ConcurrentSkipListMap数据结构
抓住了数据结构,对于理解整个ConcurrentSkipListMap有很重要的作用,其实,通过源码可知其数据结构如下。

可以看到ConcurrentSkipListMap的数据结构使用的是跳表,每一个HeadIndex、Index结点都会包含一个对Node的引用,同一垂直方向上的Index、HeadIndex结点都包含了最底层的Node结点的引用。并且层级越高,该层级的结点(HeadIndex和Index)数越少。Node结点之间使用单链表结构。
ConcurrentSkipListMap的继承关系
public class ConcurrentSkipListMap<K,V> extends AbstractMap<K,V>
implements ConcurrentNavigableMap<K,V>, Cloneable, Serializable {}
ConcurrentSkipListMap继承了AbstractMap抽象类,实现了ConcurrentNavigableMap接口,该接口定义了获取某一部分集合的操作。实现了Cloneable接口,表示允许克隆。实现了Serializable接口,表示可被序列化。
ConcurrentSkipListMap的内部类
ConcurrentSkipListMap包含了很多内部类,内部类的框架图如下:

其中,最为重要的类包括Index、HeadIndex、Node三个类。下面对这三个类进行逐一讲解
Index类
static class Index<K,V> {
final Node<K,V> node;
final Index<K,V> down;
volatile Index<K,V> right;
// Unsafe mechanics
private static final sun.misc.Unsafe UNSAFE;
private static final long rightOffset;
static {
try {
UNSAFE = sun.misc.Unsafe.getUnsafe();
Class<?> k = Index.class;
rightOffset = UNSAFE.objectFieldOffset
(k.getDeclaredField("right"));
} catch (Exception e) {
throw new Error(e);
}
}
}
Index结点包括一个Node结点的引用,都是包含down域和right域,即对应数据结构中的Index结点。并且借助了反射来原子性的修改right域。
构造函数
Index(Node<K,V> node, Index<K,V> down, Index<K,V> right) {
this.node = node;
this.down = down;
this.right = right;
}
构造Index结点,确定Node引用,down域和right域
link函数
final boolean link(Index<K,V> succ, Index<K,V> newSucc) {
// 获取Index结点的Node结点
Node<K,V> n = node;
// 将newSucc结点的right域设置为succ
newSucc.right = succ;
// 结点的值不为空并且比较并交换当前Index结点的right域(将当前Index(this)结点的right域设置为newSucc)
return n.value != null && casRight(succ, newSucc);
}
link方法用于在当前Index结点的后面插入一个Index结点,形成其right结点。并且插入的Index结点的right域为当前结点的right域。
unlink函数
final boolean unlink(Index<K,V> succ) {
// 当前Index结点的Node结点的值不为空并且将当前Index结点的right设置为succ的right结点
return node.value != null && casRight(succ, succ.right);
}
unlink方法与link方法作用相反,其删除当前Index结点的right结点,即将当前Index结点的right指向当前Index结点的right.right域。
HeadIndex类
// 头结点索引类
static final class HeadIndex<K,V> extends Index<K,V> {
// 层级
final int level;
// 构造函数
HeadIndex(Node<K,V> node, Index<K,V> down, Index<K,V> right, int level) {
// 构造Index类
super(node, down, right);
this.level = level;
}
}
根据HeadIndex类可知其继承自Index类,并且在Index类的基础上添加了level域,表示当前的层级。
Node类
static final class Node<K,V> {
// 键
final K key;
// 值
volatile Object value;
// 下一个结点
volatile Node<K,V> next;
// UNSAFE mechanics
private static final sun.misc.Unsafe UNSAFE;
// value域的偏移地址
private static final long valueOffset;
// next域的偏移地址
private static final long nextOffset;
static {
try {
UNSAFE = sun.misc.Unsafe.getUnsafe();
Class<?> k = Node.class;
valueOffset = UNSAFE.objectFieldOffset
(k.getDeclaredField("value"));
nextOffset = UNSAFE.objectFieldOffset
(k.getDeclaredField("next"));
} catch (Exception e) {
throw new Error(e);
}
}
}
Node类包含了key、value、next域,其是用来实际存放元素的结点,并且是使用单链表结构。同时,也使用了反射来原子性的修改value与和next域。
构造函数
Node(K key, Object value, Node<K,V> next) {
this.key = key;
this.value = value;
this.next = next;
}
// 用于建立标记结点,值为本身
Node(Node<K,V> next) {
this.key = null;
this.value = this;
this.next = next;
}
Node类包含了两种构造函数,分别表示正常的结点和marker标记结点,marker标记结点在删除结点时被使用。
helpDelete函数
void helpDelete(Node<K,V> b, Node<K,V> f) {
/*
* Rechecking links and then doing only one of the
* help-out stages per call tends to minimize CAS
* interference among helping threads.
