[单细胞|R]单细胞降维聚类
背景
关注生信方向的朋友都知道,目前单细胞各个细分领域比较热门。相较于常规的Bulk测序,单细胞能发现细胞层面的异质性。觉得很有前景,故打算整理半年前参加线上培训的内容,跟大家分享单细胞的常规分析思路,出一个小系列。文章最后会贴出线上培训的视频链接。
单细胞扫盲
数据获取
单细胞测序目前价格较贵,测一个样品需要好几万,入门可以从公共数据库下载,以GSE159677为例说明常规数据获取渠道。本教程实际数据见文末“原始数据及Code”节的百度网盘。


- 进入NCBI官网
- 选择GEO DataSets
- 输入从文献中得到的数据序号:GSE159677
- 选择包含该数据的文献
- 找到Supplementary file中的链接进行下载


- 文件下载成功后依次解压
- 发现该数据有6个样品,选择其中一个解压之后可得三个文件
- 该文件就是处理的起始文件
文件解读
上述解压得到的三个文件分别为barcodes(区分各个细胞)、features(或genes,包含基因信息)、matrix(包含表达量信息,通过坐标定位具体表达量归属)。根据三个文件整合可以得到基因的表达矩阵。可能有的朋友会疑惑,直接用一个文件直接保存表达矩阵不就可以了,为什么需要三个文件?这是因为单细胞的表达矩阵是大部分为0的稀疏矩阵,分为三个文件可以节省内存。

genes.tsv文件(有时也叫features.tsv文件)
文件内容:有两列,第一列为基因ID,第二列为基因Symbol ID。
barcodes.tsv文件
文件内容:有一列,内容为测序时为了区分各个细胞的标记信息,称为Barcodes
matrix.mtx
文件内容:有三列,数字的第一行是测序的汇总信息。第一行的第一个为测序的总基因数(说明genes.tsv文件中有32738行),第二个为测序的总细胞数(说明barcodes.tsv文件中有2700行),第三个为测序的总reads数。
除第一行,其余数字记录矩阵信息,前两列代表坐标,第三列表示具体某个细胞某个基因的表达量。
表达量矩阵
根据上述三个文件可以得到表达量的稀疏矩阵。如右下角所示。
过程详解
读取表达矩阵
library(Seurat) #加载Seurat
library(dplyr) #加载dplyr包
library(SingleR) #加载SingleR包,细胞注释包
library(celldex) #加载celldex包
#读取矩阵文件
pbmc.counts <- Read10X(data.dir = "hg19/") #读取预处理的表达文件,需要根据自己情况设置文件位置
pbmc <- CreateSeuratObject(counts = pbmc.counts,min.cells = 3,min.features = 200) #创建Seurat对象
注:
- 脚本与“hg19”处于同级目录下,上述Read10X()函数中参数为相对路径,也可添加绝对路径(即完整路径)。“hg19”中为genes/barcodes/matrix文件。
- CreateSeuratObject()函数参数意义:
- min.cells每个基因至少在3个细胞中表达(即,表达量不为0)。
- min.features每个细胞中至少包含200个基因才会保留。
细胞过滤
#计算线粒体基因表达比例
pbmc[["percent.mt"]] <- PercentageFeatureSet(pbmc, pattern = "^MT-") #计算线粒体基因表达比例
# 注意MT大小写,小写表示另一个物种
VlnPlot(pbmc, features = c("nFeature_RNA", "nCount_RNA", "percent.mt"), ncol = 3) #绘制Feature,Count,mt比例图
#细胞过滤
pbmc <- subset(pbmc,subset = nFeature_RNA <=2000 & nCount_RNA <= 5000 & percent.mt <= 5) #过滤Feature,Count,mt
VlnPlot(pbmc, features = c("nFeature_RNA", "nCount_RNA", "percent.mt"),group.by = 'orig.ident', ncol = 3) #绘制过滤后的图片


