目录
生活中总是存在着错综复杂的联系,例如喜欢打篮球的人,身高普遍比较高;喜欢穿艳丽色衣服的人,性格会普遍比较开朗;在超市买炸鸡的人,会大概率买啤酒。而反过来,这种联系并不一定成立。
在数据库领域,表中的不同属性就像生活中不同的事物,也会存在着各种类似的关联关系。如何利用这种关联关系来提升数据库查询性能?这篇文章可以解密openGauss的一种应用方案,该特性可通过GUC参数enable_functional_dependency进行控制。
一、函数依赖的用途
函数依赖特性就是用一个介于0~1的值来量化这种关联关系的强弱程度,这个数值又被称为函数依赖度,其中0表示没有关联,1表示完全关联。函数依赖,是多列统计信息的一种,可以描述两个属性之间的关联关系的强弱,也可以用于描述多个属性与另一个属性的关联关系的强弱,其主要用途是提高选择率计算的准确性。其中选择率的定义为

选择率是对SQL查询结果规模的预期,取值0~1。如果选择率比较大,即接近于1,那么查询优化器会倾向于使用顺序扫描,如果选择率比较小,即接近于0,查询优化器会倾向于使用索引扫描,如果介于两者之间,查询优化器倾向于使用位图扫描。所以选择率能否估算准确,会直接影响到执行计划的选择,进而影响到数据库的查询效率。函数依赖特性的加入,能一定程度上提高选择率估算的准确性。
在引用函数依赖特性之前,数据库会使用条件独立假设的方法来估算选择率。举一个生活中的例子,在一个班级中,男女生的比例是1:1,喜欢篮球的人数占比为20%,身高175cm以上的人数占比为50%。我们可以说喜欢篮球且身高在175cm以上的男生的占比为50% * 20% * 50% = 5%吗?显然这个计算结果会比实际结果低,因为这几个属性之间有关联关系,喜欢篮球的人普遍身高偏高,喜欢篮球的人中男生占多数,男生的身高较女生普遍偏高。
二、理论推导
下面我们从理论上来对比,条件独立假设和函数依赖在计算选择率时的差异。假设一个表 t(a int, b int, c int),A是只与属性{a}相关的等式约束条件,B是只与属性{b}相关的等式约束条件。在条件独立假设下,同时满足约束条件A和约束条件B的选择率的计算公式为
![]()
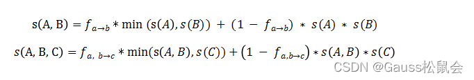
这会导致选择率一定程度的低估,因为约束条件A和约束条件B会存在或强或弱关联,而这里并没有考虑在内。引入函数依赖特性,并应用函数依赖关系来计算选择率s(A, B)的理论公式为

其中,为一个实数,取值0~1。类似地,对于含有三个属性的函数依赖关系"a , b=> c: ",计算选择率s(A, B, C)的理论公式为

但是在实际应用中,考虑到最终的选择率不能大于任何一个属性列的选择率,需要对上述的理论公式做一个轻微变形,用min(s(A), s(B))来代替第一项的s(A),min(s(A, B), s(C))来代替第一项的s(A, B)。这种变形会对计算不满足函数依赖的数值的选择率,产生一定的修正作用。

三、应用示例
上面我们已经对openGauss数据库中的函数依赖关系进行了理论上的介绍,下面我们看看在具体实践中,应该如何操作。下面的几个例子,可以很好地展现openGauss数据库的该特性。
--优化SQL查询的行数估计模型前
create table t5 (a int, b int, c int, d int, e int);
insert into t5 select 1, 1, 1, 1, 1 from generate_series(1,100) i;
insert into t5 select 2, 2, 2, 2, 2 from generate_series(1,100000) i;
insert into t5 select 3, 3, 3, 3, 3 from generate_series(1,10000) i;
insert into t5 select 4, 4, 4, 4, 4 from generate_series(1,10000) i;
analyze t5;
- 执行explain analyze select * from t5 where b=1 and c=1;并查看计划。真实行数为100,估算行数为1,行数估计准确率较低,为0.01。

- 执行explain analyze select * from t5 where b=2 and c=2;并查看计划。真实行数为100000,估算行数为83396,行数估计准确率略低,为0.834。

- 执行explain analyze select * from t5 where b=3 and c=3; 并查看计划。真实行数为10000,估算行数为832,行数估计准确率较低,为0.083。

设置ANALYZE的采样方式为百分比采样,采样率为2%
set default_statistics_target=-2;
开启GUC参数,生成函数依赖统计信息
set enable_functional_dependency=on;
alter table t5 add statistics ((a, b, c));
analyze t5((a, b, c));
- 执行explain analyze select * from t5 where b=1 and c=1; 并查看计划。真实行数为100,估算行数为72,所以行数估计准确率为0.72。应用函数依赖统计信息,准确率从0.01提升为0.72,提升72倍。

- 执行explain analyze select * from t5 where b=2 and c=2; 并查看计划。真实行数为100000,估算行数为99708,所以行数估计准确率为0.997。应用函数依赖统计信息,准确率从0.834提升为0.997,提升1.19倍。

- 执行explain analyze select * from t5 where b=3 and c=3; 并查看计划。真实行数为10000,估算行数为10066,所以行数估计准确率为0.993。应用函数依赖统计信息,准确率从0.083提升为0.993,提升11.96倍。

通过在openGauss中使用函数依赖关系的数据库优化技术,我们可以看到数据库的查询优化性能得到了显著的提升。如果大家对该特性感兴趣,欢迎下载最新的openGauss数据库进行体验!
openGauss: 一款高性能、高安全、高可靠的企业级开源关系型数据库。
🍒如果您觉得博主的文章还不错或者有帮助的话,请关注一下博主,如果三连收藏支持就更好啦!谢谢各位大佬给予的鼓励!
本文介绍openGauss数据库中的函数依赖特性,该特性可通过GUC参数enable_functional_dependency进行控制,旨在提高选择率计算的准确性,从而提升数据库查询性能。
1083

被折叠的 条评论
为什么被折叠?