*/
if (f == next && this == b.next) { // f为当前结点的后继并且b为当前结点的前驱
if (f == null || f.value != f) // f为空或者f的value不为本身,即没有被标记 not already marked
// 当前结点后添加一个marker结点,并且当前结点的后继为marker,marker结点的后继为f
casNext(f, new Node<K,V>(f));
else // f不为空并且f的值为本身
// 设置b的next域为f的next域
b.casNext(this, f.next);
}
}
删除结点,在结点后面添加一个marker结点或者将结点和其后的marker结点从其前驱中断开。
ConcurrentSkipListMap的属性
public class ConcurrentSkipListMap<K,V> extends AbstractMap<K,V>
implements ConcurrentNavigableMap<K,V>, Cloneable, Serializable {
// 版本序列号
private static final long serialVersionUID = -8627078645895051609L;
// 基础层的头结点
private static final Object BASE_HEADER = new Object();
// 最顶层头结点的索引
private transient volatile HeadIndex<K,V> head;
// 比较器
final Comparator<? super K> comparator;
// 键集合
private transient KeySet<K> keySet;
// entry集合
private transient EntrySet<K,V> entrySet;
// 值集合
private transient Values<V> values;
// 降序键集合
private transient ConcurrentNavigableMap<K,V> descendingMap;
// Unsafe mechanics
private static final sun.misc.Unsafe UNSAFE;
// head域的偏移量
private static final long headOffset;
// Thread类的threadLocalRandomSecondarySeed的偏移量
private static final long SECONDARY;
static {
try {
UNSAFE = sun.misc.Unsafe.getUnsafe();
Class<?> k = ConcurrentSkipListMap.class;
headOffset = UNSAFE.objectFieldOffset
(k.getDeclaredField("head"));
Class<?> tk = Thread.class;
SECONDARY = UNSAFE.objectFieldOffset
(tk.getDeclaredField("threadLocalRandomSecondarySeed"));
} catch (Exception e) {
throw new Error(e);
}
}
}
ConcurrentSkipListMap包含了head属性,表示跳表的头结点,并且包含了一个比较器,值得注意的是,对于ConcurrentSkipListMap的使用,键必须能够进行比较,如传递了比较器或者键本身就能够进行比较。同时,也使用了反射来保证原子性的更新head域。
ConcurrentSkipListMap的构造函数
// 构造一个新的空映射,该映射按照键的自然顺序进行排序
public ConcurrentSkipListMap() {
// 比较器为空,那么键必须能够比较(实现了Comparable接口)
this.comparator = null;
// 初始化相关的域
initialize();
}
构造一个新的空映射,该映射按照键的自然顺序进行排序,即键K必须实现了Comparable接口,否则,会报错。
ConcurrentSkipListMap的核心函数
doPut函数
// 插入一个结点
private V doPut(K key, V value, boolean onlyIfAbsent) {
Node<K,V> z; // added node
if (key == null) // 键为空,抛出空异常
throw new NullPointerException();
// 比较器
Comparator<? super K> cmp = comparator;
outer: for (;;) { // 无限循环
for (Node<K,V> b = findPredecessor(key, cmp), n = b.next;;) { // 找到先驱结点,n为当前结点
if (n != null) { // next域不为空
Object v; int c;
// f为当前结点的后继节点
Node<K,V> f = n.next;
if (n != b.next) // 不一致,重试 // inconsistent read
break;
if ((v = n.value) == null) { // n结点已经被删除 // n is deleted
// 进行删除
n.helpDelete(b, f);
break;
}
if (b.value == null || v == n) // b结点已经被删除 b is deleted
break;
if ((c = cpr(cmp, key, n.key)) > 0) { // key大于结点的key
// b往后移动
b = n;
// n往后移动
n = f;
continue;
}
if (c == 0) { // 键相等
if (onlyIfAbsent || n.casValue(v, value)) { // 比较并交换值
@SuppressWarnings("unchecked") V vv = (V)v;
return vv;
}
// 重试
break; // restart if lost race to replace value
}
// else c < 0; fall through
}
// 新生一个结点
z = new Node<K,V>(key, value, n);