注:
- PercentageFeatureSet()参数意义:
- pattern = "^MT-"为正则表达式写法,意为匹配"MT-"开头的基因,即线粒体基因。区分MT大小写,此处如果小写则代表另一个物种。
- 为什么将线粒体基因作为一个过滤条件?“因为线粒体是参与细胞凋亡启动和执行的主要细胞器之一。线粒体基因高表达意为着样品质量差,导致大量细胞凋亡或裂解。以及特定样本的生物学,例如肿瘤活检,可能由于代谢活动和/或坏死而增加线粒体基因表达。”
- subset()参数意义:
- nFeature_RNA <=2000 & nCount_RNA <= 5000 & percent.mt <= 5:根据过滤前小提琴图所示,nFeature_RNA(基因个数),nCount_RNA(count个数),percent.mt(染色体基因比例)主要分别在2000,5000,5以下,故作为相应阈值。
- VlnPlot()参数意义:
- ncol=3 代表小提琴图每行3个图
数据标准化
#数据标准化(Normalizing the data)
pbmc <- NormalizeData(pbmc, normalization.method = "LogNormalize", scale.factor = 10000)
- 数据标准化的意义:
- 去除测序深度带来的影响:
- 例:
- 细胞A中总reads数10,基因a的reads数为2;细胞B中总reads数1000,基因a的reads数为20。并不能说基因a在细胞B中表达量大于A,故需要进行标准化。
- 标准化原则:
- 每个细胞的每个基因的count数除以该细胞总count数,然后乘以因子(10000),再进行log(n+1)转换
- 标准化后的数据保存在pbmc@assays R N A @ d a t a 中,原始 c o u n t 数保存在 p b m c @ a s s a y s RNA@data中,原始count数保存在pbmc@assays RNA@data中,原始count数保存在pbmc@assaysRNA@counts中
识别高变基因
#识别高变基因
pbmc <- FindVariableFeatures(pbmc, selection.method = "vst", nfeatures = 2000)
# Identify the 10 most highly variable genes
top10 <- head(VariableFeatures(pbmc), 10)
# plot variable features with and without labels
plot1 <- VariableFeaturePlot(pbmc)
plot2 <- LabelPoints(plot = plot1, points = top10, repel = TRUE)
plot1 + plot2
- FindVariableFeatures()参数意义:
- FindVariableFeatures 函数有 3 种选择高表达变异基因的方法,可以通过 selection.method参数来选择,它们分别是: vst(默认值), mean.var.plot 和 dispersion。 nfeatures 参数的默认值是 2000,可以改变。如果 selection.method 参数选择的是 mean.var.plot,就不需要人为规定高表达变异基因的数目,算法会自动选择合适的数目。 建议使用完 FindVariableFeatures 函数后,用 VariableFeaturePlot 对这些高表达变异基因再做个可视化,看看使用默认值 2000 会不会有问题。

