引言
卤化物钙钛矿太阳能电池(Perovskite Solar Cells, PSCs)代表了一类独特的光伏器件,一方面提供了优异的太阳能转换性能,另一方面表现出独特的复杂长时间尺度行为。[1,2] 前者推动了其近期的发展努力,而后者仍然是其作为成熟太阳能转换解决方案部署的主要挑战之一。
卤化物钙钛矿太阳能电池的慢光电子响应通常归因于离子缺陷的迁移,例如卤化物空位。[3,4] 因此,理解卤化物钙钛矿太阳能电池的离子特性是研究其性能与稳定性优化的重要组成部分。因此,对这些太阳能电池进行建模不仅需要精确描述器件的光学和电子特性,还需要考虑其离子特性。研究离子和耦合离子-电子响应的指南可以提供一个框架,从而量化关键参数并比较不同钙钛矿组成和器件结构的性能。
在这里,我们提出一个逐步方案,以评估钙钛矿太阳能电池的基本特性并实现光学与漂移-扩散模型(需要 Setfos 先前的知识,例如参见 Fluxim 的教程 [5])。具体来说:
- 我们基于在典型pin太阳能电池上进行的实验分析(参见参考文献 [6]),其中卤化物钙钛矿活性层夹在两个接触层之间,一个用于提取/注入空穴(HTL),另一个用于提取/注入电子(ETL)。
- 我们展示了使用 Paios仪器进行的电流-电压瞬态实验和频域光谱技术的组合。
- 我们开发了一个简单的 Setfos 器件模型,可以描述器件的主要光电子特性。
类似的程序适用于其他单结钙钛矿太阳能电池结构,并可扩展到叠层太阳能电池的评估。
1. 实验表征
图1展示了研究中的 pin 太阳能电池结构:ITO/SAM/CsFAPbI₃/C60/SnOₓ/Cu。此处用作 HTL 的 SAM 是 Me-4PACz。该太阳能电池使用Paios仪器测量,实验在室温下进行。

图 1. 研究的太阳能电池结构。每层的厚度在括号中显示(对于 SAM,厚度 1 nm 是基于分子化学结构的估计值)。
图 2 总结了测试该太阳能电池收集的实验数据。数据突出显示以下特点:
- 在暗态下进行的电流-电压(J-V)测量显示出一定的迟滞效应,正向扫描电流大于反向扫描电流(图 2a)[7]。使用预偏压进行的连续测量表明,太阳能电池响应存在长时间尺度的变化。
- 光照下的 J-V 测量仅显示小幅迟滞,并在改变预偏压和扫描方案时表现出一定性能差异(图 2b,参见附录 A)。
- 在 0.6 V 下进行的瞬态电流测量强调了太阳能电池响应在跨越几个数量级的时间尺度上变化(图 2c)。
- 在进行一系列正反向电压扫描时,瞬态电流响应中的迟滞效应也可见(图 2d)。
- 阻抗数据显示出钙钛矿太阳能电池的典型响应,包括明显的高频特征和至少一个低频特征(图 2e)。后者可与离子重新分布调制电子响应相关。分析由此得到的表观电容(图 2f)显示在低频下该量增加,这与预期的离子到电子电流放大效应一致。[8–11]
基于此数据集,下一节中我们将描述实现 Setfos 模型拟合实验的一种可能方法。

图 2. 使用 Paios 仪器测量的图 1 中 pin 太阳能电池实验数据。(a) 暗态下连续 J-V 测量,100 s 预偏压为 0 V,尝试在测量前“重置”太阳能电池初始条件(扫描速率约 50 mV/s)。(b) 光照下 J-V 测量(约 1 太阳光强等效),使用白色 LED 照明(扫描速率约 50 mV/s)。比较使用 0 V 预偏压和正反向方案与 1 V 预偏压和反正向扫描方案的测量。(c) 连续瞬态电流测量。在每次测量前,太阳能电池在 0 V保持 100 s。第一组与第二组测量之间,电池在 0 V 保持约 1500 s。(d) 长时间尺度瞬态电流,使用不同电压进行,考虑先增后减(rev)的电压扫描。(e) 暗态下不同电压的阻抗 Nyquist 图,对应于 (d) 中的电压扫描。(f) 与 (e) 阻抗数据相关的表观电容-频率曲线。
2. 钙钛矿太阳能电池 Setfos 模型应用
2.1 步骤 1:设置太阳能电池堆叠