if (!b.casNext(n, z)) // 比较并交换next域
break; // restart if lost race to append to b
// 成功,则跳出循环
break outer;
}
}
// 随机生成种子
int rnd = ThreadLocalRandom.nextSecondarySeed();
if ((rnd & 0x80000001) == 0) { // test highest and lowest bits
int level = 1, max;
while (((rnd >>>= 1) & 1) != 0) // 判断从右到左有多少个连续的1
++level;
Index<K,V> idx = null;
// 保存头结点
HeadIndex<K,V> h = head;
if (level <= (max = h.level)) { // 小于跳表的层级
for (int i = 1; i <= level; ++i) // 为结点生成对应的Index结点
// 从下至上依次赋值,并且赋值了Index结点的down域
idx = new Index<K,V>(z, idx, null);
}
else { // try to grow by one level
level = max + 1; // hold in array and later pick the one to use
// 生成Index结点的数组,其中,idxs[0]不作使用
@SuppressWarnings("unchecked")Index<K,V>[] idxs =
(Index<K,V>[])new Index<?,?>[level+1];
for (int i = 1; i <= level; ++i) // 从下到上生成Index结点,并赋值down域
idxs[i] = idx = new Index<K,V>(z, idx, null);
for (;;) { // 无限循环
// 保存头结点
h = head;
// 保存跳表之前的层级
int oldLevel = h.level;
if (level <= oldLevel) // lost race to add level
break;
// 保存头结点
HeadIndex<K,V> newh = h;
// 保存头结点对应的Node结点
Node<K,V> oldbase = h.node;
for (int j = oldLevel+1; j <= level; ++j) // 为每一层生成一个头结点
newh = new HeadIndex<K,V>(oldbase, newh, idxs[j], j);
if (casHead(h, newh)) { // 比较并替换头结点
// h赋值为最高层的头结点
h = newh;
// idx赋值为之前层级的头结点,并将level赋值为之前的层级
idx = idxs[level = oldLevel];
break;
}
}
}
// find insertion points and splice in
// 插入Index结点
splice: for (int insertionLevel = level;;) {
// 保存新跳表的层级
int j = h.level;
for (Index<K,V> q = h, r = q.right, t = idx;;) {
if (q == null || t == null) // 头结点或者idx结点为空
// 跳出外层循环
break splice;
if (r != null) { // right结点不为空
// 保存r对应的Node结点
Node<K,V> n = r.node;
// compare before deletion check avoids needing recheck
// 比较key与结点的key值
int c = cpr(cmp, key, n.key);
if (n.value == null) { // 结点的值为空,表示需要删除
if (!q.unlink(r)) // 删除q的Index结点
break;
// r为q的right结点
r = q.right;
continue;
}
if (c > 0) { // key大于结点的key
// 向右寻找
q = r;
r = r.right;
continue;
}
}
if (j == insertionLevel) {
if (!q.link(r, t)) // r结点插入q与t之间
break; // restart
if (t.node.value == null) { // t结点的值为空,需要删除
// 利用findNode函数的副作用
findNode(key);
break splice;
}
if (--insertionLevel == 0) // 到达最底层,跳出循环
break splice;
}
if (--j >= insertionLevel && j < level)
t = t.down;
q = q.down;
r = q.right;
}
}
}
return null;
}
说明:doPut提供对put函数的支持,doPut的大体流程如下:
① 根据给定的key从跳表的左上方往右或者往下查找到Node链表的前驱Node结点,这个查找过程会删除一些已经标记为删除的结点。
② 找到前驱结点后,开始往后插入查找插入的位置(因为找到前驱结点后,可能有另外一个线程在此前驱结点后插入了一个结点,所以步骤①得到的前驱现在可能不是要插入的结点的前驱,所以需要往后查找)。
③ 随机生成一个种子,判断是否需要增加层级,并且在各层级中插入对应的Index结点。
其中,会调用到findPredecessor函数,findPredecessor函数源码如下
private Node<K,V> findPredecessor(Object key, Comparator<? super K> cmp) {
if (key == null) // 键为空,抛出空异常
throw new NullPointerException(); // don't postpone errors
for (;;) { // 无限循环
for (Index<K,V> q = head, r = q.right, d;;) { //
if (r != null) { // 右Index结点不为空
// n为当前Node结点
Node<K,V> n = r.node;
// 为当前key
K k = n.key;
