PS:示例数据结构
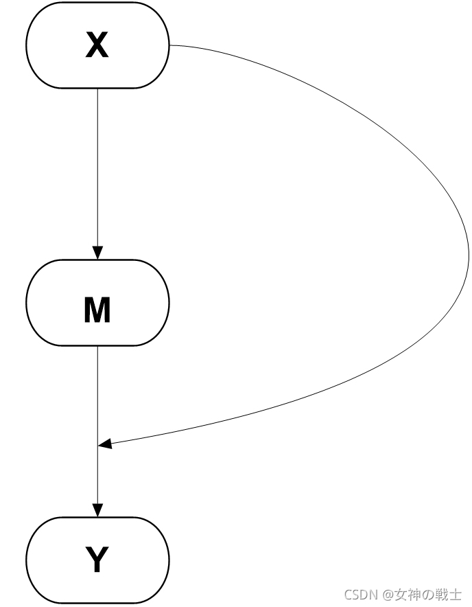
中介变量为人力资本M
自变量为数字经济X
因变量为就业结构Y
为简便起见不加入其他控制变量
图形表达:

简单回归方程的表达如下:
理论:
本文通过Stata软件展示了如何分析数字经济(X)对就业结构(Y)的影响,其中人力资本(M)作为中介变量。文章详细介绍了两种方法来估计中介效应和调节效应,包括直接和间接效应的计算,并使用了结构方程模型(SEM)。通过对数字化基础设施增加值的均值进行操作,探讨了其对人力资本和就业结构关系的中介作用。最后,运用Bootstrap方法进行了100次重复抽样以确定间接效应的置信区间。
PS:示例数据结构
中介变量为人力资本M
自变量为数字经济X
因变量为就业结构Y
为简便起见不加入其他控制变量
图形表达:

简单回归方程的表达如下:
理论:
2487
4044

被折叠的 条评论
为什么被折叠?