简介
G1(Garbage First)垃圾收集器是当今垃圾回收技术最前沿的成果之一。早在JDK7就已加入JVM的收集器大家庭中,成为HotSpot重点发展的垃圾回收技术。同优秀的CMS垃圾回收器一样,G1也是关注最小时延的垃圾回收器,也同样适合大尺寸堆内存的垃圾收集,官方也推荐使用G1来代替选择CMS。G1最大的特点是引入分区的思路,弱化了分代的概念,合理利用垃圾收集各个周期的资源,解决了其他收集器甚至CMS的众多缺陷。
内存模型
G1与其他垃圾收集器不同之处在于,heap被划分为一系列大小相等的“小堆区”,也称为region。每个小堆区(region)的大小为1~32MB,整个堆默认划分出2048个小堆区。与上一代的垃圾收集器一样在逻辑上被划分Eden、Survivor和老年代,但是各种角色的region个数都不是固定的。下图中的绿色代表Eden小堆区、黄色为Survivor小堆区、蓝色则为老年代小堆区、而灰色则会未被使用的区域。

在G1中,还有一种特殊的区域,叫Humongous区域。 如果一个对象占用的空间超过了分区容量50%以上,G1收集器就认为这是一个巨型对象。这些巨型对象,默认直接会被分配在年老代,但是如果它是一个短期存在的巨型对象,就会对垃圾收集器造成负面影响。为了解决这个问题,G1划分了一个Humongous区,它用来专门存放巨型对象。如果一个H区装不下一个巨型对象,那么G1会寻找连续的H分区来存储。为了能找到连续的H区,有时候不得不启动Full GC。
PS:在java 8中,持久代也移动到了普通的堆内存空间中,改为元空间。
对象分配策略
说起大对象的分配,我们不得不谈谈对象的分配策略。它分为3个阶段:
TLAB(Thread Local Allocation Buffer)线程本地分配缓冲区
Eden区中分配
Humongous区分配
TLAB为线程本地分配缓冲区,它的目的为了使对象尽可能快的分配出来。如果对象在一个共享的空间中分配,我们需要采用一些同步机制来管理这些空间内的空闲空间指针。在Eden空间中,每一个线程都有一个固定的分区用于分配对象,即一个TLAB。分配对象时,线程之间不再需要进行任何的同步。
对TLAB空间中无法分配的对象,JVM会尝试在Eden空间中进行分配。如果Eden空间无法容纳该对象,就只能在老年代中进行分配空间。
最后,G1提供了两种GC模式,Young GC和Mixed GC,两种都是Stop The World(STW)的。下面我们将分别介绍一下这2种模式。
G1 Young GC
Young GC主要是对Eden区进行GC,它在Eden空间耗尽时会被触发。在这种情况下,Eden空间的数据移动到Survivor空间中,如果Survivor空间不够,Eden空间的部分数据会直接晋升到年老代空间。Survivor区的数据移动到新的Survivor区中,也有部分数据晋升到老年代空间中。最终Eden空间的数据为空,GC停止工作,应用线程继续执行。


这时,我们需要考虑一个问题,如果仅仅GC 新生代对象,我们如何找到所有的根对象呢? 老年代的所有对象都是根么?那这样扫描下来会耗费大量的时间。于是,G1引进了RSet的概念。它的全称是Remembered Set,作用是跟踪指向某个heap区内的对象引用。

