摘 要
随着城市化进程的加快,宠物饲养数量不断增加,城市宠物管理面临着日益严峻的挑战。为解决这一问题,本论文设计并实现了一套基于互联网的城市宠物管理系统,采用Spring Boot框架、MySQL数据库和Java编程语言,旨在为宠物主人和管理者提供高效、便捷的宠物管理服务。
系统分为两个主要用户角色:宠物主人和管理员。宠物主人可以注册和登录系统,访问各项功能,包括查看公告、获取科普知识、报告警情和管理宠物信息。管理员则通过后台界面监控系统的运营状况,管理用户和宠物信息,并生成相关统计数据,确保系统的高效运作。
通过Spring Boot的高效开发和MySQL的稳定数据管理,本系统实现了高性能的数据处理和安全的信息存储。经过测试,系统在功能完备性、性能稳定性和兼容性方面表现良好,能够有效满足城市宠物管理的实际需求。
本研究为城市宠物管理提供了有效的技术支持,为推动宠物管理的现代化发展提供了参考,期望能够促进人与宠物之间的和谐共处。
关键词:Spring Boot;MySQL;Java;宠物管理;功能实现;系统设计
ABSTRACT
With the acceleration of urbanization, the number of pet owners is constantly increasing, and urban pet management is facing increasingly severe challenges. To solve this problem, this paper designs and implements an Internet based urban pet management system, which uses Spring Boot framework, MySQL database and Java programming language to provide efficient and convenient pet management services for pet owners and managers.
The system is divided into two main user roles: pet owner and administrator. Pet owners can register and log in to the system to access various functions, including viewing announcements, obtaining popular science knowledge, reporting emergencies, and managing pet information. Administrators monitor the operation status of the system through the backend interface, manage user and pet information, and generate relevant statistical data to ensure the efficient operation of the system.
Through the efficient development of Spring Boot and stable data management of MySQL, this system achieves high-performance data processing and secure information storage. After testing, the system has performed well in terms of functional completeness, performance stability, and compatibility, and can effectively meet the practical needs of urban pet management.
This study provides effective technical support for urban pet management and serves as a reference for promoting the modernization of pet management, with the hope of promoting harmonious coexistence between humans and pets.
key word: Spring Boot;MySQL;Java;Pet management; Function implementation; system design
目 录
1绪论
1.1研究背景与意义
随着城市化进程的不断加速,城市中宠物的数量日益增加,宠物成为越来越多家庭生活的一部分。然而,伴随而来的宠物管理问题也日渐突出,诸如宠物走失、健康管理、行为规范等问题日益引起社会的关注。传统的宠物管理方式往往依赖人工记录和管理,效率低下,难以满足现代城市日益增长的管理需求。因此,建立一个高效、智能的城市宠物管理系统显得尤为重要。
基于互联网的城市宠物管理系统的设计与实现,旨在通过信息化手段提升宠物管理的效率和科学性。该系统不仅能够为宠物主人提供便捷的管理工具,使其能够随时随地获取宠物的相关信息和服务,还能通过系统化的管理手段,帮助管理者更好地掌握城市宠物的整体情况,及时处理各种问题。系统的实施能够有效减少宠物走失事件的发生,提升宠物的健康管理水平,促进宠物主人对宠物的责任感和参与度。
此外,随着社会对宠物权益和健康的重视,宠物管理的科学性和规范性也逐渐成为社会发展的重要组成部分。通过建立完善的宠物管理系统,能够推动社会对宠物的关注,提升公众对科学养宠知识的认知,促进人与宠物之间的和谐关系。该系统不仅有助于提升城市的管理水平,也为建设文明和谐的社会环境提供了支持。
综上所述,基于互联网的城市宠物管理系统的研究具有重要的现实意义,能够有效应对当前宠物管理中的诸多挑战,推动宠物管理的现代化和科学化发展,为城市居民提供更高质量的生活服务。
1.2国内外研究现状
在全球范围内,随着城市化进程的加速,宠物饲养的普及程度不断提高,宠物管理问题逐渐受到重视。国外在宠物管理领域的研究与实践起步较早,许多国家通过信息技术手段构建了多样化的宠物管理系统。这些系统通常集成了宠物健康监测、行为管理、失物寻回等功能,旨在提高宠物主人对宠物的管理效率。同时,国外的许多城市已经开始实施宠物登记制度,通过信息平台整合宠物数据,以便于管理和服务。
在国内,随着养宠文化的兴起,城市宠物管理的问题也逐渐引起了社会的广泛关注。近年来,多个城市开始探索智能化的宠物管理解决方案,结合移动互联网技术和数据管理平台,推出了多种宠物管理应用。这些应用不仅提供宠物信息管理、健康记录、失物报告等基本功能,还整合了社区互动、宠物领养等社交功能,增强了宠物主人之间的联系。
从技术层面看,Spring Boot作为一种高效的Java开发框架,因其简洁性和强大的功能支持,越来越多地被应用于Web开发和管理系统的构建。在宠物管理系统的开发中,Spring Boot能够实现快速开发和高效部署,与MySQL数据库的结合,提供了可靠的数据存储解决方案,满足了高并发和大数据处理的需求。
尽管国内外在城市宠物管理系统的研究与应用上取得了一定的进展,但仍存在一些不足之处。例如,现有系统在用户体验、数据共享和系统集成方面仍有待提高,如何实现不同平台之间的数据互通和共享,提升整体管理效率,是当前研究的重点。同时,针对宠物管理的法律法规和标准化流程仍需进一步完善,以确保宠物管理的科学性和规范性。
综上所述,基于互联网的城市宠物管理系统的设计与实现,不仅能够借鉴国内外的成功经验,还能通过创新的技术手段,推动宠物管理的现代化,为城市居民提供更优质的服务。
1.3研究方法与技术路线
本论文围绕基于互联网的城市宠物管理系统的设计与实现,采用了一系列系统化的研究方法和技术路线,以确保平台的高效性、可用性和可扩展性。研究方法主要包括需求分析、系统设计、技术实现和系统测试等环节,技术路线则涵盖了前端开发、后端开发、数据库设计以及系统集成等多个方面。
在需求分析阶段,通过对目标用户群体的调研,识别出用户在宠物管理和信息获取过程中的主要需求,包括问卷调查、用户访谈和市场分析等方式,旨在深入了解用户的期望和痛点,从而为后续的系统设计提供依据。
系统设计阶段分为功能设计和架构设计。在功能设计方面,依据需求分析的结果,确定了系统的核心功能模块,包括用户注册与登录、宠物信息管理、警情报告、健康检测预约等。同时,设计了用户个人中心和管理员后台管理系统,以满足不同用户的需求。在架构设计方面,采用了前后端分离的架构模式,前端使用Vue.js框架进行开发,后端则基于Spring Boot框架,确保系统的灵活性和可维护性。
在技术实现阶段,前端开发使用Vue.js结合Element UI组件库,构建了友好的用户界面,确保良好的用户体验。后端开发采用Spring Boot框架,利用其快速开发和模块化的特性,构建RESTful API,以便与前端进行数据交互。数据库方面,使用MySQL进行数据存储,设计了合理的数据库结构,以支持高效的数据查询和事务处理。
在系统集成和测试阶段,进行全面的系统集成,确保前后端的无缝对接。通过功能测试手段,验证系统的可实现性,确保用户在使用过程中能够获得流畅的体验。
综上所述,本论文的研究方法与技术路线通过系统化的需求分析、合理的系统设计、有效的技术实现以及全面的系统测试,确保了基于互联网的城市宠物管理系统的高效性和可用性,为城市宠物管理的现代化提供了有力支持。
