题目:
假设按照升序排序的数组在预先未知的某个点上进行了旋转。( 例如,数组 [0,1,2,4,5,6,7] 可能变为 [4,5,6,7,0,1,2] )。搜索一个给定的目标值,如果数组中存在这个目标值,则返回它的索引,否则返回 -1 。你可以假设数组中不存在重复的元素。你的算法时间复杂度必须是 O(log n) 级别。
思路:
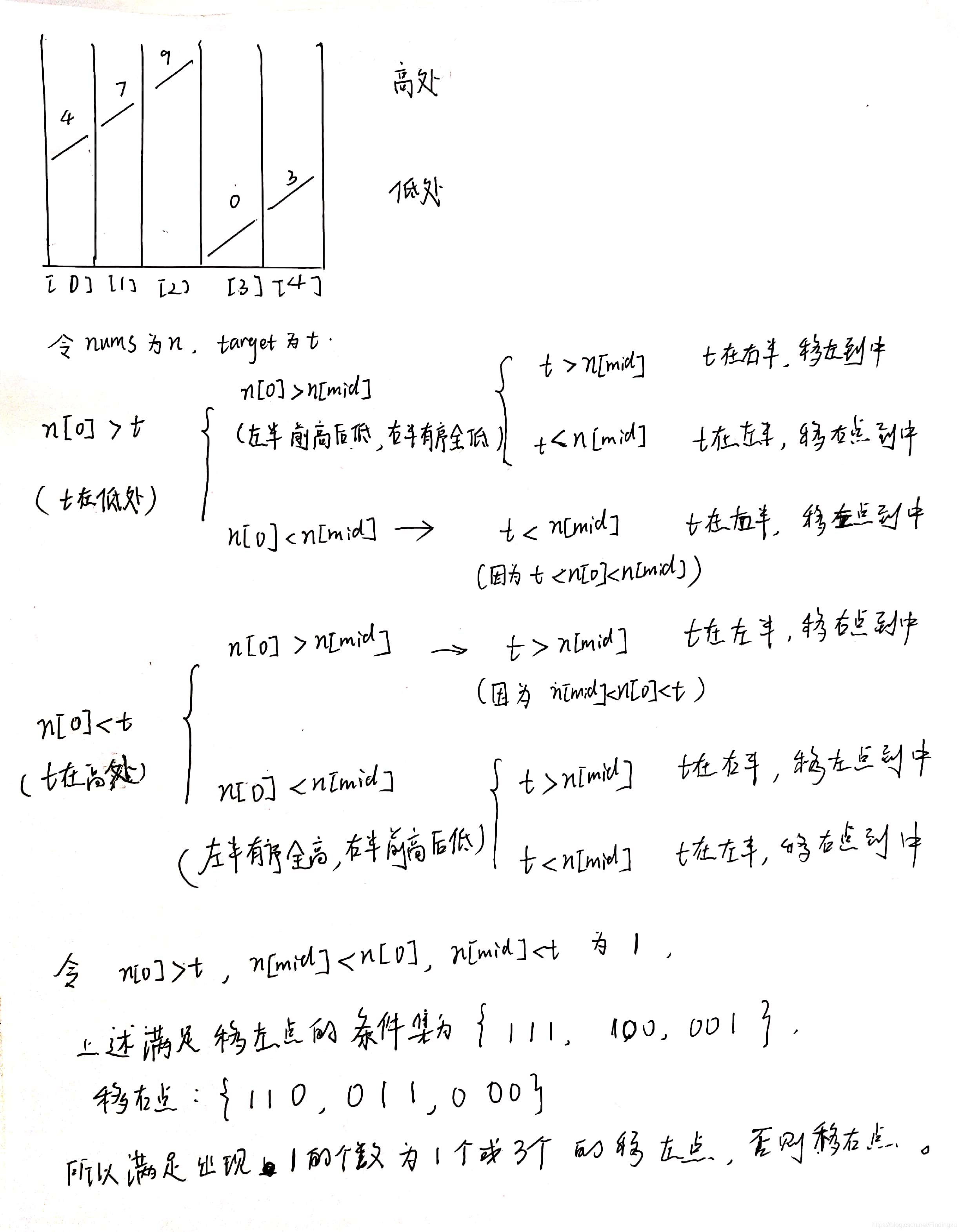
这个题在头条面试时候问过啊,唉还是要多刷点题。下面是思路的草稿。
那么就可以使用异或了,满足一个和三个1都输出1,(注意要使得哪些条件为1,才能凑出这个规律)
题解:
int search(vector<int>& nums, int target) {
int l = 0;
int r = nums.size() - 1;
int mid;
while (l < r){
mid = l + (r - l) / 2;
if ((nums[0]> target) ^ (nums[mid] < nums[0]) ^ (nums[mid] < target))
l = mid + 1;
else
r = mid;
}
return l == r && nums[l] == target? l:-1;
}
这是基于二分查找,我再贴一下二分查找的代码:
int my_binary_search(vector<int>& nums, int target){//二分查找,返回对应目标索引
int len = nums.size();
if(len == 0){
return -1;
}
// left ,right 标记查找的起点和终点
int left = 0, right = len, mid = 0;
while(left <= right){
mid = (left+right)/2;
if(nums[mid] > target){//检查左边
right = mid - 1;
}else if(nums[mid] < target){//检查右边
left = mid + 1;
}else{
return mid;
}
}
return -1;
}
本文介绍了一种在已知数组经过旋转的情况下,如何利用改进的二分查找算法以O(log n)的时间复杂度搜索目标值的方法。通过巧妙地运用异或操作,解决了传统二分查找在旋转数组中失效的问题。
824

被折叠的 条评论
为什么被折叠?



