
Alpha #001
(点击标题查看)
Alpha #002
(-1 * correlation(rank(delta(log(volume), 2)), rank(((close - open) / open)), 6))
因子函数说明:
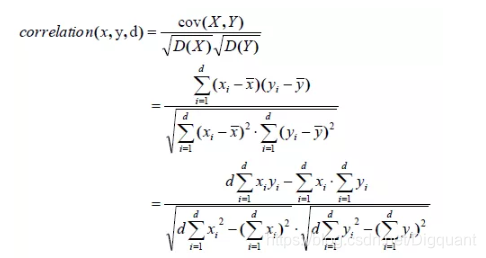
1、

含义:x 和 y两个变量过去 d 天的相关系数。取值范围为:[-1,1]。
2、rank(x)
含义:股票的排名。输入值向量x为股票向量,若输入值含NAN,则NAN不参与排名,输出为股票对应排名的boolean值(排名所占总位数的百分比)。
例如,输入值:x=[3,7,5,9,12,2];
3、delta(x,d)
含义:当天x 值减去过去第d 天的值。
例如:向量 x 有5个元素x=[5,3,8,6,2],若d=4。x 元素对应索引为:
r=[-4,-3,-2,-1,0],0表示当天,-4表示过去第4天。则 y=delta(x,d)=2-5=-3
4、log(x)
含义:对向量x 取对数,进行差异缩小处理。
公用变量说明:
volume:成交量
open:开盘价
close :收盘价
公式解析:
根据 Alpha #002 公式,我们根据公式的运算顺序解析:
1、x0=log(volume)
结构:对成交量volume 取对数操

该博客详细解析了WorldQuant Alpha 101 因子#002,这是一个反映价量背离规律的公式。通过计算成交量的对数差分和价格变化率的排名,以及它们过去6天的相关系数,来寻找量价背离的股票。策略是买入alpha值负相关的前10名股票,卖出不再前10的原有持仓。
最低0.47元/天 解锁文章
9752