2相关技术简介
2.1 Springboot 框架简介
Spring Boot,作为Spring生态系统中一颗璀璨的明星,以其“约定优于配置”的核心理念,极大地简化了Java应用的开发、部署与管理流程。它并非是对Spring框架的颠覆,而是在其基础上进行了深度封装与优化,旨在快速搭建独立的、生产级别的Spring应用。Spring Boot通过自动配置功能,减少了大量繁琐的配置工作,让开发者能够更加专注于业务逻辑的实现。同时,它集成了众多常用库,如数据库连接池、缓存、消息队列等,为开发者提供了一站式的解决方案。此外,Spring Boot还支持多种部署方式,无论是传统的WAR包部署,还是现代的容器化部署,都能轻松应对。因此,选择Spring Boot作为基于互联网的城市宠物管理系统的开发框架,不仅能够提升开发效率,还能确保系统的稳定性和可维护性。
2.2 MyBatis Plus框架简介
MyBatis Plus作为MyBatis的强化版,以其卓越的简化开发流程、增强的CRUD操作功能以及灵活的查询构建能力,在Java企业级应用开发中大放异彩。它不仅保留了MyBatis的灵活性和SQL控制能力,还通过内置通用Mapper、条件构造器、代码生成器等工具,极大减轻了开发者的负担。MyBatis Plus的自动填充、乐观锁、逻辑删除等特性,更是为数据管理提供了强大的支持。在基于互联网的城市宠物管理系统中引入MyBatis Plus,意味着可以更快地实现复杂的数据操作逻辑,更灵活地应对业务需求变化,同时保持代码的清晰和可维护性,是提升开发效率、保障系统稳定性的不二之选。
2.3 VUE框架简介
Vue框架,作为一款风靡前端的JavaScript框架,以其渐进式、组件化的设计理念,为开发者构建高效、灵活的Web界面提供了强大支持。Vue不仅轻量且易于上手,其核心库专注于视图层,使得开发者能够轻松地将Vue集成到现有项目中,实现前后端分离的现代Web应用开发。其响应式的数据绑定和组件系统,让开发者能够高效地管理界面状态和用户交互,同时Vue丰富的生态系统也提供了众多插件和工具,进一步提升了开发效率和应用的性能。在基于互联网的城市宠物管理系统中引入Vue作为前端框架,不仅可以优化用户界面的渲染和交互体验,还能通过前后端分离的架构提升系统的可维护性和可扩展性,是构建现代、高效基于互联网的城市宠物管理系统的理想选择。
2.4 MySQL数据库简介
MySQL数据库,作为开源关系型数据库管理系统的佼佼者,以其高性能、可靠性、易用性和灵活性,在全球范围内被广泛应用于各类企业级应用中。MySQL采用SQL(结构化查询语言)作为数据操作的标准语言,支持复杂的查询、数据更新、索引优化等功能,确保数据的高效存取和完整性。其强大的事务处理能力,为业务逻辑的原子性、一致性、隔离性和持久性提供了坚实保障。此外,MySQL还具备高度的可配置性和可扩展性,通过优化存储引擎、调整配置参数等手段,可以轻松应对高并发、大数据量的应用场景。在基于互联网的城市宠物管理系统中,MySQL作为后端数据存储的核心,不仅为系统提供了稳定可靠的数据支持,还通过其丰富的数据操作功能,助力系统实现复杂的业务逻辑和高效的数据管理。
3系统需求分析
3.1系统功能需求分析
本论文围绕基于互联网的城市宠物管理系统的设计与实现进行了全面的分析,系统分为两个主要角色:宠物主人和管理员。以下是对这两个角色的功能详细阐述。
1.宠物主人功能分析:
登录注册:宠物主人可以通过注册账户并设置登录凭证来创建个人账户,确保信息的安全性。注册流程简单,便于用户快速上手。
首页:用户登录后进入首页,展示系统的主要功能模块、最新公告和重要信息,方便用户快速找到所需服务。
系统公告:提供宠物管理相关的公告和通知,用户可以查看最新的政策信息、活动安排等,确保及时获取相关信息。
科普知识:系统提供宠物相关的科普知识,帮助宠物主人了解宠物的养护、健康管理和行为训练等重要信息,提升养宠经验。
警情报告:宠物主人可以查看关于宠物丢失等的警情报告,用户可以进行点赞、收藏、评论等。
宠物信息:用户可以添加和管理宠物的基本信息,包括宠物的种类、年龄、健康状况等,便于进行健康监测和管理。
我的账户:用户可以在此模块查看和管理个人账户信息,包括修改密码、更新联系方式等,确保账户的安全和准确性。
个人中心:在个人中心,用户可以进行一系列操作,包括:
个人首页:展示用户宠物的警情报告统计图、宠物信息统计图、检测预约统计图、违规记录统计图、检测预警统计图等。
宠物信息:管理和更新宠物的详细信息,确保信息的准确性。
检测预约:用户可以预约宠物的健康检测,确保宠物的健康得到及时关注。
检测结果:查看宠物的健康检测结果,便于跟踪健康状况。
违规记录:用户可以查看与宠物相关的违规记录,了解宠物的行为规范。
监测预警:系统提供监测预警功能,提醒用户注意宠物的健康变化或异常行为。
收藏:用户可以收藏有用的科普知识和信息,方便后续查阅。
评论管理:用户可以对系统提供的服务和科普知识进行评价,促进系统的改进和优化。
2.管理员功能分析:
后台首页:管理员登录后进入后台首页,可以查看多个统计图,包括警情报告统计图、宠物信息统计图、检测预约统计图、违规记录统计图和检测预警统计图。这些统计图表直观展示了系统的运营状况,帮助管理员进行决策。
系统用户管理:管理员可以管理系统用户的信息,包括审核注册用户、修改用户信息和删除不活跃用户,确保系统用户的安全和有效性。
记录报告管理:管理员可以查看和管理警情报告、违规记录和检测预警,及时处理用户反馈和异常情况,提升服务质量。
宠物管理:管理员可以对宠物进行全面管理,包括:
宠物类型管理:添加和管理不同类型的宠物,确保系统信息的准确性。
宠物信息管理:审核和更新宠物的详细信息,确保数据的及时性和准确性。
检测管理:管理员可以管理宠物的健康检测预约,安排检测时间和地点,确保检测服务的高效性。
系统管理:包括轮播图管理、系统公告管理等功能,确保系统界面的美观和信息的及时更新。
资源管理:管理员可以管理科普知识和知识分类,确保用户获取的信息的准确性和相关性。
权限管理:管理员可以设置不同用户的权限,确保系统的安全性和数据的保密性。
通过以上功能的设计与实现,基于互联网的城市宠物管理系统能够有效满足宠物主人和管理员的需求,提升宠物管理的效率,促进宠物主人与管理部门之间的沟通与互动,为城市宠物管理提供全面的解决方案。
3.2系统非功能性分析
基于互联网的城市宠物管理系统在撰写系统毕业论文时,非功能性需求分析是一个重要的部分。非功能性需求主要关注的是系统如何运行,而不是它具体完成什么功能。这些需求包括性能、可用性、安全性、可维护性、可扩展性、易用性等方面。以下是一个关于基于互联网的城市宠物管理系统非功能性需求分析的概要。
性能需求:系统需确保快速响应和高吞吐量,以支持大量用户同时访问,即使在高峰时段也能保持流畅的操作体验,避免因延迟或卡顿影响用户体验。
可用性:安系统必须具备高可用性,采用冗余部署、负载均衡等策略,确保即使部分组件故障也能迅速恢复服务,减少服务中断时间,保障用户业务的连续性。
安全性:鉴于系统处理用户敏感信息,如个人信息等,必须实施严格的安全措施,包括数据加密、访问控制、防攻击机制等,以保护用户数据免受未授权访问或泄露。
可维护性:系统设计应注重可维护性,采用模块化、标准化的架构,提供详尽的开发文档和用户手册,确保系统易于理解和维护,降低长期运维成本。
可扩展性:随着业务的发展,系统可能需要扩展功能或提升性能。因此,系统需具备灵活的可扩展性,能够轻松添加新模块、优化性能,以应对未来增长的需求。
易用性:用户界面应直观易用,符合用户习惯,提供清晰的导航和友好的操作反馈,帮助用户快速上手并高效完成任务,提升整体用户满意度。
3.3系统可行性分析
通过基于互联网的城市宠物管理系统的可行性分析,我们可以从技术可行性、经济可行性、操作可行性三个维度进行深入探讨,以确保系统的开发与应用具有坚实的可行性基础。
3.3.1技术可行性
Springboot作为目前流行的Java企业级应用开发框架,以其“约定优于配置”的原则,极大地简化了开发流程,降低了技术门槛。同时,结合MyBatis Plus这一强大的ORM框架,可以高效实现数据持久化操作。前端采用Vue框架,不仅提升了用户界面的交互体验,也实现了前后端分离的现代Web架构。MySQL数据库作为后端数据存储,以其高性能和稳定性为系统提供了可靠的数据支持。综上所述,从技术角度来看,该系统的开发具备高度可行性。
3.3.2经济可行性
考虑到Springboot、Vue、MyBatis Plus及MySQL等均为开源技术,无需支付高昂的许可费用,大大降低了系统的开发成本。同时,这些技术拥有广泛的用户群体和成熟的社区支持,便于获取技术支持和资源共享。此外,系统的实施将显著提升基于互联网的城市宠物管理系统的效率和用户体验,从而带来潜在的经济效益。因此,从经济角度来看,该系统的开发同样具备可行性。
3.3.3操作可行性
系统设计应遵循用户友好原则,确保用户能够轻松上手并高效使用。通过合理的界面布局、直观的操作流程以及详尽的帮助文档,可以大大降低用户的学习成本,提高系统的操作可行性。此外,系统还应具备完善的权限管理和数据安全机制,确保操作的安全性和合规性。
从技术、经济、操作三个维度来看,基于互联网的城市宠物管理系统的开发均具备高度的可行性。
3.4系统用例分析
基于互联网的城市宠物管理系统用例分析主要从宠物主人、管理员这些实体展开描述。
3.4.1宠物主人用例分析
宠物主人具备登录注册、首页、系统公告、科普知识、警情报告、宠物信息、我的账户、个人中心(个人首页、宠物信息、检测预约、检测结果、违规记录、监测预警、收藏、评论管理)等需求用例,详细用例图如图3-1所示。