在CMS中,也有RSet的概念,在老年代中有一块区域用来记录指向新生代的引用。这是一种point-out,在进行Young GC时,扫描根时,仅仅需要扫描这一块区域,而不需要扫描整个老年代。
但在G1中,并没有使用point-out,这是由于一个分区太小,分区数量太多,如果是用point-out的话,会造成大量的扫描浪费,有些根本不需要GC的分区引用也扫描了。于是G1中使用point-in来解决。point-in的意思是哪些分区引用了当前分区中的对象。这样,仅仅将这些对象当做根来扫描就避免了无效的扫描。由于新生代有多个,那么我们需要在新生代之间记录引用吗?这是不必要的,原因在于每次GC时,所有新生代都会被扫描,所以只需要记录老年代到新生代之间的引用即可。
需要注意的是,如果引用的对象很多,赋值器需要对每个引用做处理,赋值器开销会很大,为了解决赋值器开销这个问题,在G1 中又引入了另外一个概念,卡表(Card Table)。一个Card Table将一个分区在逻辑上划分为固定大小的连续区域,每个区域称之为卡。卡通常较小,介于128到512字节之间。Card Table通常为字节数组,由Card的索引(即数组下标)来标识每个分区的空间地址。默认情况下,每个卡都未被引用。当一个地址空间被引用时,这个地址空间对应的数组索引的值被标记为”0″,即标记为脏被引用,此外RSet也将这个数组下标记录下来。一般情况下,这个RSet其实是一个Hash Table,Key是别的Region的起始地址,Value是一个集合,里面的元素是Card Table的Index。
Young GC 阶段:
阶段1:根扫描
静态和本地对象被扫描
阶段2:更新RS
处理dirty card队列更新RS
阶段3:处理RS
检测从年轻代指向年老代的对象
阶段4:对象拷贝
拷贝存活的对象到survivor/old区域
阶段5:处理引用队列
软引用,弱引用,虚引用处理
G1 Mix GC
当整个堆大小在jvm堆栈空间中占比达到IHOP阈值-
XX:InitiatingHeapOccupancyPercent(默认45%)时,G1就会启动一次混合垃圾收集周期。Mix GC不仅进行正常的新生代垃圾收集,同时也回收部分后台扫描线程标记的老年代分区。
它的GC步骤分2步:
全局并发标记(global concurrent marking)
拷贝存活对象(evacuation)
在进行Mix GC之前,会先进行global concurrent marking(全局并发标记)。 global concurrent marking的执行过程是怎样的呢?
在G1 GC中,它主要是为Mixed GC提供标记服务的,并不是一次GC过程的一个必须环节。global concurrent marking的执行过程分为五个步骤:
初始标记(initial mark,STW)
初始标记(Initial Mark)负责标记所有能被直接可达的根对象(原生栈对象、全局对象、JNI对象),根是对象图的起点,因此初始标记需要将Mutator线程(Java应用线程)暂停掉,也就是需要一个STW的时间段。事实上,当达到IHOP阈值时,G1并不会立即发起并发标记周期,而是等待下一次年轻代收集,利用年轻代收集的STW时间段,完成初始标记,这种方式称为借道(Piggybacking)。在初始标记暂停中,分区的NTAMS都被设置到分区顶部Top,初始标记是并发执行,直到所有的分区处理完。
