💥💥💞💞欢迎来到本博客❤️❤️💥💥
🏆博主优势:🌞🌞🌞博客内容尽量做到思维缜密,逻辑清晰,为了方便读者。
⛳️座右铭:行百里者,半于九十。
📋📋📋本文目录如下:🎁🎁🎁
目录
⛳️赠与读者
👨💻做科研,涉及到一个深在的思想系统,需要科研者逻辑缜密,踏实认真,但是不能只是努力,很多时候借力比努力更重要,然后还要有仰望星空的创新点和启发点。建议读者按目录次序逐一浏览,免得骤然跌入幽暗的迷宫找不到来时的路,它不足为你揭示全部问题的答案,但若能解答你胸中升起的一朵朵疑云,也未尝不会酿成晚霞斑斓的别一番景致,万一它给你带来了一场精神世界的苦雨,那就借机洗刷一下原来存放在那儿的“躺平”上的尘埃吧。
或许,雨过云收,神驰的天地更清朗.......🔎🔎🔎
💥1 概述
三相感应电动机TIM间接磁场定向控制(IFOC)研究
一、引言
三相感应电动机(TIM)因其结构简单、成本低廉、运行可靠等优点,在工业生产中得到了广泛应用。然而,感应电动机本身是一个非线性系统,其转矩、速度等控制指标难以直接调节。传统矢量控制方法难以满足现代工业对高性能、高精度控制的需求。间接磁场定向控制(Indirect Field Oriented Control, IFOC)作为一种重要的矢量控制策略,能够有效解决感应电机控制问题,实现高性能、高效率的电机控制。
二、IFOC基本原理
IFOC的核心是将三相感应电动机的动态模型通过坐标变换解耦为类似直流电机的转矩和磁链分量,关键在于转子磁链定向,使d轴与转子磁链方向对齐,实现转矩与磁链的独立控制。具体步骤如下:
-
坐标变换:
- 利用Clarke变换将三相电流转换为静止α-β坐标系下的两相电流。
- 再通过Park变换将静止α-β坐标系下的电流转换为旋转d-q坐标系下的电流,其中d轴与转子磁链方向对齐。
-
解耦控制:
- 在同步旋转坐标系下,转矩电流分量iqs控制转矩,磁链电流分量ids控制磁链。
- 通过控制定子电流的dq分量,间接控制转子磁链方向,实现对电机转矩和速度的独立控制。
-
磁场定向:
-
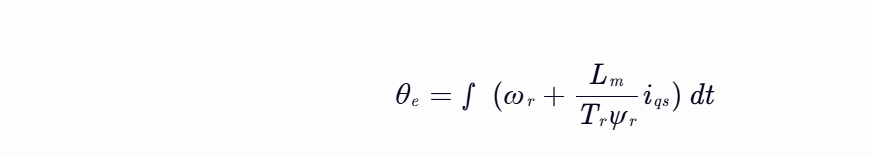
转子磁链估算:通过检测定子电流和转速,利用转子时间常数计算转子磁链幅值和角度。
-
转子磁链角度θe由下式积分得到:
-