图3-1宠物主人用例图
3.4.2管理员用例分析
管理员具备后台首页、系统用户、记录报告(警情报告管理、违规记录管理、检测预警管理)、宠物管理(宠物类型管理、宠物信息管理)、检测管理、系统管理(轮播图管理)、系统公告管理、资源管理(科普知识、知识分类)、权限管理等需求用例。详细用例图如图3-2所示。

图3-2管理员用例图
4系统设计
4.1系统总体设计思路
基于互联网的城市宠物管理系统采用Browser/Server结构,(浏览器/服务器)和基于Web服务前后台交互的模式,是一个适用于Windows体系环境下的模型结构。只要用户有符合程序运行的硬件系统,并连上互联网,便可以在任何时间、任何地点使用。系统工作原理图如图4-1所示:

图4-1系统工作原理图
其最终前后台交互原理如图4-2所示。

图4-2前后台交互原理
具体交互流程为:浏览器中执行具体操作,操作命令将生成一个do方法。该方法使得浏览器能够访问后台中的Controller层,Controller层由于业务上的需要执行进而访问Service层。Service层收到指令后将会去调用内部DAO层的接口。接口将会和MyBatis层下的一个SQL语句相对接。对接好之后进而访问MySql数据库。更新底层数据,然后将数据同步回MyBatis层,同步变化后的数据将通过DAO层接口,Service层和后台Controller层,直观反映到浏览器页面上。
4.2系统结构设计
基于互联网的城市宠物管理系统的整体结构设计如图4-3所示。

图4-3整体功能结构设计图
4.3系统功能设计
4.3.1系统开发流程
基于互联网的城市宠物管理系统开发时,首先进行需求分析,进而对系统进行总体的设计规划,设计系统功能模块,数据库的选择等,本系统的开发流程如图4-4所示。

图4-4系统开发流程图
4.3.2 用户登录流程
为了保证系统的安全性,要使用本系统对系统信息进行管理,必须先登陆到系统中。如图4-5所示。

图4-5 登录流程图
4.3.3 系统操作流程
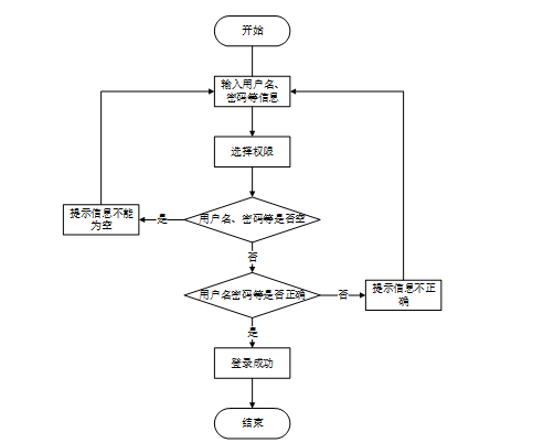
用户打开并进入系统后,会先显示登录界面,输入正确的用户名和密码,系统自动检测信息,若信息无误,则用户会进入系统功能界面,进行操作,否则会提示错误无法登录,操作流程如图4-6所示。

图4-6 系统操作流程图
4.3.4 添加信息流程
管理员可以对系统公告、科普知识、警情报告等进行信息的添加,用户可以对自己权限内的信息进行添加,输入信息后,系统会自行验证输入的信息和数据,若信息正确,会将其添加到数据库内,若信息有误,则会提示重新输入信息,添加信息流程如图4-7所示。

图4-7 添加信息流程图
4.3.5 修改信息流程
管理员可以对系统公告、科普知识、警情报告等进行的修改,用户可以对自己权限内的信息进行修改,首先进入修改信息界面,输入修改信息数据,系统进行数据的判断验证,修改信息合法则修改成功,信息更新至数据库,信息不合法则修改失败,重新输入。修改信息流程图如图4-8所示。

图4-8 修改信息流程图
4.3.6 删除信息流程
管理员可以对系统公告、科普知识、警情报告等进行信息的删除,对要删除的信息进行选中后,点击删除按钮,系统会询问是否确定,若点击确定,则系统会删除掉选中的信息,并在数据库内对信息进行删除,删除信息流程图如图4-9所示。

图4-9 删除信息流程图
4.4系统核心代码设计
基于互联网的城市宠物管理系统的核心代码设计如下:
4.4.1用户注册
注册页UserController.java,传入user对象,并将"user_id"、 "state"、 "user_group"、"login_time"、"phone"、"phone_state"、 "username"、"nickname"、"password"、"email"、"email_state"、"avatar"、"create_time"输入,重点是 "username"、"nickname"、"password"必须输入,通过获取username,数据库查询是否有该用户,如果存在,则提示“用户已存在”,否则执行将UserId置为空(数据库表中该字段已设置自动递增),代码如图4-10所示。

图4-10注册核心代码图
4.4.2用户登录
登录页,首先传入"username"、"email"、"phone"、"password",用户可通过用户名、邮箱、手机号进行登陆,通过判断resultList来确定查询结果,然后执行查询用户组UserGroup,用户组里面不存在,依然报“用户不存在”,执行完以上代码,最后涉及到用户带有“审核”的,会查询examine_state(用户的审核状态),数据库表user_group中含有source_table和source_field进行查询,以上步骤完成,对输入的密码进行存储Token到数据库,匹对账号和密码,数据库中的AccessToken为令牌,用于身份认证,代码如图4-11所示。

图4-11用户登录核心代码图
4.4.3修改密码
修改密码,通过请求data,获取旧密码,并将新密码重新赋值,期间都是需要通过加密,代码如图4-12所示。

图4-12修改密码核心代码图
4.4.4修改数据
修改一个数据,原理与add基本一致,不同点在于通过readConfig()读取关键字,以及通过readQuery()获取URL后面?指定位置的标识,转成Map对象后,执行update操作,同样通过拼接的sql语句执行,执行过程读取query,toWhereSql()语句完成数据库操作,body为修改对象的值,代码如图4-13所示。

图4-13修改数据核心代码图
4.4.5删除数据
删除一条数据,通过readQuery(),获取URL后面的对象地址,删除FROM具体的table,query删除查询FindConfig语句,代码如图4-14所示。

图4-14删除数据核心代码图
4.4.6获取列表
通过请求的参数获取列表数据,代码如图4-15所示。

图4-15获取列表核心代码图
4.4.7图片上传
通过请求的参数获取列表数据,代码如图4-16所示。

图4-16图片上传核心代码图
4.5数据库设计
4.5.1数据库设计原则
基于互联网的城市宠物管理系统在进行数据库设计时,考虑到个人能力与数据库选择,选择了数据库Mysql。以下将使用E-R展示数据库中设计的实体及主要的字段和类型及数据库的描述。
4.5.2数据库实体
通过建立基于互联网的城市宠物管理系统的E-R模型图。以此来设计详细的数据库资料实体,以下为具体图例:
(1)宠物主人实体图如图4-17所示;

图4-17宠物主人实体图
(2)警情报告实体图如图4-18所示;

图4-18警情报告实体图
(3)宠物信息实体E-R图如图4-19所示;

图4-19宠物信息实体图
(4)检测预约实体图如图4-20所示;

图4-20检测预约实体图
(5)数据库实体E-R图如图4-21所示:

图4-21数据库E-R图
4.5.3数据库表设计
以下为本课题开发过程中所使用的数据表结构:
表access_token (登陆访问时长)
| 编号 | 名称 | 数据类型 | 长度 | 小数位 | 允许空值 | 主键 | 默认值 | 说明 |
| 1 | token_id | int | 10 | 0 | N | Y | 临时访问牌ID | |
| 2 | token | varchar | 64 | 0 | Y | N | 临时访问牌 | |
| 3 | info | text | 65535 | 0 | Y | N | ||
| 4 | maxage | int | 10 | 0 | N | N | 2 | 最大寿命:默认2小时 |
| 5 | create_time | timestamp | 19 | 0 | N | N | CURRENT_TIMESTAMP | 创建时间: |
| 6 | update_time | timestamp | 19 | 0 | N | N | CURRENT_TIMESTAMP | 更新时间: |
| 7 | user_id | int | 10 | 0 | N | N | 0 | 用户编号: |
| 编号 | 名称 | 数据类型 | 长度 | 小数位 | 允许空值 | 主键 | 默认值 | 说明 |
| 1 | article_id | mediumint | 8 | 0 | N | Y | 文章id:[0,8388607] | |
| 2 | title | varchar | 125 | 0 | N | Y | 标题:[0,125]用于文章和html的title标签中 | |
| 3 | type | varchar | 64 | 0 | N | N | 0 | 文章分类:[0,1000]用来搜索指定类型的文章 |
| 4 | hits | int | 10 | 0 | N | N | 0 | 点击数:[0,1000000000]访问这篇文章的人次 |
| 5 | praise_len | int | 10 | 0 | N | N | 0 | 点赞数 |
| 6 | create_time | timestamp | 19 | 0 | N | N | CURRENT_TIMESTAMP | 创建时间: |
| 7 | update_time | timestamp | 19 | 0 | N | N | CURRENT_TIMESTAMP | 更新时间: |
| 8 | source | varchar | 255 | 0 | Y | N | 来源:[0,255]文章的出处 | |
| 9 | url | varchar | 255 | 0 | Y | N | 来源地址:[0,255]用于跳转到发布该文章的网站 | |
| 10 | tag | varchar | 255 | 0 | Y | N | 标签:[0,255]用于标注文章所属相关内容,多个标签用空格隔开 | |
| 11 | content | longtext | 2147483647 | 0 | Y | N | 正文:文章的主体内容 | |
| 12 | img | varchar | 255 | 0 | Y | N | 封面图 | |
| 13 | description | text | 65535 | 0 | Y | N | 文章描述 |
| 编号 | 名称 | 数据类型 | 长度 | 小数位 | 允许空值 | 主键 | 默认值 | 说明 |
| 1 | type_id | smallint | 5 | 0 | N | Y | 分类ID:[0,10000] | |
| 2 | display | smallint | 5 | 0 | N | N | 100 | 显示顺序:[0,1000]决定分类显示的先后顺序 |
| 3 | name | varchar | 16 | 0 | N | N | 分类名称:[2,16] | |
| 4 | father_id | smallint | 5 | 0 | N | N | 0 | 上级分类ID:[0,32767] |
| 5 | description | varchar | 255 | 0 | Y | N | 描述:[0,255]描述该分类的作用 | |
| 6 | icon | text | 65535 | 0 | Y | N | 分类图标: | |
| 7 | url | varchar | 255 | 0 | Y | N | 外链地址:[0,255]如果该分类是跳转到其他网站的情况下,就在该URL上设置 | |
| 8 | create_time | timestamp | 19 | 0 | N | N | CURRENT_TIMESTAMP | 创建时间: |
| 9 | update_time | timestamp | 19 | 0 | N | N | CURRENT_TIMESTAMP | 更新时间: |
| 编号 | 名称 | 数据类型 | 长度 | 小数位 | 允许空值 | 主键 | 默认值 | 说明 |
| 1 | auth_id | int | 10 | 0 | N | Y | 授权ID: | |
| 2 | user_group | varchar | 64 | 0 | Y | N | 用户组: | |
| 3 | mod_name | varchar | 64 | 0 | Y | N | 模块名: | |
| 4 | table_name | varchar | 64 | 0 | Y | N | 表名: | |
| 5 | page_title | varchar | 255 | 0 | Y | N | 页面标题: | |
| 6 | path | varchar | 255 | 0 | Y | N | 路由路径: | |
| 7 | parent | varchar | 64 | 0 | Y | N | 父级菜单 | |
| 8 | parent_sort | int | 10 | 0 | N | N | 0 | 父级菜单排序 |
| 9 | position | varchar | 32 | 0 | Y | N | 位置: | |
| 10 | mode | varchar | 32 | 0 | N | N | _blank | 跳转方式: |
| 11 | add | tinyint | 3 | 0 | N | N | 1 | 是否可增加: |
| 12 | del | tinyint | 3 | 0 | N | N | 1 | 是否可删除: |
| 13 | set | tinyint | 3 | 0 | N | N | 1 | 是否可修改: |
| 14 | get | tinyint | 3 | 0 | N | N | 1 | 是否可查看: |
| 15 | field_add | text | 65535 | 0 | Y | N | 添加字段: | |
| 16 | field_set | text | 65535 | 0 | Y | N | 修改字段: | |
| 17 | field_get | text | 65535 | 0 | Y | N | 查询字段: | |
| 18 | table_nav_name | varchar | 500 | 0 | Y | N | 跨表导航名称: | |
| 19 | table_nav | varchar | 500 | 0 | Y | N | 跨表导航: | |
| 20 | option | text | 65535 | 0 | Y | N | 配置: | |
| 21 | create_time | timestamp | 19 | 0 | N | N | CURRENT_TIMESTAMP | 创建时间: |
| 22 | update_time | timestamp | 19 | 0 | N | N | CURRENT_TIMESTAMP | 更新时间: |
| 编号 | 名称 | 数据类型 | 长度 | 小数位 | 允许空值 | 主键 | 默认值 | 说明 |
| 1 | code_token_id | int | 10 | 0 | N | Y | ||
| 2 | token | varchar | 255 | 0 | Y | N | ||
| 3 | code | varchar | 255 | 0 | Y | N | 验证码 | |
| 4 | expire_time | timestamp | 19 | 0 | N | N | CURRENT_TIMESTAMP | 失效时间 |
| 5 | create_time | timestamp | 19 | 0 | N | N | CURRENT_TIMESTAMP | 创建时间 |
| 6 | update_time | timestamp | 19 | 0 | N | N | CURRENT_TIMESTAMP | 更新时间: |
| 编号 | 名称 | 数据类型 | 长度 | 小数位 | 允许空值 | 主键 | 默认值 | 说明 |
| 1 | collect_id | int | 10 | 0 | N | Y | 收藏ID: | |
| 2 | user_id | int | 10 | 0 | N | N | 0 | 收藏人ID: |
| 3 | source_table | varchar | 255 | 0 | Y | N | 来源表: | |
| 4 | source_field | varchar | 255 | 0 | Y | N | 来源字段: | |
| 5 | source_id | int | 10 | 0 | N | N | 0 | 来源ID: |
| 6 | title | varchar | 255 | 0 | Y | N | 标题: | |
| 7 | img | varchar | 255 | 0 | Y | N | 封面: | |
| 8 | create_time | timestamp | 19 | 0 | N | N | CURRENT_TIMESTAMP | 创建时间: |
| 9 | update_time | timestamp | 19 | 0 | N | N | CURRENT_TIMESTAMP | 更新时间: |
| 编号 | 名称 | 数据类型 | 长度 | 小数位 | 允许空值 | 主键 | 默认值 | 说明 |
| 1 | comment_id | int | 10 | 0 | N | Y | 评论ID: | |
| 2 | user_id | int | 10 | 0 | N | N | 0 | 评论人ID: |
| 3 | reply_to_id | int | 10 | 0 | N | N | 0 | 回复评论ID:空为0 |
| 4 | content | longtext | 2147483647 | 0 | Y | N | 内容: | |
| 5 | nickname | varchar | 255 | 0 | Y | N | 昵称: | |
| 6 | avatar | varchar | 255 | 0 | Y | N | 头像地址:[0,255] | |
| 7 | create_time | timestamp | 19 | 0 | N | N | CURRENT_TIMESTAMP | 创建时间: |
| 8 | update_time | timestamp | 19 | 0 | N | N | CURRENT_TIMESTAMP | 更新时间: |
| 9 | source_table | varchar | 255 | 0 | Y | N | 来源表: | |
| 10 | source_field | varchar | 255 | 0 | Y | N | 来源字段: | |
| 11 | source_id | int | 10 | 0 | N | N | 0 | 来源ID: |
| 编号 | 名称 | 数据类型 | 长度 | 小数位 | 允许空值 | 主键 | 默认值 | 说明 |
| 1 | detection_result_id | int | 10 | 0 | N | Y | 检测结果ID | |
| 2 | test_number | varchar | 64 | 0 | Y | N | 检测编号 | |
| 3 | id_number | varchar | 64 | 0 | Y | N | 证件编号 | |
| 4 | pet_nickname | varchar | 64 | 0 | Y | N | 宠物昵称 | |
| 5 | pet_type | varchar | 64 | 0 | Y | N | 宠物类型 | |
| 6 | pet_photos | varchar | 255 | 0 | Y | N | 宠物照片 | |
| 7 | pet_gender | varchar | 64 | 0 | Y | N | 宠物性别 | |
| 8 | pet_owner | int | 10 | 0 | Y | N | 0 | 宠物主人 |
| 9 | user_name | varchar | 64 | 0 | Y | N | 用户姓名 | |
| 10 | contact_number | varchar | 16 | 0 | Y | N | 联系电话 | |
| 11 | entry_name | varchar | 64 | 0 | N | N | 项目名称 | |
| 12 | project_price | double | 9 | 2 | Y | N | 0.00 | 项目价格 |
| 13 | testing_date | date | 10 | 0 | Y | N | 检测日期 | |
| 14 | report_attachment | varchar | 255 | 0 | Y | N | 报告附件 | |
| 15 | result_description | longtext | 2147483647 | 0 | Y | N | 结果描述 | |
| 16 | create_time | datetime | 19 | 0 | N | N | CURRENT_TIMESTAMP | 创建时间 |
| 17 | update_time | timestamp | 19 | 0 | N | N | CURRENT_TIMESTAMP | 更新时间 |
