题目描述:
给定一个已排序的链表的头 head , 删除所有重复的元素,使每个元素只出现一次 。返回 已排序的链表 。
示例:
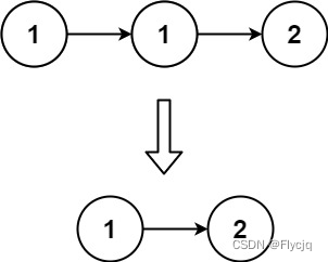
示例 1:

输入:head = [1,1,2]
输出:[1,2]
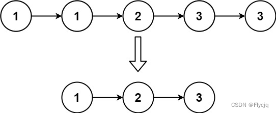
示例 2:

输入:head = [1,1,2,3,3]
输出:[1,2,3]
解答:
/**
* Definition for singly-linked list.
* public class ListNode {
* int val;
* ListNode next;
* ListNode() {}
* ListNode(int val) { this.val = val; }
* ListNode(int val, ListNode next) { this.val = val; this.next = next; }
* }
*/
class Solution {
public ListNode deleteDuplicates(ListNode head) {
if(head == null || head.next == null){
return head;
}
head.next=deleteDuplicates(head.next);
if(head.val==head.next.val)
{
head=head.next;
}
return head;
}
}
笔记:
先进行判空操作,若头节点和头节点下一个节点为空,直接返回。
若不为空,进行一递归。
进行前一节点和下一节点值val的判断,相同,改变指针位置,指向下一节点,以此类推,最后返回head
该文章提供了一个解决方案,用于删除已排序链表中的所有重复元素,确保每个元素只出现一次。方法是通过递归,先检查头节点和其后继节点,如果值相等,则移动头节点指向下一个节点,否则继续递归处理下一个节点。最后返回更新后的头节点。
1961

被折叠的 条评论
为什么被折叠?