if (n.value == null) { // 当前Node结点的value为空,表示需要删除
if (!q.unlink(r)) // unlink r Index结点
break; // restart
// r为rightIndex结点
r = q.right; // reread r
continue;
}
if (cpr(cmp, key, k) > 0) { // 比较key与当前Node结点的k,若大于0
// 向右移动
q = r;
r = r.right;
continue;
}
}
if ((d = q.down) == null) // q的down域为空,直接返回q对应的Node结点
return q.node;
// 向下移动
q = d;
// d的right结点
r = d.right;
}
}
}
说明:findPredecessor函数的主要流程如下。
从头结点(head)开始,先比较key与当前结点的key的大小,若key大于当前Index结点的key并且当前Index结点的right不为空,则向右移动,继续查找;若当前Index结点的right为空,则向下移动,继续查找;若key小于等于当前Index结点的key,则向下移动,继续查找。直至找到前驱结点。
doRemove函数
// 移除一个结点
final V doRemove(Object key, Object value) {
if (key == null)
throw new NullPointerException();
// 保存比较器
Comparator<? super K> cmp = comparator;
outer: for (;;) { // 无限循环
for (Node<K,V> b = findPredecessor(key, cmp), n = b.next;;) { // 根据key找到前驱结点,n为当前Index结点
Object v; int c;
if (n == null) // n不为空
break outer;
// f为当前结点的next结点
Node<K,V> f = n.next;
if (n != b.next) // 不一致,重试 // inconsistent read
break;
if ((v = n.value) == null) { // 当前结点的value为空,需要删除 // n is deleted
// 删除n结点
n.helpDelete(b, f);
break;
}
if (b.value == null || v == n) // b is deleted
break;
if ((c = cpr(cmp, key, n.key)) < 0) // key小于当前结点的key
// 跳出外层循环
break outer;
if (c > 0) { // key大于当前结点的key
// 向后移动
b = n;
n = f;
continue;
}
if (value != null && !value.equals(v))
break outer;
if (!n.casValue(v, null)) // 当前结点的value设置为null
break;
if (!n.appendMarker(f) || !b.casNext(n, f)) // 在n结点后添加一个marker结点,并且将b的next域更新为f
findNode(key); // retry via findNode
else { // 添加节点并且更新均成功
// 利用findNode函数的副作用,删除n结点对应的Index结点
findPredecessor(key, cmp); // clean index
if (head.right == null) // 头结点的right为null
// 需要减少层级
tryReduceLevel();
}
@SuppressWarnings("unchecked") V vv = (V)v;
return vv;
}
}
return null;
}
doRemove函数的处理流程如下。
① 根据key值找到前驱结点,查找的过程会删除一个标记为删除的结点。
② 从前驱结点往后查找该结点。
③ 在该结点后面添加一个marker结点,若添加成功,则将该结点的前驱的后继设置为该结点之前的后继。
④ 头结点的next域是否为空,若为空,则减少层级。
下面的示意图给出了remove操作一种可能的情况(仅仅涉及Node结点的链表层的操作)

可以看到remove操作是分为两步进行的,首先是在要删除结点的后面添加一个marker结点,然后修改删除结点的前驱结点的next域。注意,这里仅仅只给出了Node结点的链表层的操作,并没有涉及到Index结点,关于Index结点的情况,之后会给出一个示例。其中会调用到tryReduceLevel函数,tryReduceLevel源码如下
// 减少跳表层级
private void tryReduceLevel() {
// 保存头结点
HeadIndex<K,V> h = head;
HeadIndex<K,V> d;
HeadIndex<K,V> e;
if (h.level > 3 &&
(d = (HeadIndex<K,V>)h.down) != null &&
(e = (HeadIndex<K,V>)d.down) != null &&
e.right == null &&
d.right == null &&
h.right == null &&
casHead(h, d) && // try to set
h.right != null) // recheck
casHead(d, h); // try to backout
}
如果最高的前三个HeadIndex不为空,并且其right域都为null,那么就将level减少1层,并将head设置为之前head的下一层,设置完成后,还有检测之前的head的right域是否为null,如果为null,则减少层级成功,否则再次将head设置为h。
doGet函数
private V doGet(Object key) {
if (key == null)
throw new NullPointerException();
Comparator<? super K> cmp = comparator;
outer: for (;;) {
for (Node<K,V> b = findPredecessor(key, cmp), n = b.next;;) { // 根据key找到前驱结点,n为当前结点
Object v; int c;