| 18 | source_table | varchar | 255 | 0 | Y | N | 来源表 | |
| 19 | source_id | int | 10 | 0 | Y | N | 来源ID | |
| 20 | source_user_id | int | 10 | 0 | Y | N | 来源用户 |
| 编号 | 名称 | 数据类型 | 长度 | 小数位 | 允许空值 | 主键 | 默认值 | 说明 |
| 1 | hits_id | int | 10 | 0 | N | Y | 点赞ID: | |
| 2 | user_id | int | 10 | 0 | N | N | 0 | 点赞人: |
| 3 | create_time | timestamp | 19 | 0 | N | N | CURRENT_TIMESTAMP | 创建时间: |
| 4 | update_time | timestamp | 19 | 0 | N | N | CURRENT_TIMESTAMP | 更新时间: |
| 5 | source_table | varchar | 255 | 0 | Y | N | 来源表: | |
| 6 | source_field | varchar | 255 | 0 | Y | N | 来源字段: | |
| 7 | source_id | int | 10 | 0 | N | N | 0 | 来源ID: |
表monitoring_and_early_warning (监测预警)
| 编号 | 名称 | 数据类型 | 长度 | 小数位 | 允许空值 | 主键 | 默认值 | 说明 |
| 1 | monitoring_and_early_warning_id | int | 10 | 0 | N | Y | 监测预警ID | |
| 2 | monitoring_number | varchar | 64 | 0 | Y | N | 监测编号 | |
| 3 | id_number | varchar | 64 | 0 | Y | N | 证件编号 | |
| 4 | pet_nickname | varchar | 64 | 0 | Y | N | 宠物昵称 | |
| 5 | pet_type | varchar | 64 | 0 | Y | N | 宠物类型 | |
| 6 | pet_photos | varchar | 255 | 0 | Y | N | 宠物照片 | |
| 7 | pet_gender | varchar | 64 | 0 | Y | N | 宠物性别 | |
| 8 | pet_owner | int | 10 | 0 | Y | N | 0 | 宠物主人 |
| 9 | user_name | varchar | 64 | 0 | Y | N | 用户姓名 | |
| 10 | contact_number | varchar | 16 | 0 | Y | N | 联系电话 | |
| 11 | registration_date | date | 10 | 0 | Y | N | 登记日期 | |
| 12 | warning_or_not | varchar | 64 | 0 | Y | N | 预警与否 | |
| 13 | monitoring_content | longtext | 2147483647 | 0 | Y | N | 监测内容 | |
| 14 | examine_state | varchar | 16 | 0 | N | N | 未审核 | 审核状态 |
| 15 | examine_reply | varchar | 16 | 0 | Y | N | 审核回复 | |
| 16 | create_time | datetime | 19 | 0 | N | N | CURRENT_TIMESTAMP | 创建时间 |
| 17 | update_time | timestamp | 19 | 0 | N | N | CURRENT_TIMESTAMP | 更新时间 |
| 18 | source_table | varchar | 255 | 0 | Y | N | 来源表 | |
| 19 | source_id | int | 10 | 0 | Y | N | 来源ID | |
| 20 | source_user_id | int | 10 | 0 | Y | N | 来源用户 |
| 编号 | 名称 | 数据类型 | 长度 | 小数位 | 允许空值 | 主键 | 默认值 | 说明 |
| 1 | notice_id | mediumint | 8 | 0 | N | Y | 公告id: | |
| 2 | title | varchar | 125 | 0 | N | N | 标题: | |
| 3 | content | longtext | 2147483647 | 0 | Y | N | 正文: | |
| 4 | create_time | timestamp | 19 | 0 | N | N | CURRENT_TIMESTAMP | 创建时间: |
| 5 | update_time | timestamp | 19 | 0 | N | N | CURRENT_TIMESTAMP | 更新时间: |
| 编号 | 名称 | 数据类型 | 长度 | 小数位 | 允许空值 | 主键 | 默认值 | 说明 |
| 1 | pet_information_id | int | 10 | 0 | N | Y | 宠物信息ID | |
| 2 | id_number | varchar | 64 | 0 | N | N | 证件编号 | |
| 3 | pet_nickname | varchar | 64 | 0 | N | N | 宠物昵称 | |
| 4 | pet_type | varchar | 64 | 0 | N | N | 宠物类型 | |
| 5 | pet_photos | varchar | 255 | 0 | N | N | 宠物照片 | |
| 6 | pet_gender | varchar | 64 | 0 | N | N | 宠物性别 | |
| 7 | health_information | varchar | 255 | 0 | N | N | 健康资料 | |
| 8 | pet_owner | int | 10 | 0 | Y | N | 0 | 宠物主人 |
| 9 | user_name | varchar | 64 | 0 | Y | N | 用户姓名 | |
| 10 | contact_number | varchar | 16 | 0 | Y | N | 联系电话 | |
| 11 | testing_reservation_limit_times | int | 10 | 0 | N | N | 0 | 检测预约限制次数 |
| 12 | violation_record_limit_times | int | 10 | 0 | N | N | 0 | 记录违规限制次数 |
| 13 | monitoring_and_early_warning_limit_times | int | 10 | 0 | N | N | 0 | 监测预警限制次数 |
| 14 | create_time | datetime | 19 | 0 | N | N | CURRENT_TIMESTAMP | 创建时间 |
| 15 | update_time | timestamp | 19 | 0 | N | N | CURRENT_TIMESTAMP | 更新时间 |
| 编号 | 名称 | 数据类型 | 长度 | 小数位 | 允许空值 | 主键 | 默认值 | 说明 |
| 1 | pet_owner_id | int | 10 | 0 | N | Y | 宠物主人ID | |
| 2 | user_name | varchar | 64 | 0 | Y | N | 用户姓名 | |
| 3 | contact_number | varchar | 16 | 0 | Y | N | 联系电话 | |
| 4 | examine_state | varchar | 16 | 0 | N | N | 已通过 | 审核状态 |
| 5 | user_id | int | 10 | 0 | N | N | 0 | 用户ID |
| 6 | create_time | datetime | 19 | 0 | N | N | CURRENT_TIMESTAMP | 创建时间 |
| 7 | update_time | timestamp | 19 | 0 | N | N | CURRENT_TIMESTAMP | 更新时间 |
| 编号 | 名称 | 数据类型 | 长度 | 小数位 | 允许空值 | 主键 | 默认值 | 说明 |
| 1 | pet_type_id | int | 10 | 0 | N | Y | 宠物类型ID | |
| 2 | pet_type | varchar | 64 | 0 | Y | N | 宠物类型 | |
| 3 | create_time | datetime | 19 | 0 | N | N | CURRENT_TIMESTAMP | 创建时间 |
| 4 | update_time | timestamp | 19 | 0 | N | N | CURRENT_TIMESTAMP | 更新时间 |
| 编号 | 名称 | 数据类型 | 长度 | 小数位 | 允许空值 | 主键 | 默认值 | 说明 |
| 1 | police_report_id | int | 10 | 0 | N | Y | 警情报告ID | |
| 2 | report_title | varchar | 64 | 0 | Y | N | 报告标题 | |
| 3 | cover_image | varchar | 255 | 0 | Y | N | 封面图 | |
| 4 | animal_type | varchar | 64 | 0 | Y | N | 动物类型 | |
| 5 | event_source | varchar | 64 | 0 | Y | N | 事件来源 | |
| 6 | announcement_date | date | 10 | 0 | Y | N | 公布日期 | |
| 7 | related_videos | varchar | 255 | 0 | Y | N | 相关视频 | |
| 8 | details_content | longtext | 2147483647 | 0 | Y | N | 详情内容 | |
| 9 | hits | int | 10 | 0 | N | N | 0 | 点击数 |
| 10 | create_time | datetime | 19 | 0 | N | N | CURRENT_TIMESTAMP | 创建时间 |
| 11 | update_time | timestamp | 19 | 0 | N | N | CURRENT_TIMESTAMP | 更新时间 |
| 编号 | 名称 | 数据类型 | 长度 | 小数位 | 允许空值 | 主键 | 默认值 | 说明 |
| 1 | praise_id | int | 10 | 0 | N | Y | 点赞ID: | |
| 2 | user_id | int | 10 | 0 | N | N | 0 | 点赞人: |
| 3 | create_time | timestamp | 19 | 0 | N | N | CURRENT_TIMESTAMP | 创建时间: |
| 4 | update_time | timestamp | 19 | 0 | N | N | CURRENT_TIMESTAMP | 更新时间: |
| 5 | source_table | varchar | 255 | 0 | Y | N | 来源表: | |
| 6 | source_field | varchar | 255 | 0 | Y | N | 来源字段: | |
| 7 | source_id | int | 10 | 0 | N | N | 0 | 来源ID: |
| 8 | status | bit | 1 | 0 | N | N | 1 | 点赞状态:1为点赞,0已取消 |
| 编号 | 名称 | 数据类型 | 长度 | 小数位 | 允许空值 | 主键 | 默认值 | 说明 |
| 1 | schedule_id | smallint | 5 | 0 | N | Y | 日程ID:[0,32767] | |
| 2 | content | varchar | 255 | 0 | Y | N | 日程内容 | |
| 3 | scheduled_time | datetime | 19 | 0 | Y | N | 计划时间 | |
| 4 | user_id | int | 10 | 0 | N | N | 用户id | |
| 5 | create_time | datetime | 19 | 0 | Y | N | 创建时间 | |
| 6 | update_time | datetime | 19 | 0 | Y | N | 更新时间 |
| 编号 | 名称 | 数据类型 | 长度 | 小数位 | 允许空值 | 主键 | 默认值 | 说明 |
| 1 | score_id | int | 10 | 0 | N | Y | 评分ID: | |
| 2 | user_id | int | 10 | 0 | N | N | 0 | 评分人: |
| 3 | nickname | varchar | 64 | 0 | Y | N | 昵称: | |
| 4 | score_num | double | 5 | 2 | N | N | 0.00 | 评分: |
| 5 | create_time | timestamp | 19 | 0 | N | N | CURRENT_TIMESTAMP | 创建时间: |
| 6 | update_time | timestamp | 19 | 0 | N | N | CURRENT_TIMESTAMP | 更新时间: |
