val;
sumOfLeftLeaves(root.right);
return ans;
}
}

543

被折叠的 条评论
为什么被折叠?