图 3. 图 1 中太阳能电池在 Setfos 界面中的输入堆叠结构。
图 1 中的太阳能电池堆叠可以在 Setfos 的“graphical input”选项卡下的“layer structure”子标签中实现(图 3)。在堆叠中,包含了“air_top”和“air_bottom”层。ITO 和 Cu 层被定义为“电极”(分别对应电池的阴极和阳极),而其他所有层被定义为“半导体”。
2.2 步骤 2:包含各层的光学性质
为了模拟光照下的测量(例如 Paios 白色 LED 或太阳光谱),需要定义光照谱。光以默认 0° 入射角从太阳能电池堆叠顶部入射(图 3b)。每层的复折射率(或 n、k 数据)是计算光吸收分布和电子-空穴产生速率的必要参数。这些数据在文献中广泛可得,但为了准确再现器件在光照下的光电子和光谱响应,建议将测量数据用于研究的具体层。
图 4a 展示了 Setfos 界面中钙钛矿活性层的 (n, k) 数据示例。图 4b 展示了考虑图中插图光照谱(对应实验中使用的 Paios LED)进行光学模拟得到的稳态光生分布。生成曲线在前 300 nm 内迅速下降接近 0,仅有轻微干涉效应。在此,接触层的内部量子效率在一阶分析中设置为 0,其对光电流的贡献可在优化阶段加入。

图 4. (a) 钙钛矿层在 Setfos 中的 n, k 数据输入示例。(b) 使用插图中光照谱(Paios 白光 LED)对太阳能电池堆叠进行光学模拟得到的光生分布曲线。
2.3 步骤 3:电子与离子性质的初步估计
Setfos 允许用户将每层定义为电极或半导体。
对于具有欧姆注入特性的电极,所需的唯一输入参数是材料的功函数或电子注入势垒。

对于半导体层,需要定义一系列性质。这些包括电子能级,掺杂类型与浓度,介电常数,有效态密度,电子迁移率,捕获与复合特性, 以及层的离子特性(对于混合离子-电子导体相关)。

对于部分参数,可从文献中获得较好的初步估计,因为在验证材料组成、相态和结晶度正确的情况下,这些参数在不同实验室间不应有显著变化。
其他参数(上述斜体部分)通常对制备条件更敏感,其数值可能与文献数据不完全一致,即使遵循名义上相似的制备方法。因此,参考之前的工作(例如 [12–16])对许多输入参数进行初步估计是有用的。在某些情况下,文献提供了较宽的数值范围,说明需要针对研究的堆叠进行特定测量。如果无法测量,则需要初步估计,并通过实验拟合调整数值。
在本教程中,我们通过在钙钛矿活性层中包含一种可移动阳离子(代表可移动的卤化物空位),并由等密度的不可移动阴离子补偿,来建模离子特性。我们进一步假设离子被限制在钙钛矿活性层中。关于初步估计选择的更多说明见附录 B。
2.4 步骤 4:优化网格
为了将物理系统构建为数字化问题,Setfos 使用均匀间距在每层建立网格点。通过分析主体和界面层的模拟输出,可指导网格结构优化。具体来说:在解变量变化有限的区域可使用粗网格,然而在需精确描述界面层行为(如空间电荷层)的区域使用细网格。对于涉及大量可移动缺陷的混合离子-电子导体,这通常是必要的。可以通过复制、链接层并根据需要调整厚度和网格点来实现(图 5 中的“buffer layers”)。

图 5. 能级图显示:(a) 钙钛矿太阳能电池叠层的初步估计 (b) 优化后的堆叠,其中薄缓冲层用于优化钙钛矿界面的分辨率。
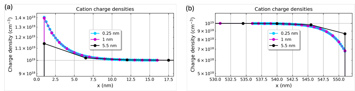
在此模型中,钙钛矿界面处的移动离子电荷密度分布(平衡态模拟)如图 6 所示。比较了三种不同缓冲层网格间距的模拟结果。数据表明:网格过粗会导致误差,而过细则不会显著提高精度,但可能增加计算时间。在图 6 示例中,1 nm 间距是满意的选择。