| 7 | source_table | varchar | 255 | 0 | Y | N | 来源表: | |
| 8 | source_field | varchar | 255 | 0 | Y | N | 来源字段: | |
| 9 | source_id | int | 10 | 0 | N | N | 0 | 来源ID: |
| 编号 | 名称 | 数据类型 | 长度 | 小数位 | 允许空值 | 主键 | 默认值 | 说明 |
| 1 | slides_id | int | 10 | 0 | N | Y | 轮播图ID: | |
| 2 | title | varchar | 64 | 0 | Y | N | 标题: | |
| 3 | content | varchar | 255 | 0 | Y | N | 内容: | |
| 4 | url | varchar | 255 | 0 | Y | N | 链接: | |
| 5 | img | varchar | 255 | 0 | Y | N | 轮播图: | |
| 6 | hits | int | 10 | 0 | N | N | 0 | 点击量: |
| 7 | create_time | timestamp | 19 | 0 | N | N | CURRENT_TIMESTAMP | 创建时间: |
| 8 | update_time | timestamp | 19 | 0 | N | N | CURRENT_TIMESTAMP | 更新时间: |
| 编号 | 名称 | 数据类型 | 长度 | 小数位 | 允许空值 | 主键 | 默认值 | 说明 |
| 1 | testing_items_id | int | 10 | 0 | N | Y | 检测项目ID | |
| 2 | entry_name | varchar | 64 | 0 | N | N | 项目名称 | |
| 3 | project_price | double | 9 | 2 | Y | N | 0.00 | 项目价格 |
| 4 | create_time | datetime | 19 | 0 | N | N | CURRENT_TIMESTAMP | 创建时间 |
| 5 | update_time | timestamp | 19 | 0 | N | N | CURRENT_TIMESTAMP | 更新时间 |
| 编号 | 名称 | 数据类型 | 长度 | 小数位 | 允许空值 | 主键 | 默认值 | 说明 |
| 1 | testing_reservation_id | int | 10 | 0 | N | Y | 检测预约ID | |
| 2 | appointment_number | varchar | 64 | 0 | Y | N | 预约编号 | |
| 3 | id_number | varchar | 64 | 0 | Y | N | 证件编号 | |
| 4 | pet_nickname | varchar | 64 | 0 | Y | N | 宠物昵称 | |
| 5 | pet_type | varchar | 64 | 0 | Y | N | 宠物类型 | |
| 6 | pet_photos | varchar | 255 | 0 | Y | N | 宠物照片 | |
| 7 | pet_gender | varchar | 64 | 0 | Y | N | 宠物性别 | |
| 8 | pet_owner | int | 10 | 0 | Y | N | 0 | 宠物主人 |
| 9 | user_name | varchar | 64 | 0 | Y | N | 用户姓名 | |
| 10 | contact_number | varchar | 16 | 0 | Y | N | 联系电话 | |
| 11 | health_information | varchar | 255 | 0 | Y | N | 健康资料 | |
| 12 | entry_name | varchar | 64 | 0 | N | N | 项目名称 | |
| 13 | project_price | varchar | 64 | 0 | Y | N | 项目价格 | |
| 14 | appointment_date | date | 10 | 0 | Y | N | 预约日期 | |
| 15 | number_of_registrations | varchar | 64 | 0 | N | N | 登记次数 | |
| 16 | remarks_content | text | 65535 | 0 | Y | N | 备注内容 | |
| 17 | examine_state | varchar | 16 | 0 | N | N | 未审核 | 审核状态 |
| 18 | examine_reply | varchar | 16 | 0 | Y | N | 审核回复 | |
| 19 | detection_result_limit_times | int | 10 | 0 | N | N | 1 | 检测结果限制次数 |
| 20 | create_time | datetime | 19 | 0 | N | N | CURRENT_TIMESTAMP | 创建时间 |
| 21 | update_time | timestamp | 19 | 0 | N | N | CURRENT_TIMESTAMP | 更新时间 |
| 22 | source_table | varchar | 255 | 0 | Y | N | 来源表 | |
| 23 | source_id | int | 10 | 0 | Y | N | 来源ID | |
| 24 | source_user_id | int | 10 | 0 | Y | N | 来源用户 |
| 编号 | 名称 | 数据类型 | 长度 | 小数位 | 允许空值 | 主键 | 默认值 | 说明 |
| 1 | upload_id | int | 10 | 0 | N | Y | 上传ID | |
| 2 | name | varchar | 64 | 0 | Y | N | 文件名 | |
| 3 | path | varchar | 255 | 0 | Y | N | 访问路径 | |
| 4 | file | varchar | 255 | 0 | Y | N | 文件路径 | |
| 5 | display | varchar | 255 | 0 | Y | N | 显示顺序 | |
| 6 | father_id | int | 10 | 0 | Y | N | 0 | 父级ID |
| 7 | dir | varchar | 255 | 0 | Y | N | 文件夹 | |
| 8 | type | varchar | 32 | 0 | Y | N | 文件类型 |
| 编号 | 名称 | 数据类型 | 长度 | 小数位 | 允许空值 | 主键 | 默认值 | 说明 |
| 1 | user_id | int | 10 | 0 | N | Y | 用户ID:[0,8388607]用户获取其他与用户相关的数据 | |
| 2 | state | smallint | 5 | 0 | N | N | 1 | 账户状态:[0,10](1可用|2异常|3已冻结|4已注销) |
| 3 | user_group | varchar | 32 | 0 | Y | N | 所在用户组:[0,32767]决定用户身份和权限 | |
| 4 | login_time | timestamp | 19 | 0 | N | N | CURRENT_TIMESTAMP | 上次登录时间: |
| 5 | phone | varchar | 11 | 0 | Y | N | 手机号码:[0,11]用户的手机号码,用于找回密码时或登录时 | |
| 6 | phone_state | smallint | 5 | 0 | N | N | 0 | 手机认证:[0,1](0未认证|1审核中|2已认证) |
| 7 | username | varchar | 16 | 0 | N | N | 用户名:[0,16]用户登录时所用的账户名称 | |
| 8 | nickname | varchar | 16 | 0 | Y | N | 昵称:[0,16] | |
| 9 | password | varchar | 64 | 0 | N | N | 密码:[0,32]用户登录所需的密码,由6-16位数字或英文组成 | |
| 10 | | varchar | 64 | 0 | Y | N | 邮箱:[0,64]用户的邮箱,用于找回密码时或登录时 | |
| 11 | email_state | smallint | 5 | 0 | N | N | 0 | 邮箱认证:[0,1](0未认证|1审核中|2已认证) |
| 12 | avatar | varchar | 255 | 0 | Y | N | 头像地址:[0,255] | |
| 13 | open_id | varchar | 255 | 0 | Y | N | 针对获取用户信息字段 | |
| 14 | create_time | timestamp | 19 | 0 | N | N | CURRENT_TIMESTAMP | 创建时间: |
| 编号 | 名称 | 数据类型 | 长度 | 小数位 | 允许空值 | 主键 | 默认值 | 说明 |
| 1 | group_id | mediumint | 8 | 0 | N | Y | 用户组ID:[0,8388607] | |
| 2 | display | smallint | 5 | 0 | N | N | 100 | 显示顺序:[0,1000] |
| 3 | name | varchar | 16 | 0 | N | N | 名称:[0,16] | |
| 4 | description | varchar | 255 | 0 | Y | N | 描述:[0,255]描述该用户组的特点或权限范围 | |
| 5 | source_table | varchar | 255 | 0 | Y | N | 来源表: | |
| 6 | source_field | varchar | 255 | 0 | Y | N | 来源字段: | |
| 7 | source_id | int | 10 | 0 | N | N | 0 | 来源ID: |
| 8 | register | smallint | 5 | 0 | Y | N | 0 | 注册位置: |
| 9 | create_time | timestamp | 19 | 0 | N | N | CURRENT_TIMESTAMP | 创建时间: |
| 10 | update_time | timestamp | 19 | 0 | N | N | CURRENT_TIMESTAMP | 更新时间: |
| 编号 | 名称 | 数据类型 | 长度 | 小数位 | 允许空值 | 主键 | 默认值 | 说明 |
| 1 | violation_record_id | int | 10 | 0 | N | Y | 违规记录ID | |
| 2 | registration_number | varchar | 64 | 0 | Y | N | 登记编号 | |
| 3 | id_number | varchar | 64 | 0 | Y | N | 证件编号 | |
| 4 | pet_nickname | varchar | 64 | 0 | Y | N | 宠物昵称 | |
| 5 | pet_type | varchar | 64 | 0 | Y | N | 宠物类型 | |
| 6 | pet_photos | varchar | 255 | 0 | Y | N | 宠物照片 | |
| 7 | pet_gender | varchar | 64 | 0 | Y | N | 宠物性别 | |
| 8 | pet_owner | int | 10 | 0 | Y | N | 0 | 宠物主人 |
| 9 | user_name | varchar | 64 | 0 | Y | N | 用户姓名 | |
| 10 | contact_number | varchar | 16 | 0 | Y | N | 联系电话 | |
| 11 | registration_date | date | 10 | 0 | Y | N | 登记日期 | |
| 12 | number_of_violations | double | 9 | 2 | Y | N | 0.00 | 违规次数 |
| 13 | violation_content | longtext | 2147483647 | 0 | Y | N | 违规内容 | |
| 14 | examine_state | varchar | 16 | 0 | N | N | 未审核 | 审核状态 |
| 15 | examine_reply | varchar | 16 | 0 | Y | N | 审核回复 | |
| 16 | create_time | datetime | 19 | 0 | N | N | CURRENT_TIMESTAMP | 创建时间 |
| 17 | update_time | timestamp | 19 | 0 | N | N | CURRENT_TIMESTAMP | 更新时间 |
| 18 | source_table | varchar | 255 | 0 | Y | N | 来源表 | |
| 19 | source_id | int | 10 | 0 | Y | N | 来源ID | |
| 20 | source_user_id | int | 10 | 0 | Y | N | 来源用户 |
5系统实现
5.1宠物主人功能实现
5.1.1首页
首页是系统的主界面,展示平台的核心内容,包括轮播图、最新系统公告、科普知识等。用户可以通过首页快速访问各个功能模块,还可以根据关键词搜索相关内容,如图5-1所示。