根区域扫描(root region scan)
在初始标记暂停结束后,年轻代收集也完成的对象复制到Survivor的工作,应用线程开始活跃起来。此时为了保证标记算法的正确性,所有新复制到Survivor分区的对象,都需要被扫描并标记成根,这个过程称为根分区扫描(Root Region Scanning),同时扫描的Suvivor分区也被称为根分区(Root Region)。根分区扫描必须在下一次年轻代垃圾收集启动前完成(并发标记的过程中,可能会被若干次年轻代垃圾收集打断),因为每次GC会产生新的存活对象集合。
并发标记(Concurrent Marking)
和应用线程并发执行,并发标记线程在并发标记阶段启动,由参数-XX:ConcGCThreads(默认GC线程数的1/4,即-XX:ParallelGCThreads/4)控制启动数量,每个线程每次只扫描一个分区,从而标记出存活对象图。在这一阶段会处理Previous/Next标记位图,扫描标记对象的引用字段。同时,并发标记线程还会定期检查和处理STAB全局缓冲区列表的记录,更新对象引用信息。参数-XX:+
ClassUnloadingWithConcurrentMark会开启一个优化,如果一个类不可达(不是对象不可达),则在重新标记阶段,这个类就会被直接卸载。所有的标记任务必须在堆满前就完成扫描,如果并发标记耗时很长,那么有可能在并发标记过程中,又经历了几次年轻代收集。如果堆满前没有完成标记任务,则会触发担保机制,经历一次长时间的串行Full GC。
最终标记(Remark,STW)
重新标记(Remark)是最后一个标记阶段。在该阶段中,G1需要一个暂停的时间,去处理剩下的SATB日志缓冲区和所有更新,找出所有未被访问的存活对象,同时安全完成存活数据计算。这个阶段也是并行执行的,通过参数-XX:ParallelGCThread可设置GC暂停时可用的GC线程数。同时,引用处理也是重新标记阶段的一部分,所有重度使用引用对象(弱引用、软引用、虚引用、最终引用)的应用都会在引用处理上产生开销。
清除垃圾(Cleanup,STW)
紧挨着重新标记阶段的清除(Clean)阶段也是STW的。Previous/Next标记位图、以及PTAMS/NTAMS,都会在清除阶段交换角色。清除阶段主要执行以下操作:
RSet梳理,启发式算法会根据活跃度和RSet尺寸对分区定义不同等级,同时RSet数理也有助于发现无用的引用。参数-XX:+PrintAdaptiveSizePolicy可以开启打印启发式算法决策细节;
整理堆分区,为混合收集周期识别回收收益高(基于释放空间和暂停目标)的老年代分区集合;
识别所有空闲分区,即发现无存活对象的分区。该分区可在清除阶段直接回收,无需等待下次收集周期。
三色标记算法
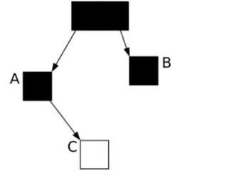
提到并发标记,我们不得不了解并发标记的三色标记算法。它是描述追踪式回收器的一种有用的方法,利用它可以推演回收器的正确性。 首先,我们将对象分成三种类型的。
黑色:根对象,或者该对象与它的子对象都被扫描
灰色:对象本身被扫描,但还没扫描完该对象中的子对象
白色:未被扫描对象,扫描完成所有对象之后,最终为白色的为不可达对象,即垃圾对象
当GC开始扫描对象时,按照如下图步骤进行对象的扫描:
根对象被置为黑色,子对象被置为灰色。