降维聚类
#数据标准化 Scale
#对所有基因进行标准化
# all.genes <- rownames(pbmc)
# pbmc <- ScaleData(pbmc, features = all.genes)
#只对上述2000个高变基因进行标准化,通常仅对高变基因进行标准化和降维
pbmc <- ScaleData(pbmc)
#PCA降维
pbmc <- RunPCA(pbmc, features = VariableFeatures(object = pbmc) )
DimPlot(pbmc, reduction = "pca")
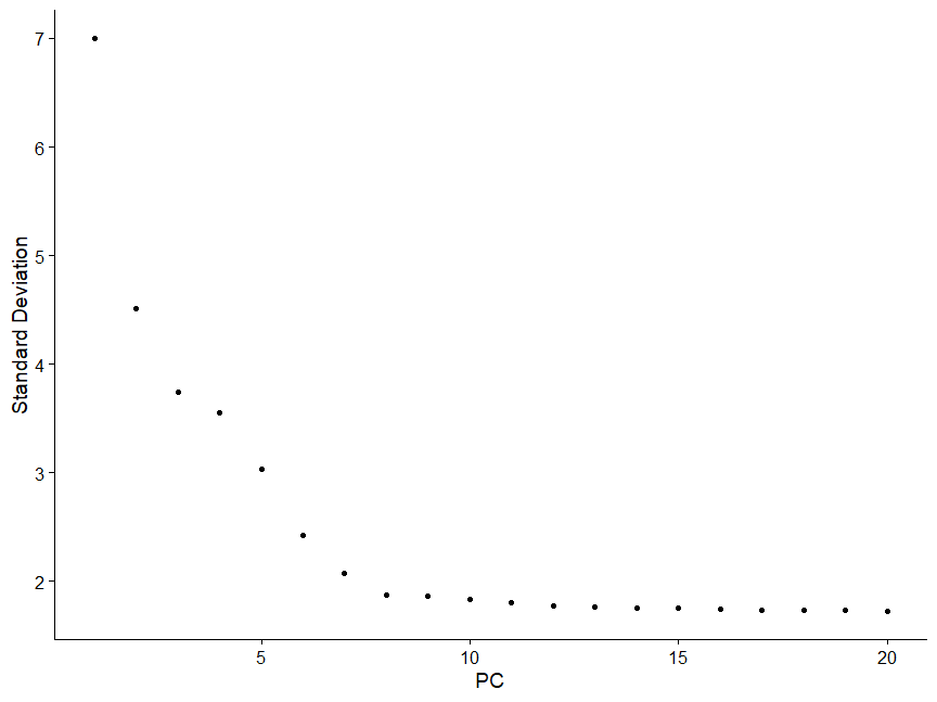
ElbowPlot(pbmc)
str(pbmc)
# 细胞聚类
# 有UMAP和tSNE聚类两种
# 都是基于PCA降维的结果进行聚类
# tSNE聚类与UMAP聚类选择一个执行即可
# !!!此处维度选择10是根据上述“ElbowPlot(pbmc)”生成的主成分图确定的,图中拐点为10,表示10个维度足以反映高维信息
pbmc <- FindNeighbors(pbmc, dims = 1:10)
pbmc <- FindClusters(pbmc, resolution = 0.5) # 分辨率与最终得到的cluster数量成正比
#UMAP降维
pbmc <- RunUMAP(pbmc, dims = 1:10)
DimPlot(pbmc, reduction = "umap")
#tSNE降维
#pbmc <- RunTSNE(pbmc, dims = 1:10)
#DimPlot(pbmc, reduction = "tsne")
-
ScaleData()标准化函数作用:
- 为后续PCA降维做准备。
- PCA降维要求数据为正态分布,即平均值为0,方差为1。
-
DimPlot()函数生成主成分分析结果图1

- ElbowPlot()函数生成主成分分析结果图2
- 发现该图中拐点在10附近,故确定10作为最终主成分。

- FindNeighbors()参数意义:
- dims = 1:10,此处的维度由上述主成分分析2图得到。
- FindClusters() 参数意义:
- resolution = 0.5,此参数决定了后续所得Clusters的数目,分辨率与最终得到的cluster数量成正比。
- 细胞聚类选择UMAP与tSNE其中一个执行即可,后续以UMAP举例。
- 当前只能知道所有细胞被分为0~7,8种类型细胞,但是不知道每个Cluster具体属于哪个生物类别,需要经过后续注释才可获悉。

寻找差异表达基因
pbmc.markers <- FindAllMarkers(pbmc, only.pos = TRUE, min.pct = 0.1, logfc.threshold = 0.25)
head(pbmc.markers)
#每个cluster的top10基因
top10 <- pbmc.markers %>%
group_by(cluster) %>%
top_n(n = 10, wt = avg_log2FC)
DoHeatmap(pbmc, features = top10$gene) + NoLegend()
- FindAllMarkers()参数意义:
- only.pos = TRUE:只寻找上调的基因
- min.pct = 0.1:某基因在细胞中表达的细胞数占相应cluster细胞数最低10%
- logfc.threshold = 0.25 :fold change倍数为0.25
- 该函数是决速步,执行比较耗时。
- 将每个Cluster中Top10的差异基因以热图的形式展现出来
- 横坐标表示基因,纵坐标代表cluster, cluster由细胞组成,热图颜色表示基因表达量

