目录
通信信号处理的过程中大多使用的都是复值信号,但是我们应该清楚,复值信号在自然界中是不存在的,那么在理论中的复数信号是如何通过现实中的通信系统发送和接收的呢?答案就是 IQ 调制啦
1、IQ 调制过程
首先,对于一个复数信号 a+bj 来说,其总可以写成
的形式,因此对于任意一个复数的实部与虚部来说总是正交的。进而,假设我们要发送的基带信号中的一个码元为 a+bj ,则在 IQ 调制过程中,a 作为同相分量 I,b 做为正交分量 Q。首先对码元进行上变频的结果下式所示。

我们对上变频之后的信号取实部即得到 IQ 调制后的信号,如式(2)。

可以看出,IQ 调制后的信号是实数信号,最后通过数模转换将其发送出去。有关 IQ 调制的框图如图1所示。

2、IQ 调制原理
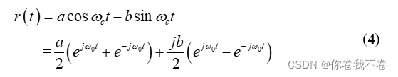
对于接收机来说,其接收到的信号为:

其可以写成如下形式:

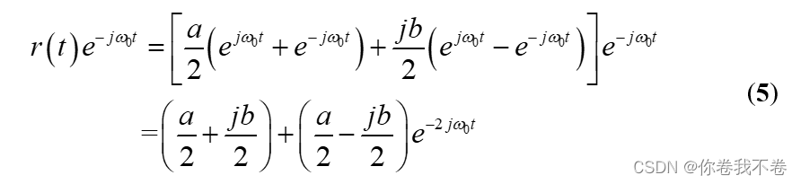
我们将 (4) 式乘以
进行下变频,得:

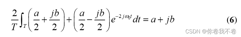
接着通过积分器或者低通滤波即可得到原始信号 a+jb:

不得不感慨复数真是神奇~
3、IQ 调制解调系统框图

本文详细介绍了IQ调制的过程和原理,包括将复数信号转化为实数信号的上变频方法,以及接收端的下变频和信号恢复。IQ调制通过将信号的实部和虚部分别作为同相和正交分量进行调制,实现了复数信号在实际通信系统中的应用。解调过程通过下变频和低通滤波还原原始信号。复数信号的神奇之处在于它能有效地表示和处理通信信号。
2万+





