一,什么是逻辑回归?
逻辑回归的使用频率最高
虽然叫回归,但是解决的是分类问题
原理:讲样本的特征和样本发生的概率联系起来,概率是一个数,所以叫回归问题
p=f(x),再对p进行分类,p表示发生的概率。因此逻辑回归既可以看作回归算法也可以看作分类算法。通常作为分类算法用,只能解决二分类问题。(P的分界点是0.5)
注意概率的值域是[0,1]
可以对y施加一个函数:

使用sigmoid函数:

函数的值域是(0,1)
当t>0, p>0,5, y预测=1
当t<0, p<0.5, y预测=0

问题:对于给定的样本数据集X、y,如何找到参数theta,使得使用这样的方式可以最大程度的获得样本数据集X对应的分类输出y?
二,逻辑回归的损失函数
如果y真值=1,p越小,损失函数cost越大
如果y真值=0,p越大,损失函数cost越大


=>化为:

=>目标函数

其中:注意是总体的全部样本X,X的第一列全是1

对于目标函数最优值的求解没有公式解,只能利用梯度下降法求解。
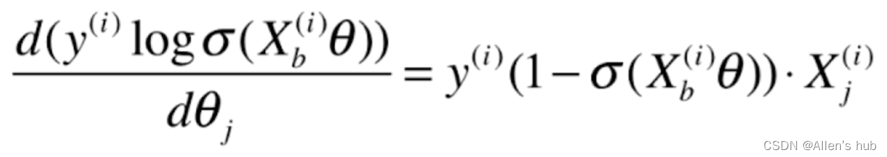
三,逻辑回归损失函数的梯度



=>(写错了是J的求导)



对于线性回归:


四,实现逻辑回归算法
在线性回归算法的基础上进行修改
- 对损失函数进行修改,加入了sigmod激活函数
- 建立新的梯度
- 对评价函数score进行了修改
数据采集:
import numpy as np
import matplotlib.pyplot as plt
from sklearn import datasets
iris = datasets.load_iris()
逻辑回归算法只能解决二分法问题
X = iris.data
y = iris.target #表示种类的标签
X = X[y<2,:2]
y = y[y<2]

使用逻辑回归:
from playML.model_selection import train_test_split
X_train, X_test, y_train, y_test = train_test_split(X, y, seed=666)
from playML.LogisticRegression import LogisticRegression
log_reg = LogisticRegression()
log_reg.fit(X_train, y_train)


最终预测结果和测试集的对比

五,决策边界



分别求出逻辑回归的系数和逻辑回归的截距

就可以用一条直线表示这个决策边界了
def x2(x1):
return (-log_reg.coef_[0] * x1 - log_reg.intercept_) / log_reg.coef_[1]
x1_plot = np.linspace(4, 8, 1000)
x2_plot = x2(x1_plot)
训练数据集:

测试数据集:

上述可以看出,简单 的逻辑回归是线性的,可以加入多项式项变成非线性的边界
大多数的数据不是线性的,我们要绘制出不规则的决策边界
不规则边界的绘制方法:


KNN算法的决策边界
from sklearn.neighbors import KNeighborsClassifier
knn_clf = KNeighborsClassifier()
knn_clf.fit(X_train, y_train)
plot_decision_boundary(knn_clf, axis=[4, 7.5, 1.5, 4.5])
plt.scatter(X[y==0,0], X[y==0,1])
plt.scatter(X[y==1,0], X[y==1,1])
plt.show()

当选取三个种类的鸢尾花:
knn_clf_all = KNeighborsClassifier()
knn_clf_all.fit(iris.data[:,:2], iris.target)
plot_decision_boundary(knn_clf_all, axis=[4, 8, 1.5, 4.5])
plt.scatter(iris.data[iris.target==0,0], iris.data[iris.target==0,1])
plt.scatter(iris.data[iris.target==1,0], iris.data[iris.target==1,1])
plt.scatter(iris.data[iris.target==2,0], iris.data[iris.target==2,1])
plt.show()

过拟合的表现,因为k值默认是5
knn_clf_all = KNeighborsClassifier(n_neighbors=50)
knn_clf_all.fit(iris.data[:,:2], iris.target)
plot_decision_boundary(knn_clf_all, axis=[4, 8, 1.5, 4.5])
plt.scatter(iris.data[iris.target==0,0], iris.data[iris.target==0,1])
plt.scatter(iris.data[iris.target==1,0], iris.data[iris.target==1,1])
plt.scatter(iris.data[iris.target==2,0], iris.data[iris.target==2,1])
plt.show()