- 横坐标表示基因,纵坐标代表cluster, cluster由细胞组成,热图颜色表示基因表达量
原始数据及code
原始数据
注:
- 本教程使用的数据不是开头举例的GSE159677,而是下述网盘中的测试数据,更小,利于学习。
- 链接:https://pan.baidu.com/s/1Yi8M3rnKpZzJiiEcUwTqMw
- 提取码:h5td
All_Code
library(Seurat) #加载Seurat
library(dplyr) #加载dplyr包
library(SingleR) #加载SingleR包,细胞注释包
library(celldex) #加载celldex包
#读取矩阵文件
#读取预处理的表达文件,需要根据自己情况设置文件位置
pbmc.counts <- Read10X(data.dir = "hg19/")
# 创建Seurat对象
pbmc <- CreateSeuratObject(counts = pbmc.counts,min.cells = 3,min.features = 200)
#获取Metadata数据
head(pbmc@meta.data) #得到metadata信息
#计算线粒体基因表达比例
# 注意MT大小写,小写表示另一个物种
pbmc[["percent.mt"]] <- PercentageFeatureSet(pbmc, pattern = "^MT-")
#绘制Feature,Count,mt比例图
VlnPlot(pbmc, features = c("nFeature_RNA", "nCount_RNA", "percent.mt"), ncol = 3)
#细胞过滤
pbmc <- subset(pbmc,subset = nFeature_RNA <=2000 & nCount_RNA <= 5000 & percent.mt <= 5)
#绘制过滤后的图片
VlnPlot(pbmc, features = c("nFeature_RNA", "nCount_RNA", "percent.mt"),group.by = 'orig.ident', ncol = 3)
#数据标准化(Normalizing the data)
# 去除测序深度带来的影响
pbmc <- NormalizeData(pbmc, normalization.method = "LogNormalize", scale.factor = 10000)
#识别高变基因
pbmc <- FindVariableFeatures(pbmc, selection.method = "vst", nfeatures = 2000)
# Identify the 10 most highly variable genes
top10 <- head(VariableFeatures(pbmc), 10)
# plot variable features with and without labels
plot1 <- VariableFeaturePlot(pbmc)
plot2 <- LabelPoints(plot = plot1, points = top10, repel = TRUE)
plot1 + plot2
#数据标准化 Scale
# PCA降维要求数据为正态分布,即平均值为0,方差为1。
#对所有基因进行标准化
# all.genes <- rownames(pbmc)
# pbmc <- ScaleData(pbmc, features = all.genes)
#只对上述2000个高变基因进行标准化,通常仅对高变基因进行标准化和降维
pbmc <- ScaleData(pbmc)
#PCA降维
pbmc <- RunPCA(pbmc, features = VariableFeatures(object = pbmc) )
DimPlot(pbmc, reduction = "pca")
ElbowPlot(pbmc)
str(pbmc)
# 细胞聚类
pbmc <- FindNeighbors(pbmc, dims = 1:10)
pbmc <- FindClusters(pbmc, resolution = 0.5) # 分辨率与最终得到的cluster数量成正比
#UMAP降维
pbmc <- RunUMAP(pbmc, dims = 1:10)
DimPlot(pbmc, reduction = "umap")
#tSNE降维
pbmc <- RunTSNE(pbmc, dims = 1:10)
DimPlot(pbmc, reduction = "tsne")
#寻找差异表达基因
pbmc.markers <- FindAllMarkers(pbmc, only.pos = TRUE, min.pct = 0.1, logfc.threshold = 0.25)
#每个cluster的top10基因
top10 <- pbmc.markers %>%
group_by(cluster) %>%
top_n(n = 10, wt = avg_log2FC)
DoHeatmap(pbmc, features = top10$gene) + NoLegend()
其他
-
后续将更新细胞注释及通路富集分析相关内容,敬请期待。
-
该单细胞系列教程参考视频,详见链接
单细胞教程。 -
本人也是在逐步学习单细胞相关内容,上述为培训后根据个人理解整理所得,如有问题欢迎评论区讨论。
-
推文多平台同步发布,公众号内容食用更佳
-
更多内容,请关注微信公众号“生信矿工”
-
如有意见或建议可以在评论区讨论

1713

被折叠的 条评论
为什么被折叠?