图 6.靠近界面(a) HTL,(b) ETL钙钛矿的可移动阳离子密度分布,使用了三种不同缓冲层网格间距进行钙钛矿太阳能电池在0V暗态模拟。
注意,在优化模型拟合实验数据时,应持续调整网格间距,因为界面层宽度依赖于多个输入参数及模拟偏压条件。
2.5 步骤 5:串联与分流电阻
太阳能电池的非理想性(如串联电阻和并联电阻)并不直接涉及器件的标称载流子物理。可以将这些参数作为器件堆叠的“外部”参数包含在 Setfos 模型中。例如,太阳能电池的串联电阻 (Rs) 和并联电阻 (Rshunt) 可以通过在高频下(用于 Rs)和低频下(用于 Rshunt)评估阻抗实部来提取。将简化等效电路模型拟合到实验数据有助于确定这些参数的准确数值(见图 7 中使用 Characterization Suite 进行的拟合)。
在此分析中,我们关注阻抗数据,但其他技术(包括时域方法)也可用于提取这些参数。图 7a 的模型展示了一个简单电路,可以再现接近平衡态的整体器件响应,其中引入了离子电阻 (Rion) 和电子电阻 (Reon),以及界面电容 (C1 和 C2) 和几何电容 (Cg)。在拟合高频和低频响应时,可进一步简化电路模型。图 7b 展示了简化模型,其中 RHF 是 Rion 与 Reon 的并联 (∥);图 7c 中 RLF = Reon。对于具有选择性接触的器件,可将较低的 Reon 值赋予分流电阻 (Reon ≈ Rshunt)。
在某些情况下,将串联电阻纳入模型可能会增加模拟时间,如果可能,在模型优化阶段评估其影响可能更方便。例如,Rs 的存在对器件慢时间尺度响应影响不大,但在评估快速时间尺度对应的瞬态或频域响应时通常必须考虑 Rs。1
1 Rs 的考虑对于再现高电流密度下的 J–V 曲线也可能至关重要。

图 7. (a) 太阳能电池堆叠示意图,强调界面空间电荷区和离子阻挡接触的一阶假设,以及描述暗态下接近平衡态电学响应的等效电路模型(适用于低电子载流子浓度和低导电率)。(b–c) 对暗态 0 V 阻抗谱进行拟合的简化等效电路模型,用于提取研究器件的串联和并联电阻。由于钙钛矿电子导电率在暗态下很低,Reon 值可归因于并联电阻 Rshunt。在 (b) 中,1 MHz–10 MHz 范围的数据在拟合中被忽略。
这些数值以及器件有效面积和其他相关电参数可以包含在 Setfos 的“Electrical circuit”选项中,如图 8 所示。

图 8.在 Setfos 的Drift-diffusion settings -> General 标签下的electrical circuit选项中,将实验规格中的器件面积以及通过拟合阻抗数据获得的串联和并联电阻包含在模型中。
2.6 步骤 6:平衡态下的介电与离子响应
在平衡态下研究太阳能电池的阻抗和电容-频率 (C-f) 响应也是确定器件部分介电和离子特性的有用的出发点。[7,13]
图 9显示了实验 C–f 数据以及通过改变移动离子密度 Nion、离子迁移率 μion 和钙钛矿介电常数 εperov 进行的模拟。注意,改变 Nion 时,为保持全局电荷中性,不可移动抗衡离子的密度会相应调整。
从图 9 的趋势中可以看出:
- Nion 影响低频下的电容平台值,因为它决定了钙钛矿中的屏蔽长度。Nion 较大时,此电容趋于饱和,因其受接触层电容限制。
- Nion 与 μion 都会影响器件电容在向高频移动时下降的转变频率。此频率与堆叠中空间电荷极化的时间常数相关,可定义为离子电阻(与钙钛矿离子导电率成反比,因此与 Nion 和 μion 相关)与界面电容的乘积 (对Nion敏感,见上文)。 [13]
- εperov 影响高频电容,即钙钛矿层内没有显著离子重新分布的区域。其他层的介电常数在拟合中也很重要(在图 1 结构中,C60 层尤为关键,因其 ε 值低,即使厚度仅 20 nm)。通过系统地分析具有层厚变化的一组器件,可以进一步验证介电常数值。
通过扫描这三个参数,可获得较好的拟合,能够再现实验阻抗响应(电容-频率分析或 Nyquist 图,见图 10)。在附录 C 中我们讨论了模拟中实验低频电容略微低估的情况。