if (n == null) // 当前Index结点为null,跳出外层循环
break outer;
// f为当前结点的next结点
Node<K,V> f = n.next;
if (n != b.next) // 不一致,重试 // inconsistent read
break;
if ((v = n.value) == null) { // n is deleted
n.helpDelete(b, f);
break;
}
if (b.value == null || v == n) // b is deleted
break;
if ((c = cpr(cmp, key, n.key)) == 0) { // 找到key值相等的结点
@SuppressWarnings("unchecked") V vv = (V)v;
// 返回value
return vv;
}
if (c < 0) // 小于当前结点
// 则表示没有找到,跳出外层循环
break outer;
// 继续向后移动
b = n;
n = f;
}
}
return null;
}
doGet函数流程比较简单,首先根据key找到前驱结点,然后从前驱结点开始往后查找,找到与key相等的结点,则返回该结点,否则,返回null。在这个过程中会删除一些已经标记为删除状态的结点。
size函数
public int size() {
long count = 0;
for (Node<K,V> n = findFirst(); n != null; n = n.next) { // 找到第一个结点
if (n.getValidValue() != null) // n结点没有被标记删除
// 计数器加1
++count;
}
return (count >= Integer.MAX_VALUE) ? Integer.MAX_VALUE : (int) count;
}
size函数的流程如下,首先利用findFirst函数找到第一个value不为null的结点。然后开始往后遍历,调用Node结点的getValidValue函数判断结点的value是否有效,有效则计数器加1。其中findFirst源码如下
final Node<K,V> findFirst() {
for (Node<K,V> b, n;;) {
if ((n = (b = head.node).next) == null) // 头结点的下一个结点为当前结点,为null
// 返回null
return null;
if (n.value != null) // 当前结点不为null
// 则返回该结点
return n;
// 表示当前结点的value为null,则进行删除
n.helpDelete(b, n.next);
}
}
findFirst函数的功能是找到第一个value不为null的结点。getValidValue源码如下
V getValidValue() {
Object v = value;
if (v == this || v == BASE_HEADER) // value为自身或者为BASE_HEADER
return null;
@SuppressWarnings("unchecked") V vv = (V)v;
return vv;
}
若结点的value为自身或者是BASE_HEADER,则返回null,否则返回结点的value。
示例
下面通过一个简单的示例,来深入了解ConcurrentSkipListMap的内部结构。
package com.hust.grid.leesf.collections;
import java.util.concurrent.ConcurrentSkipListMap;
public class ConcurrentSkipListMapDemo {
public static void main(String[] args) {
ConcurrentSkipListMap<String, Integer> cslm = new ConcurrentSkipListMap<String, Integer>();
cslm.put("leesf", 24);
cslm.put("dyd", 24);
for (String key :cslm.keySet()) {
System.out.print("[" + key + "," + cslm.get(key) + "] ");
}
System.out.println();
cslm.remove("leesf");
for (String key :cslm.keySet()) {
System.out.print("[" + key + "," + cslm.get(key) + "] ");
}
}
}
运行结果:
[dyd,24] [leesf,24]
[dyd,24]
上面的一个示例非常简单,下面借这个示例,来分析ConcurrentSkipListMap的内部结构。
① 当新生一个ConcurrentSkipListMap时,有如下结构。

② 当put(“leesf”, 24)后,可能有如下结构

在插入一个Node结点的同时,也插入一个Index结点,并且head结点的right域指向该Index结点,该Index的Node域指向插入的Node结点。
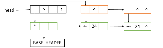
③ 当put(“dyd”, 24)后,可能有如下结构
插入的(“dyd”, 24),新生成的结点在leesf结点之前,并且也生成了一个Index结点指向它,此时跳表的层级还是为1。
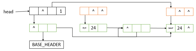
④ 同样,当put(“dyd”, 24)后,也可能有如下结构

在插入(“dyd”, 24)后,层级加1,此时会生成两个Index结点,并且两个Index结点均指向新生成的Node结点。
⑤ 在remove(“dyd”)之后,存在如下结构

在key为dyd的结点后面添加了一个marker结点(key为null,value为自身),并且Node结点对应的Index也将从Index链表中断开,最后会被GC。
本文深入解析Java的ConcurrentSkipListMap,介绍其数据结构为跳表,阐述继承关系、内部类(Index、HeadIndex、Node)、属性、构造函数。详细讲解核心函数如doPut、doRemove、doGet、size的流程,并通过示例分析其内部结构变化。
277

被折叠的 条评论
为什么被折叠?



