一、method-swizzling 简介
- method-swizzling 的含义是方法交换,其主要作用是在运行时将一个方法的实现替换成另一个方法的实现,这就是我们常说的 iOS 黑魔法。
- 在 OC 中就是利用 method-swizzling 实现 AOP,其中 AOP(Aspect Oriented Programming,面向切面编程)是一种编程的思想,区别于OOP(面向对象编程);
- OOP 和 AOP 都是一种编程的思想;
- OOP 编程思想更加倾向于对业务模块的封装,划分出更加清晰的逻辑单元;
- 而 AOP 是面向切面进行提取封装,提取各个模块中的公共部分,提高模块的复用率,降低业务之间的耦合性。
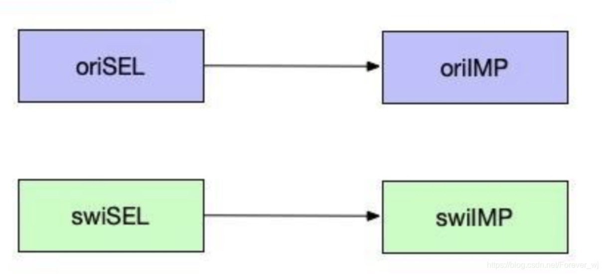
- 每个类都维护着一个方法列表,即 methodList,methodList 中有不同的方法即 Method,每个方法中包含了方法的 sel 和 IMP,方法交换就是将 sel 和 imp 原本的对应断开,并将 sel 和新的 IMP 生成对应关系。
- sel 和 IMP 交换之前的对应关系:

- sel 和 IMP 交换之后的对应关系:
本文详细介绍了iOS中Method Swizzling的概念,通过API讲解了如何进行方法交换,列举了在处理Button重复点击、防止数组字典越界崩溃等问题上的应用,并探讨了方法交换的常见错误及其解决方案,以及在类方法上的使用技巧。
订阅专栏 解锁全文
653

被折叠的 条评论
为什么被折叠?