图 9. 电容–频率图,展示了不同介电和离子参数对模型在接近平衡态输出响应的影响。(a) 离子密度影响低频电容及空间电荷极化时间常数(不可移动阴离子与可移动阳离子同时变化)。(b) 改变钙钛矿静态介电常数可拟合高频几何电容。(c) 改变钙钛矿离子迁移率影响离子重新分布时间常数,但不改变低频和高频电容幅值。

图 10. 拟合模型再现太阳能电池的离子和介电响应:暗态 0 V (a) 电容-频率响应,(b)阻抗 Nyquist 图。模型参数:可移动离子浓度 10¹⁹ cm⁻³,离子迁移率 4×10⁻¹⁰ cm² V⁻¹ s⁻¹,钙钛矿相对介电常数 45。
2.7 步骤 7:暗态与光照下的电子性质
评估太阳能电池性能,即器件“光伏质量”时,光照下的 J-V 特性可能是对一个科学家来说最有用的信息,但对于实现准确的漂移-扩散模型,可能不是最方便的起点。图 11 比较了使用迄今建立的模型模拟的 J-V 与 Paios 仪器收集的实验数据。因我们评估稳态 J-V,模拟应与慢扫描率实验数据比较。图11中数据使用 50 mV/s 收集,该速率对本器件架构和测量条件可接受(附录 A 显示使用更低扫描率时 太阳能电池J-V 微小变化)。考虑到本案例太阳能电池质量良好,假设短路收集效率接近 100%,因此模拟中的强度缩放调整为匹配实验短路电流。一般而言,还需对光谱和照度进行精确测量,以包含模型中可能的短路损失。
图 11. (a)使用模型模拟稳态 j–V 曲线,该模型采用前一步拟合得到的离子和介电参数,但电子参数仍为初始估计。模拟与实验数据在开路电压 (VOC) 上存在明显差异,提示模型中的复合参数需调整。但单独考虑该测量,尚不清楚哪种复合机制导致 VOC 降低。(b) 通过将主体电子与空穴捕获寿命从 1 µs 降至 200 ns,可获得合理的 J-V 拟合。同时,通过保持主体复合参数不变并在 Setfos 中引入界面复合项(SAM/钙钛矿接口或钙钛矿/C60 接口,使用适当表面复合速度 SRV)也可得到类似合理的拟合。这说明在拟合模型时考虑多种测量技术的重要性。[2]

图 11. (a) 使用白光 LED 照明的模拟和所有电子参数初始估计的稳态 j–V 曲线模拟结果,并与实验数据进行比较。(b) 通过增加主体复合速率,或 SAM/钙钛矿界面复合速率,或钙钛矿/C60 界面复合速率,可获得模型对数据的改进拟合。
为了进一步理解器件主要损失来源,我们还包括暗态下的 J-V 测量和阻抗谱测量,利用 Setfos 探索不同器件参数对响应的显著影响。
图 12 显示了用于再现光照下实验 J-V (图11)的模拟电压依赖阻抗。尽管三种模型产生类似的 J-V 曲线,但阻抗谱差异明显。最显著的观察是:SAM/钙钛矿界面主导复合导致的阻抗值可关联到表观负电容(图 12b中电感回路,解释在[11]中)。这表明该模型可能不代表实验中观察到的器件行为,因此排除 SAM 界面显著复合。相反,主体主导复合和钙钛矿/C60 界面主导复合显示电压依赖低频特征,与实验结果定性一致,因此重点关注这两种机制。

图 12. 三种模型的 模拟Nyquist 阻抗图,这些模型与图11中所用模型相同:(a) 主体主导复合(b) SAM/钙钛矿界面主导复合(c) 钙钛矿/C60 界面主导复合。
从暗态 J-V 测量中可以进一步获得更多信息。在此测量中,电流密度对电压的依赖关系可进一步优化与复合损失机制直接相关的参数拟合,以及其他对该测量敏感的器件参数。
在图 13中,我们展示了ITO 功函数与 C60 的 LUMO 能级的参数扫描结果,对应于两种与实验阻抗响应一致的模型:钙钛矿/C60 界面主导复合 (图13a, b) 与主体主导复合 (图13c, d)。