六,在逻辑回归中使用多项式特征
数据生成:
import numpy as np
import matplotlib.pyplot as plt
import sklearn
np.random.seed(666)
X = np.random.normal(0, 1, size=(200, 2)) #200个样本,2个特征
y = np.array((X[:,0]**2+X[:,1]**2)<1.5, dtype='int')
plt.scatter(X[y==0,0], X[y==0,1])
plt.scatter(X[y==1,0], X[y==1,1])
plt.show()

使用逻辑回归:
from sklearn.linear_model import LogisticRegression
log_reg = LogisticRegression()
log_reg.fit(X, y)

准确度比较低
使用上节构造的plot_decision_boundary函数
plot_decision_boundary(log_reg, axis=[-4, 4, -4, 4])
plt.scatter(X[y==0,0], X[y==0,1])
plt.scatter(X[y==1,0], X[y==1,1])
plt.show()

from sklearn.preprocessing import PolynomialFeatures
from sklearn.pipeline import Pipeline
from sklearn.preprocessing import StandardScaler
def PolynomialLogisticRegression(degree):
return Pipeline([
('poly', PolynomialFeatures(degree=degree)),
('std_scaler', StandardScaler()),
('log_reg', LogisticRegression())
])
poly_log_reg = PolynomialLogisticRegression(degree=3)
poly_log_reg.fit(X, y)


当degree=40:

出现了过拟合现象
解决过拟合的方式有模型的正则化
七,逻辑回归中使用正则化
生成数据:
import numpy as np
import matplotlib.pyplot as plt
np.random.seed(666)
X = np.random.normal(0, 1, size=(200, 2))
y = np.array((X[:,0]**2+X[:,1])<1.5, dtype='int')
for _ in range(20): #强制改变样本的结果来添加噪音
y[np.random.randint(200)] = 1
plt.scatter(X[y==0,0], X[y==0,1])
plt.scatter(X[y==1,0], X[y==1,1])
plt.show()

from sklearn.model_selection import train_test_split
X_train, X_test, y_train, y_test = train_test_split(X, y, random_state=666)
sklearn中的逻辑回归:
from sklearn.linear_model import LogisticRegression
log_reg = LogisticRegression()
log_reg.fit(X_train, y_train)

plot_decision_boundary(log_reg, axis=[-4, 4, -4, 4])
plt.scatter(X[y==0,0], X[y==0,1])
plt.scatter(X[y==1,0], X[y==1,1])
plt.show()

同样使用pipline加入多项式项:
poly_log_reg = PolynomialLogisticRegression(degree=2)
poly_log_reg.fit(X_train, y_train)


若degree=20:
泛化能力降低,有一定过拟合现象


重新定义管道,加入正则化的参数C(Jθ前的系数)

让正则化项权重更高


边界明显更简单
新建立管道,加上参数字符串penalty表示正则化
sklearn.linear_model.LogisticRegression — scikit-learn 1.2.2 documentation



但从边界图来看,加入正则化项后,边界变得更接近真实边界!
八,OvR与OvO解决多分类问题
逻辑回归只能解决二分类问题
OvR与OvO是一种通过用的,可以使二分类算法扩展到多分类算法的方式
OvR (One vs Rest) 一个对剩下分类的可能性的进行比较
n个类别就进行n此分类,选择分类得分最高的
OvO (One vs One) 一个对另一个可能性进行比较
每次挑出俩个,进行分类,那么四个类别每次挑俩个,有六种方式
n个类别要进行C(n,2)次分类,选择赢数最高的分类
消耗时间更多,但分类结果更加准确
数据生成:
import numpy as np
import matplotlib.pyplot as plt
from sklearn import datasets
iris = datasets.load_iris()
X = iris.data[:,:2]
y = iris.target
from sklearn.model_selection import train_test_split
X_train, X_test, y_train, y_test = train_test_split(X, y, random_state=666)
from sklearn.linear_model import LogisticRegression #自动添加了多分类的功能
log_reg = LogisticRegression() #默认传入参数是ovr,新版本默认是ovo
log_reg.fit(X_train, y_train)


调用绘制边界图像的函数:



结果更加准确
使用所有数据
X = iris.data
y = iris.target
X_train, X_test, y_train, y_test = train_test_split(X, y, random_state=666)
log_reg = LogisticRegression()
log_reg.fit(X_train, y_train)
log_reg.score(X_test, y_test) 100%
使用ovr会低一些
俩个类:
from sklearn.multiclass import OneVsOneClassifier
from sklearn.multiclass import OneVsRestClassifier
3399

被折叠的 条评论
为什么被折叠?