图5-1系统首页界面图
5.1.2科普知识
点击系统导航栏上的“科普知识”菜单按钮,将进入科普知识列表,用户可以查看系统发布的所有科普知识。点击科普知识后进入详情页,可以查看科普知识的完整内容,用户可以进行点赞、收藏、评论等操作。科普知识列表页面如图5-2所示。

图5-2科普知识列表界面图
5.1.3警情报告
点击系统导航栏上的“警情报告”菜单按钮,将进入警情报告列表,用户可以浏览所有的警情报告信息,支持根据关键词搜索和下拉搜索。点击某条警情报告信息可查看详细内容,用户可以进行点赞、收藏、评论等。警情报告列表如图5-3所示。警情报告详情页如图5-4所示。

图5-3警情报告列表界面图

图5-4警情报告详情详情界面图
5.1.4宠物信息
点击系统导航栏上的“宠物信息”菜单按钮,用户可以添加和管理宠物的基本信息,包括宠物的种类、年龄、健康状况等,便于进行健康监测和管理。宠物信息添加页如图5-5所示。

图5-5宠物信息添加界面图
5.1.5个人中心
个人中心:包括个人首页、宠物信息、检测预约、检测结果、违规记录、监测预警、收藏、评论管理等功能。宠物信息:用户可以管理和更新宠物的详细信息。检测预约:用户可以预约宠物的健康检测。检测结果:用户可以查看宠物的健康检测结果,跟踪健康状况。违规记录:用户可以查看与宠物相关的违规记录。监测预警:用户可以查看系统监测预警信息,了解宠物的健康变化或异常行为。收藏:用户可以查看和管理收藏的科普知识和信息。评论管理:用户可以对系统提供的服务和科普知识进行评价,也可查看被回复内容。检测预约页面如图5-6所示。检测结果页面如图5-7所示。违规记录页面如图5-8所示。监测预警页面如图5-9所示。

图5-6检测预约界面

图5-7检测结果界面

图5-8违规记录界面

图5-9监测预警界面
5.2管理员功能实现
5.2.1系统用户管理
基于互联网的城市宠物管理系统中的管理人员是可以对注册的宠物主人进行管理的,包括对用户信息进行增删改查等操作,也可以对管理员进行管控。界面如下图5-10所示。

图5-10用户管理界面图
5.2.2 警情报告管理
管理员点击“警情报告管理”这一菜单会显示警情报告列表和警情报告添加两个子菜单,点击“警情报告列表”可以查看警情报告详情和用户评论,可以进行查询、删除等操作。点击“警情报告添加”,管理员可以添加新的警情报告。警情报告列表界面如下图5-11所示。

图5-11警情报告列表界面图
5.2.3 检测预约管理
管理员点击“检测预约管理”这一菜单会显示检测预约列表,管理员可以查看和审核用户提交的检测预约申请,可以进行查询、删除等操作。检测预约列表界面如下图5-12所示。

图5-12检测预约列表界面图
5.2.4 检测结果管理
管理员点击“检测结果管理”这一菜单,可以查看和管理检测结果,还可以录入检测结果信息等操作。检测结果录入界面如下图5-13所示。

图5-13检测结果录入界面图
5.2.5 系统管理
管理员点击“系统管理-轮播图管理”菜单,可以对前台展示的轮播图进行设置,界面如下图5-14所示。

图5-14轮播图管理界面图
5.2.6 系统公告管理
管理员点击“系统公告管理”这个菜单,可以对系统中的系统公告进行管理,包括系统公告的增删改查等操作。系统公告管理界面如下图所示。

图5-15系统公告管理界面图
5.2.7资源管理
管理员点击“资源管理”菜单,管理员可以上传、编辑或删除系统的资源,如文章、图片、视频等。这些资源可用于科普知识模块的展示。管理员还可以对知识进行分类和标签化,方便用户查找和使用,界面如下图所示。

图5-16资源管理界面图
6系统测试
6.1系统测试目标
为了保证“基于互联网的城市宠物管理系统”的质量,使其能够稳定的运行,并排除其可能存在的未知隐患。解除软件可能存在的故障,理清楚测试与纠错的关系,如图6-1所示。