其中,ωr为转子电角速度,Tr为转子时间常数,Lm为互感,ψr为转子磁链幅值,iqs为转矩电流分量。 |
三、IFOC控制策略
IFOC控制策略主要包括速度环、转矩环和磁链环,具体实现如下:
-
速度环:
- 将实际速度与设定速度进行比较,生成速度偏差信号。
- 速度环PI调节器输出为转矩电流参考值iqs*。
-
转矩环:
- 接收速度偏差信号,通过PID控制器计算出所需的电磁转矩。
- 转矩环根据偏差计算所需的电磁转矩,并输出转矩电流分量iqs。
-
磁链环:
- 通过控制定子dq分量,间接控制转子磁链方向,使之与定子磁链正交。
- 磁链环根据转矩指令和转子速度,计算所需的定子dq分量,并输出磁链电流分量ids。
-
坐标变换与PWM调制:
- 利用坐标变换将dq分量转换为定子abc分量,并输出给电机驱动器。
- 将逆Park变换后的电压指令生成PWM信号驱动逆变器。
四、IFOC仿真研究
以Matlab软件为平台,对三相感应电机TIM间接磁场定向控制IFOC策略进行仿真研究,验证其控制性能。
-
仿真模型搭建:
- 电机模型:根据三相感应电机的数学模型搭建,包括电压方程、磁链方程和转矩方程。
- 控制器:实现IFOC控制算法,包括速度环、转矩环和磁链环的PI调节器。
- 驱动器:模拟电机驱动器,将控制信号转换为PWM信号驱动电机。
- 负载:模拟电机负载,用于测试电机性能。
-
参数设置:
- 根据实际电机参数,设定模型中各模块参数,包括定子电阻、转子电阻、定子电感、转子电感、极对数等。
- 设定控制器参数,如PID控制器参数、速度环带宽等。
-
仿真结果分析:
- 运行仿真模型,观察电机转速、转矩、电流等指标的变化。
- 仿真结果表明,IFOC控制策略能够有效控制感应电机转速、转矩等指标,实现了对电机的高性能、高效率控制。
五、IFOC研究热点与挑战
-
研究热点:
- 参数估计与自适应控制:针对电机参数变化(如转子电阻随温度变化)的问题,研究参数估计方法,实现自适应控制,提高系统鲁棒性。
- 无速度传感器控制:为了降低系统成本和提高可靠性,研究无速度传感器IFOC控制策略,通过观测器估算电机转速和位置。
- 非线性控制与混沌控制:针对IFOC系统中可能出现的非线性现象(如Hopf分岔、混沌振荡),研究非线性控制策略,提高系统稳定性。
-
挑战:
- 参数敏感性:IFOC控制性能对电机参数(如转子时间常数)较为敏感,参数变化可能导致系统性能下降甚至失稳。
- 动态响应与稳态精度平衡:在提高系统动态响应的同时,需要保证稳态精度,这对控制算法设计提出了更高要求。
- 计算复杂度与实时性:IFOC控制算法涉及多个坐标变换和PI调节器,计算复杂度较高,需要保证算法的实时性。
六、结论与展望
IFOC作为一种先进的感应电机控制策略,具有高性能、高效率等优点,在工业生产中具有广泛应用前景。未来研究可进一步关注以下几个方面:
- 深化参数估计与自适应控制研究:提高系统对参数变化的鲁棒性,实现更精确的控制。
- 推进无速度传感器控制技术研究:降低系统成本,提高可靠性,拓展IFOC的应用范围。
- 探索非线性控制与混沌控制策略:解决IFOC系统中的非线性问题,提高系统稳定性。
📚2 运行结果











部分代码:
figure;
plot(data.t,data.ibeta);
hold on;
grid on;
plot(data.t,data.ialpha);
xlabel('Time (s)','interpreter','latex');
ylabel('Current (A)','interpreter','latex');
title('Controller Currents','interpreter','latex');
legend('$i_{\beta s}$','$i_{\alpha s}$','interpreter','latex','Location','northeast');
figure;
plot(data.t,data.Te);
hold on;
grid on;
plot(data.t,data.spTe);
plot(data.t,data.Tl);
xlabel('Time (s)','interpreter','latex');
ylabel('Torque (Nm)','interpreter','latex');
title('Torque','interpreter','latex');
legend('$T_e$','$T_e^*$','$T_L$','interpreter','latex','Location','northeast');
figure;
plot(data.t,data.wr);
hold on;
grid on;
plot(data.t,data.spW);
plot(data.t,data.w);
xlabel('Time (s)','interpreter','latex');
ylabel('Speed (rad/s)','interpreter','latex');
title('Speed Controller','interpreter','latex');
legend('$\omega_r$','$\omega_r^*$','$\omega$','interpreter','latex','Location','southeast');
figure;
plot(data.t,data.P);
hold on;
grid on;
plot(data.t,data.Q);
plot(data.t,data.S);
xlabel('Time (s)','interpreter','latex');
ylabel('Power (W)','interpreter','latex');
title('Power','interpreter','latex');
legend('P','Q','S','interpreter','latex','Location','east');
elapsedTime = toc(timerVal);
fprintf('Elapsed Time: %.2f s\n',elapsedTime);
🎉3 参考文献
文章中一些内容引自网络,会注明出处或引用为参考文献,难免有未尽之处,如有不妥,请随时联系删除。(文章内容仅供参考,具体效果以运行结果为准)
[1] Hong C M , Cheng F S , Chen C H .Optimal control for variable-speed wind generation systems using General Regression Neural Network[J].International Journal of Electrical Power & Energy Systems, 2014.DOI:10.1016/j.ijepes.2014.02.015.
[2] Nantasenamat C , Worachartcheewan A , Mandi P ,et al.QSAR modeling of aromatase inhibition by flavonoids using machine learning approaches[J].Chemical Papers, 2014, 68(5):697-713.DOI:10.2478/s11696-013-0498-2.
🌈4 Matlab代码实现
资料获取,更多粉丝福利,MATLAB|Simulink|Python资源获取

21

被折叠的 条评论
为什么被折叠?