继续由灰色遍历,将已扫描了子对象的对象置为黑色。

遍历了所有可达的对象后,所有可达的对象都变成了黑色。不可达的对象即为白色,需要被清理。

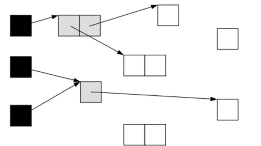
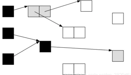
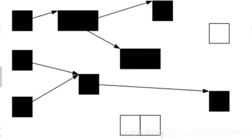
这看起来很美好,但是如果在标记过程中,应用程序也在运行,那么对象的指针就有可能改变。这样的话,我们就会遇到一个问题:对象丢失问题
我们看下面一种情况,当垃圾收集器扫描到下面情况时:

这时候应用程序执行了以下操作:
A.c=C
B.c=null
这样,对象的状态图变成如下情形:

这时候垃圾收集器再标记扫描的时候就会下图成这样:

很显然,此时C是白色,被认为是垃圾需要清理掉,显然这是不合理的。那么我们如何保证应用程序在运行的时候,GC标记的对象不丢失呢?有如下2中可行的方式:
在插入的时候记录对象
在删除的时候记录对象
刚好这对应CMS和G1的2种不同实现方式:
在CMS采用的是增量更新(Incremental update),只要在写屏障(write barrier)里发现要有一个白对象的引用被赋值到一个黑对象 的字段里,那就把这个白对象变成灰色的。即插入的时候记录下来。
在G1中,使用的是STAB(snapshot-at-the-beginning)的方式,删除的时候记录所有的对象,它有3个步骤:
1,在开始标记的时候生成一个快照图标记存活对象
2,在并发标记的时候所有被改变的对象入队(在write barrier里把所有旧的引用所指向的对象都变成非白的)
3,可能存在游离的垃圾,将在下次被收集
这样,G1到现在可以知道哪些老的分区可回收垃圾最多。 当全局并发标记完成后,在某个时刻,就开始了Mix GC。这些垃圾回收被称作“混合式”是因为他们不仅仅进行正常的新生代垃圾收集,同时也回收部分后台扫描线程标记的分区。
RSet
跨代引用:堆空间通常被划分为新生代和老年代。由于新生代的垃圾收集通常很频繁,如果老年代对象引用了新生代的对象,那么回收新生代的话,需要扫描所有从老年代到新生代的所有引用,所以要避免每次YGC时扫描整个老年代,减少开销。
记忆集(RSet,Remembered Set):用来记录从其他Region中的对象到本Region的引用,是一种抽象的数据结构。每一个Region都设有一个RSet,有了这个数据结构,在回收某个Region的时候,就不必对整个堆内存的对象进行扫描了,它使得部分收集成为了可能。
由于不能整堆扫描,又需要计算分区确切的活跃度,因此,G1需要一个增量式的完全标记并发算法,通过维护RSet,得到准确的分区引用信息。在G1中,RSet的维护主要来源两个方面:写栅栏(Write Barrier)和并发优化线程(Concurrence Refinement Threads)
栅栏