图 13. 暗态下的 j–V 曲线,展示了在模拟中分别考虑主要复合发生于 (a, b) 主体内,或 (c, d) 钙钛矿/C60 界面的结果。在 (a) 和 (c) 所示的模拟中,改变了 ITO 的功函数;而在 (b) 和 (d) 所示的模拟中,改变了 C60 的 LUMO 能级。通过与实验数据的比较,该分析表明主要复合发生在钙钛矿/C60 界面,并得出了合适的输入参数值:φWF, ITO = 4.9 eV,LUMO-C60= 4.1 eV。
该分析使我们能够:(i) 改进对电极和接触层能级的拟合;(ii) 比较不同模拟复合机制的电压依赖性与整体实验器件电流的电压依赖性。基于获得最佳拟合的参数集,我们推断钙钛矿/C60 界面的复合很可能是所测器件中的主要损耗机制。虽然主体复合仍可能具有一定影响,但在这些器件中似乎并非主导机制。
图 14 展示了所建立模型对实验所得的暗态与光照条件下电流–电压特性,以及测得的电压依赖表观电容–频率数据的拟合结果的整体总结。对于 J–V 数据,所示为按照实验中相同的预偏压与电压扫描程序进行的完整瞬态模拟。尽管该分析受到器件特性在较长时间尺度上变化的限制(例如图 14a 中偏压后的暗态j–V 变化,以及图 14c 中测得阻抗数据的部分可逆行为),但该模型仍可作为进一步探索器件性能优化与退化研究相关特性的有用起点。

