代码随想录笔记_链表
代码随想录二刷笔记记录
LC25.K个一组翻转链表
懂车帝,频度3
题目
给你链表的头节点 head ,每 k 个节点一组进行翻转,请你返回修改后的链表。
k 是一个正整数,它的值小于或等于链表的长度。如果节点总数不是 k 的整数倍,那么请将最后剩余的节点保持原有顺序。
你不能只是单纯的改变节点内部的值,而是需要实际进行节点交换。
示例 1:

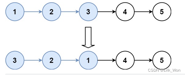
输入:head = [1,2,3,4,5], k = 2
输出:[2,1,4,3,5]
示例 2:

输入:head = [1,2,3,4,5], k = 3
输出:[3,2,1,4,5]
思路分析
思路:
利用dummy节点,遍历前 k 个节点,进行反转,再重新遍历第二轮 k 个节点,再进行反转即可。

代码实现
反转链表函数
public ListNode reverseList(ListNode head){
ListNode pre = null;
ListNode cur = head;
ListNode post = null;
while(cur != null){
post = cur.next;
cur.next = pre;
pre = cur;
cur = post;
}
return pre;
}
完整代码实现
public ListNode reverseKGroup(ListNode head, int k) {
if (null == head) return null;
//定义三个指针 dummy, pre, cur
ListNode dummy = new ListNode(-1);
dummy.next = head;
ListNode pre = dummy;
ListNode cur = dummy;
while (cur.next != null){
for (int i = 0; i < k && cur != null; i++){
cur = cur.next;
}
if (cur == null) break;
//定义第四个指针 post 进行占位
ListNode post = cur.next;
//1.对前k个链表断链,准备反转
cur.next = null;
//2.反转k个链表
//定义第五个指针 start 记录 前k个节点的头节点
ListNode start = pre.next;
pre.next = reverseList(start);
//3.连接
start.next = post;
//4.指针前移
//把 pre 放在反转完毕的 k 个链表的最后一个节点,可以看作是新的dummy节点
pre = start;
//把 cur 放在反转完毕的 k 个链表的最后一个节点
cur = pre;
}
return dummy.next;
}
public ListNode reverseList(ListNode head){
//迭代
ListNode pre = null;
ListNode cur = head;
ListNode post = null;
while (cur != null){
post = cur.next;
cur.next = pre;
pre = cur;
cur = post;
}
return pre;
}
总结:
做了这些链表的题,总结以下解决链表问题时的常用方法:
虚拟头节点 dummy , 双指针(快慢指针) , 链表指针操作(CRUD)
链表指针操作:泛指之前采用的链接、断链、pre、current、post节点等操作,也可以简单的理解为链表操作,指针能够更好的在图上理解这类操作。
双指针:不仅用于链表、数组,其他数据结构也常用此方法,需要熟练掌握。
- 快慢指针:LC19删除链表倒数第N个节点 ,LC142环形链表II
- dummy 节点 + 链表指针操作:LC24两两交换链表中的节点,LC25K个一组翻转链表
- 链表指针操作:LC203移除链表元素,LC206反转链表,LC160相交链表
链表题目的难点,主要在于链表的操作,即有的时候需要涉及到多个指针(如 LC 25),需要将指针的操作顺序在图上理顺。

被折叠的 条评论
为什么被折叠?