栅栏 Barrier
我们首先介绍一下栅栏(Barrier)的概念。栅栏是指在原生代码片段中,当某些语句被执行时,栅栏代码也会被执行。而G1主要在赋值语句中,使用写前栅栏(Pre-Write Barrrier)和写后栅栏(Post-Write Barrrier)。事实上,写栅栏的指令序列开销非常昂贵,应用吞吐量也会根据栅栏复杂度而降低。
写前栅栏 Pre-Write Barrrier
即将执行一段赋值语句时,等式左侧对象将修改引用到另一个对象,那么等式左侧对象原先引用的对象所在分区将因此丧失一个引用,那么JVM就需要在赋值语句生效之前,记录丧失引用的对象。JVM并不会立即维护RSet,而是通过批量处理,在将来RSet更新(见SATB)。
写后栅栏 Post-Write Barrrier
当执行一段赋值语句后,等式右侧对象获取了左侧对象的引用,那么等式右侧对象所在分区的RSet也应该得到更新。同样为了降低开销,写后栅栏发生后,RSet也不会立即更新,同样只是记录此次更新日志,在将来批量处理
起始快照算法
起始快照算法 Snapshot at the beginning (SATB)
Taiichi Tuasa贡献的增量式完全并发标记算法起始快照算法(SATB),主要针对标记-清除垃圾收集器的并发标记阶段,非常适合G1的分区块的堆结构,同时解决了CMS的主要烦恼:重新标记暂停时间长带来的潜在风险。
SATB会创建一个对象图,相当于堆的逻辑快照,从而确保并发标记阶段所有的垃圾对象都能通过快照被鉴别出来。当赋值语句发生时,应用将会改变了它的对象图,那么JVM需要记录被覆盖的对象。因此写前栅栏会在引用变更前,将值记录在SATB日志或缓冲区中。每个线程都会独占一个SATB缓冲区,初始有256条记录空间。当空间用尽时,线程会分配新的SATB缓冲区继续使用,而原有的缓冲区则加入全局列表中。最终在并发标记阶段,并发标记线程(Concurrent Marking Threads)在标记的同时,还会定期检查和处理全局缓冲区列表的记录,然后根据标记位图分片的标记位,扫描引用字段来更新RSet。此过程又称为并发标记SATB写前栅栏。
并发优化线程
并发优化线程 Concurrence Refinement Threads
G1中使用基于Urs Hölzle的快速写栅栏,将栅栏开销缩减到2个额外的指令。栅栏将会更新一个card table type的结构来跟踪代间引用。
当赋值语句发生后,写后栅栏会先通过G1的过滤技术判断是否是跨分区的引用更新,并将跨分区更新对象的卡片加入缓冲区序列,即更新日志缓冲区或脏卡片队列。与SATB类似,一旦日志缓冲区用尽,则分配一个新的日志缓冲区,并将原来的缓冲区加入全局列表中。
并发优化线程(Concurrence Refinement Threads),只专注扫描日志缓冲区记录的卡片来维护更新RSet,线程最大数目可通过
-XX:G1ConcRefinementThreads(默认等于-XX:ParellelGCThreads)设置。并发优化线程永远是活跃的,一旦发现全局列表有记录存在,就开始并发处理。如果记录增长很快或者来不及处理,那么通过阈值-X:G1ConcRefinementGreenZone/-XX:G1ConcRefinementYellowZone/-XX:G1ConcRefinementRedZone,G1会用分层的方式调度,使更多的线程处理全局列表。如果并发优化线程也不能跟上缓冲区数量,则Mutator线程(Java应用线程)会挂起应用并被加进来帮助处理,直到全部处理完。因此,必须避免此类场景出现。
收集集合 CSet
收集集合(CSet)代表每次GC暂停时回收的一系列目标分区。在任意一次收集暂停中,CSet所有分区都会被释放,内部存活的对象都会被转移到分配的空闲分区中。因此无论是年轻代收集,还是混合收集,工作的机制都是一致的。年轻代收集CSet只容纳年轻代分区,而混合收集会通过启发式算法,在老年代候选回收分区中,筛选出回收收益最高的分区添加到CSet中。
候选老年代分区的CSet准入条件,可以通过活跃度阈值
-XX:G1MixedGCLiveThresholdPercent(默认85%)进行设置,从而拦截那些回收开销巨大的对象;同时,每次混合收集可以包含候选老年代分区,可根据CSet对堆的总大小占比-XX:G1OldCSetRegionThresholdPercent(默认10%)设置数量上限。
触发Full GC
在某些情况下,G1触发了Full GC,这时G1会退化使用Serial收集器来完成垃圾的清理工作,它仅仅使用单线程来完成GC工作,GC暂停时间将达到秒级别的。整个应用处于假死状态,不能处理任何请求,我们的程序当然不希望看到这些。那么发生Full GC的情况有哪些呢?
并发模式失败
G1启动标记周期,但在Mix GC之前,老年代就被填满,这时候G1会放弃标记周期。这种情形下,需要增加堆大小,或者调整周期(例如增加线程数-XX:ConcGCThreads等)。
晋升失败或者疏散失败
G1在进行GC的时候没有足够的内存供存活对象或晋升对象使用,由此触发了Full GC。可以在日志中看到(to-space exhausted)或者(to-space overflow)。解决这种问题的方式是:
a,增加 -XX:G1ReservePercent 选项的值(并相应增加总的堆大小),为“目标空间”增加预留内存量。
b,通过减少
-XX:InitiatingHeapOccupancyPercent 提前启动标记周期。
c,也可以通过增加 -XX:ConcGCThreads 选项的值来增加并行标记线程的数目。
巨型对象分配失败
当巨型对象找不到合适的空间进行分配时,就会启动Full GC,来释放空间。这种情况下,应该避免分配大量的巨型对象,增加内存或者增大-XX:G1HeapRegionSize,使巨型对象不再是巨型对象。
如果本文对你有帮助,别忘记给我个3连 ,点赞,转发,评论,
咱们下期见。
1811

被折叠的 条评论
为什么被折叠?