图 14. 来自上述拟合过程的结果,比较了实验数据与模拟数据:(a) 暗态下的瞬态 j–V,(b) 光照下的瞬态 j–V,(c) 来自阻抗测量和模拟的电压依赖表观电容数据。
2.8 步骤8: 优化模型
上述步骤可以帮助建立一个基线模型,该模型已经再现了器件大部分的光电子响应。
也可以采用其他方法,即使用通过其他时间域或频率域技术收集的数据进行拟合。
扩展拟合中使用的技术范围可以确保模型不仅仅是一个“局部最优解”,而是能够准确表示所研究太阳能电池的关键特性。
进一步的拟合分析还可以帮助优化那些上述技术对其敏感性有限的参数值。例如,图 14 显示了光照下电流–电压曲线的填充因子以及其迟滞特性存在一些不准确之处。
上述提到的对阻抗测量有影响的长时间尺度行为,目前模型尚未考虑。最后,关于上述模型的其他要点,包括进一步实验以验证我们简化分析的内容,见附录 C。
结论
本教程展示了应用 Setfos 模型以再现单结 pin 钙钛矿太阳能电池实验数据的可能步骤。通过考虑 Paios 仪器收集的 J-V 测量和阻抗数据,描述了获得太阳能电池数字孪生的关键步骤,并讨论了进一步优化和扩展模型的策略。
参考文献
[1] M. M. Lee, J. Teuscher, T. Miyasaka, T. N. Murakami, and H. J. Snaith, Efficient Hybrid Solar Cells Based on Meso-Superstructured Organometal Halide Perovskites, Science 338, 643 (2012).
[2] M. T. Neukom et al., Consistent Device Simulation Model Describing Perovskite Solar Cells in Steady-State, Transient, and Frequency Domain, ACS Appl. Mater. Interfaces 11, 23320 (2019).
[3] T. Yang, G. Gregori, N. Pellet, M. Grätzel, and J. Maier, The Significance of Ion Conduction in a Hybrid Organic–Inorganic Lead‐Iodide‐Based Perovskite Photosensitizer, Angewandte Chemie 127, 8016 (2015).
[4] D. Moia and J. Maier, Ion Transport, Defect Chemistry, and the Device Physics of Hybrid Perovskite Solar Cells, ACS Energy Lett. 6, 1566 (2021).
[5] U. Aeberhard, Perovskite Solar Cell Simulation Tutorial with Setfos – Step-by-Step with Dr. Urs Aeberhard, https://www.youtube.com/watch?v=5FJ3pwY4KI0.
[6] M. Othman et al., Alleviating nanostructural phase impurities enhances the optoelectronic properties, device performance and stability of cesium-formamidinium metal–halide perovskites, Energy Environ. Sci. 17, 3832 (2024).
[7] O. Almora, I. Zarazua, E. Mas-Marza, I. Mora-Sero, J. Bisquert, and G. Garcia-Belmonte, Capacitive Dark Currents, Hysteresis, and Electrode Polarization in Lead Halide Perovskite Solar Cells, J. Phys. Chem. Lett. 6, 1645 (2015).
[8] A. Pockett, G. E. Eperon, N. Sakai, H. J. Snaith, L. M. Peter, and P. J. Cameron, Microseconds, milliseconds and seconds: deconvoluting the dynamic behaviour of planar perovskite solar cells, Phys. Chem. Chem. Phys. 19, 5959 (2017).
[9] D. A. Jacobs, H. Shen, F. Pfeffer, J. Peng, T. P. White, F. J. Beck, and K. R. Catchpole, The two faces of capacitance: New interpretations for electrical impedance measurements of perovskite solar cells and their relation to hysteresis, Journal of Applied Physics 124, 225702 (2018).
[10] D. Moia et al., Ionic-to-electronic current amplification in hybrid perovskite solar cells: ionically gated transistor-interface circuit model explains hysteresis and impedance of mixed conducting devices, Energy Environ. Sci. 12, 1296 (2019).
[11] D. Moia, Equivalent-circuit modeling of electron-hole recombination in semiconductors and mixed ionic-electronic conductors, Phys. Rev. Applied 23, 014055 (2025).
[12] J. Hidalgo, J. Breternitz, D. M. Többens, D. K. LaFollette, C. N. B. Pedorella, M.-J. Sher, S. Schorr, and J.-P. Correa-Baena, Br-Induced Suppression of Low-Temperature Phase Transitions in Mixed-Cation Mixed-Halide Perovskites, Chem. Mater. 36, 10167 (2024).
[13] D. Moia, M. Jung, Y.-R. Wang, and J. Maier, Ionic and electronic polarization effects in horizontal hybrid perovskite device structures close to equilibrium, Phys. Chem. Chem. Phys. 25, 13335 (2023).
[14] H. M. Pham, S. D. H. Naqvi, H. Tran, H. V. Tran, J. Delda, S. Hong, I. Jeong, J. Gwak, and S. Ahn, Effects of the Electrical Properties of SnO2 and C60 on the Carrier Transport Characteristics of p-i-n-Structured Semitransparent Perovskite Solar Cells, Nanomaterials 13, 3091 (2023).
[15] D. Turkay et al., Synergetic substrate and additive engineering for over 30%-efficient perovskite-Si tandem solar cells, Joule 8, 1735 (2024).
[16] A. Al-Ashouri et al., Monolithic perovskite/silicon tandem solar cell with >29% efficiency by enhanced hole extraction, Science 370, 1300 (2020).
附录 A. 钙钛矿太阳能电池长期行为表征的说明
在测试新的器件结构,尤其是其长时间尺度行为时,必须对以下问题有一个总体了解:
- 器件特性是否存在可逆变化,但其发生的时间尺度与测量时间相当或更长?如果存在:
- 将适当且一致的预处理步骤设计为表征程序的必要部分,可以保证测量的可重复性。
- 在实际操作中,如果这种可逆过程发生在非常长的时间尺度上,仍然可能具有挑战性。
图 15 显示了一项预偏压研究,用于评估本文主要研究中电池的预偏压电压和时间的影响。数据强调了器件表观性能对预偏压电压的敏感性,以及获得可重复结果所需的最小预偏压时间。

图15. 预偏压时间与电压对光照下 j–V 测量的影响。在每个面板中,设定并施加一种预偏压条件和 j–V 测量方案,对器件连续测量三次。(a–d) 在 0 V 下预偏压;(e–h) 在 1 V 下预偏压。
- 是否存在与每次测量持续时间相当的时间尺度上发生的不可逆退化?如果存在:
- 那么在“离子时间尺度”上对器件进行完整且可靠的表征可能不可行。
- 可以通过重复快速测量来监测退化过程。
在正文讨论的案例研究中,通过在整个测量过程中间歇性地施加参考测量,可以帮助确定器件的退化程度,并识别可能导致此类退化的应力条件。例如,在 j–V 表征前后、接近平衡状态下分别进行的电容–频率响应测试显示变化可以忽略不计(见图16)。然而,这种策略可能对某些不可逆变化不够敏感,例如影响电子及耦合的离子–电子响应的变化。