图6-1测试与纠错信息流程
6.2系统功能测试
通过对系统中所含的主要实体对象及其功能操作进行测试用例设计。以下是详细的测试:
表6-1用户注册登录测试表
用户注册登录测试用例:
| 用例说明 | 测试目的 | 测试步骤 | 预期结果 | 输出结果 | 通过情况 |
| 用户注册、登录 | 测试用户正确注册、登录 |
| 用户注册成功,登录成功 | 结果输出符合预期 | 通过 |
表6-2警情报告查询测试表
警情报告查询用例:
| 用例说明 | 测试目的 | 测试步骤 | 预期结果 | 输出结果 | 通过情况 |
| 警情报告查询 | 测试用户警情报告查询功能 |
| 显示含有关键词的警情报告 | 结果输出符合预期 | 通过 |
表6-3评论测试表
评论测试用例:
| 用例说明 | 测试目的 | 测试步骤 | 预期结果 | 输出结果 | 通过情况 |
| 评论 | 测试用户评论功能 | 1、在首页点击科普知识并看详情; 2、点击评论,输入相关信息点击提交 | 生成新的评论信息 | 结果输出符合预期 | 通过 |
表6-4检测项目添加测试表
管理员检测项目添加测试用例:
| 用例说明 | 测试目的 | 测试步骤 | 预期结果 | 输出结果 | 通过情况 |
| 检测项目添加测试 | 测试管理员添加检测项目功能 |
| 检测项目添加成功 | 结果输出符合预期 | 通过 |
表6-5系统公告删除测试表
系统公告删除测试用例:
| 用例说明 | 测试目的 | 测试步骤 | 预期结果 | 输出结果 | 通过情况 |
| 系统公告删除测试 | 测试系统公告删除功能 |
| 系统公告删除成功,前端不在展示该系统公告 | 结果输出符合预期 | 通过 |
6.3性能测试
- 兼容性测试
表6-6 兼容性测试用例
| 用例编号 | 测试类型 | 测试目标 | 操作过程 | 预期结果 |
| 兼容性_01 | 设备兼容性 | 测试系统在不同设备上的表现 | 在多种设备上访问系统并记录表现 | 系统在各种设备上都能正常加载和显示页面 |
| 兼容性_02 | 浏览器兼容性 | 测试系统在不同浏览器上的表现 | 在多种浏览器中访问系统并记录表现 | 系统在各种主流浏览器上都能正常加载和显示页面 |
| 兼容性_03 | 分辨率兼容性 | 测试系统在不同分辨率下的显示效果 | 在不同分辨率的设备上访问系统并记录表现 | 系统在各种分辨率下都能适应并正常显示内容 |
| 兼容性_04 | 操作系统兼容性 | 测试系统在不同操作系统上的运行情况 | 在不同操作系统上访问系统并记录表现 | 系统能够在常用操作系统上正常运行和显示 |
- 性能测试
表6-7 性能测试用例
| 用例编号 | 测试类型 | 测试目标 | 操作过程 | 预期结果 |
| 性能_01 | 负载测试 | 测试系统在正常负载下的性能 | 逐步增加用户数来模拟不同的负载情况 | 系统能够稳定处理并响应不同数量的用户请求 |
| 性能_02 | 压力测试 | 测试系统在极端负载下的性能 | 以超过系统承受极限的用户数来测试系统 | 系统能够在高负载情况下仍然保持正常运行 |
| 性能_03 | 并发测试 | 测试系统能同时处理多少并发用户请求 | 同时发送多个并发用户请求来测试系统性能 | 系统能够有效地处理多个并发请求 |
| 性能_04 | 数据量测试 | 测试系统在大数据量下的性能 | 向系统添加大量数据并测试系统响应时间 | 系统能够在大数据量情况下保持较快的响应时间 |
6.4测试结果总结
全部测试用例都已通过,且不存在漏洞,实现了本论文开始时所作要求和期望。本系统运行稳定,使用流畅,可以满足客户需求。试运行后进行系统评估,可以认为该系统达到预定的目标要求,可以满足用户的需求,也满足了系统开发前所作目标。系统在经过大量重复测试后运行十分稳定,安全实用,功能模块已经达到预定目标所需。在规定的时间内实现系统的大部分功能,且满足要求,节省开发成本,有助于提高科学管理水平,符合本人经济情况。
简而言之,经过严格的测试,可以发现该系统的功能和性能非常出色,它的精度、可靠性、稳健性都达到了极高的水平,而且它还支持快速、精细的点击操作,使用者的使用感受更加良好。此外,它还支持各种主流浏览器,满足不同的使用要求。
结 论
本论文围绕基于互联网的城市宠物管理系统的设计与实现进行了深入的研究,利用Spring Boot框架、MySQL数据库和Java编程语言,构建了一个高效、便捷的宠物管理平台。通过对系统的需求分析、功能设计、技术实现及测试,系统最终实现了宠物信息管理、健康监测、警情报告和用户互动等多种功能。
研究表明,该系统不仅满足了宠物主人在日常管理中的实际需求,还为管理者提供了有效的工具,以便于对城市宠物的整体情况进行监控和管理。系统的设计采用了前后端分离的架构,使得各个模块之间的交互更加灵活,前端用户界面友好,提升了用户体验。
经过全面的测试,系统在功能完整性、性能稳定性和数据安全性方面表现良好,能够在高并发情况下保持良好的响应速度,确保用户数据的安全和可靠。系统的实施为城市宠物管理的现代化提供了有效的技术支持,促进了宠物主人与管理部门之间的沟通与互动。
综上所述,本研究不仅为城市宠物管理提供了切实可行的解决方案,还为未来相关领域的研究和实践提供了参考。
参考文献
[1]Nuyts J ,Pour Z S ,Noë S , et al.On estimating the effective sensitivity of a TOF-PET system for a particular imaging task[J].Journal of Instrumentation,2024,19(12):C12002-C12002.
[2]殷志强,钟卫东.基于SpringBoot应用中的XSS攻击防御技术[J].工业控制计算机,2024,37(11):62-64.
[3]于中阳.城市宠物信息化管理研究[J].产业与科技论坛,2024,23(18):228-230.
[4]Nakamura M ,Akada R .Blending of selected yeast extract and peptone for inducible and constitutive protein production in Escherichia coli using the pET system.[J].Journal of bioscience and bioengineering,2024,138(6):548-556.
[5]Liu H .Comparative Application of Teaching Methods in C Language and JAVA Programming Courses[J].International Journal of New Developments in Education,2024,6(1):
[6]张雨蝶,周春柳.高校流浪动物的数字化管理探索[J].中国动物检疫,2023,40(11):41-45+88.
[7]Liang C .School Vehicle Management System Based on JAVA Language[J].Academic Journal of Computing & Information Science,2023,6(9):
[8]肖新凤.基于FISCO BCOS宠物管理系统设计与实现[J].信息与电脑(理论版),2023,35(16):133-135.
[9]陈蓓蕾,洪年松.基于SpringBoot的数据库接口设计[J].信息与电脑(理论版),2023,35(16):181-183.
[10]庞嵩昊,李盈,赵艺,等.基于Vue和SpringBoot前后端分离的宠物服务系统的设计与实现[J].电脑知识与技术,2023,19(21):42-45.DOI:10.14004/j.cnki.ckt.2023.1068.
[11]王志亮,纪松波.基于SpringBoot的Web前端与数据库的接口设计[J].工业控制计算机,2023,36(03):51-53.
[12]平欣,宋育斌,孔维宾,等.基于GPS与微信小程序的智能宠物管理系统设计[J].软件导刊,2023,22(02):121-126.
[13]陈治宇.物联网智能宠物管理系统[C]//四川省电子学会,重庆市电子学会,四川省职业技能竞赛研究中心.2022年川渝大学生“数智”作品设计应用技能大赛暨第八届四川省大学生智能硬件设计应用大赛会议论文集.四川师范大学;,2022:8.DOI:10.26914/c.cnkihy.2022.077397.
[14]方舟,王俊杰,朱海轩,等.基于STM32的宠物报警系统设计[J].物联网技术,2022,12(05):5-7.DOI:10.16667/j.issn.2095-1302.2022.05.001.
[15]庄帅.宠物管理系统的设计及实现[J].福建电脑,2022,38(05):68-72.DOI:10.16707/j.cnki.fjpc.2022.05.017.
[16]霍福华,韩慧.基于SpringBoot微服务架构下前后端分离的MVVM模型[J].电子技术与软件工程,2022,(01):73-76.
[17]张楠楠,盛赛男.基于单片机的宠物防走失系统设计[J].周口师范学院学报,2021,38(05):36-39.DOI:10.13450/j.cnki.jzknu.2021.05.008.
[18]王亚文,赵翠.基于SSM框架的社区宠物信息管理系统设计与分析[J].电脑编程技巧与维护,2021,(01):103-105.DOI:10.16184/j.cnki.comprg.2021.01.036.
[19]叶军,华旭奋,孙晓艳.基于用户体验的互联网+宠物管理系统设计与实现[J].科技创新与应用,2020,(31):87-89.
[20]谢文涛,林瑞冬,王妮,等.基于Django的宠物信息交流管理系统设计[J].电脑知识与技术,2019,15(25):57-58+69.DOI:10.14004/j.cnki.ckt.2019.3056.
致 谢
在撰写这篇基于互联网的城市宠物管理系统的毕业论文之际,我满怀感激之情,回顾整个设计过程,从最初的构想到最终的成果,每一步都凝聚了众多人的支持与帮助。
在此,我要特别感谢我的导师。是您的悉心指导与无私奉献,让我在迷茫时找到了方向,在困难前鼓起了勇气。您的严谨治学态度和深厚学术造诣,不仅让我在学术上受益匪浅,更在人生道路上树立了榜样。
我也要感谢我的同学们。我们一起熬夜讨论,一起解决难题,你们的陪伴与帮助,让我的大学生活更加丰富多彩。在团队合作中,我学会了沟通与协作,也更加珍惜这份难得的友谊。
我还要感谢我的家人。是你们的理解与支持,让我能够全身心地投入到学业中。在我遇到挫折时,是你们给予我温暖与鼓励,让我有勇气面对一切挑战。
展望未来,我将带着这份感激与收获,继续前行。我深知,技术的道路永无止境,我将不断学习新知识,掌握新技能,为未来的工作与研究打下坚实的基础。同时,我也希望能将所学应用到更广阔的领域,为社会的发展贡献自己的一份力量。
请关注点赞+私信博主,免费领取项目源码
2584

被折叠的 条评论
为什么被折叠?