图16. 在三次连续电流–电压测量组之间,于暗态下 0 V 进行的阻抗测量(器件结构与正文中所述相同)。(a) 阻抗的 Nyquist 图;(b) 电容–频率图。
最后,对于本研究中测试的太阳能电池,在 5—500 mV/s 扫描速率范围内仅观察到轻微的扫描速率依赖性(见图17)。这与电容–频率图中太阳能电池离子响应所对应的相对较高特征频率一致。如果在 J–V 与扫描速率的关系中观察到明显变化,应将稳态 J–V 的模拟结果与采用足够低扫描速率的实测结果进行比较。或者,在调整和拟合 Setfos 模型时,可以重点拟合模拟的瞬态 J–V,从而分析完整的扫描速率依赖关系。

图17. 在光照条件下(约 1 个太阳光强等效),经过 100 s、1.2 V 预偏压步骤后进行的扫描速率依赖 J–V 测量(反向–正向测量方案)。
附录 B. 漂移–扩散模型初始参数细节
在实现完整的 Setfos 模型时,可能无法获得所有所需参数。在本研究中,基于材料性质的一般指导原则:
- 当文献中没有给出数据时,分别采用代表性有效态密度值:有机半导体约 10²¹ cm⁻³、氧化物半导体约 10²⁰ cm⁻³、卤化物钙钛矿约 10¹⁹ cm⁻³。
- 对于无机和有机半导体,分别探索电子迁移率范围约为 10⁻¹—10² cm²·V⁻¹·s⁻¹ 和 10⁻⁴—10⁰ cm²·V⁻¹·s⁻¹。其他因素如掺杂和陷阱在决定接触层与活性层的电荷传输质量中亦起重要作用。
- 对于自组装单分子层(SAM),其分子性质可能无法以传统半导体模型表示。在此,我们考虑具有代表性厚度与能级的一层,并假设较大的空穴迁移率,用以描述层内的“准分子内”电荷传输。由于 Setfos 目前不支持隧穿效应,SAM 的 HOMO 能级会调至允许器件中高效注入和抽取的值;该参数也可进一步调整以重现电学特性(实测 HOMO 值约为 4.8 eV [16])。
- 由于不同层可能对太阳能电池的光电流均有贡献,复合参数的初始猜测应据此设置。对于本文研究的钙钛矿太阳能电池,提取的电流主要来源于卤化物钙钛矿活性层中的光生载流子产生与提取。初始时,可对接触层设置较快的复合速率,例如采用捕获寿命在纳秒级的 Shockley–Read–Hall 复合。
附录 C. 进一步的模型验证
本文所述的拟合模型可通过分析其在不同器件结构中的适用性来进一步验证。例如,这里我们考察模型在预测器件结构变化后响应方面的能力。图18中,模型拟合了具有与图1相似结构、但 C₆₀ 层更厚的太阳能电池的实验数据。结果表明,模型与实验吻合良好,无需调整任何参数。此外,这一结果也验证了模型中采用未掺杂 C₆₀ 层的合理性。若在该层中引入施主掺杂,会导致形成狭窄的空间电荷区并增加低频电容,可能提高对暗态 0 V 下 C–f 数据(图10)的拟合质量。实验上观察到的低频电容与 C₆₀ 层厚度的倒数成正比,这不仅确认了该层在很大程度上限制了电容值,也排除了狭窄空间电荷区的存在,因为后者的电容将基本独立于层厚。其他可能与实验中观察到的大低频电容一致的假设包括:离子缺陷浓度更高、这些缺陷与传输层相互作用(例如碘离子渗入 C₆₀ 层)、以及第二种可迁移离子缺陷对太阳能电池离子响应的贡献。

图18. 对比实验与模拟数据:器件结构与图1相同,但 C₆₀ 层厚度为 60 nm。(a) 暗态下的 j–V 曲线;(b) 暗态 0 V 下的电容–频率图;(c) 光照下的 j–V 曲线;(d) 电压依赖的表观电容。
12

被折叠的 条评论
为什么被折叠?



