摘 要
本论文设计并实现了基于SpringBoot的员工考勤管理系统,系统主要面向企业管理员与员工用户,提供了一套完整的考勤管理和信息服务平台。系统采用SpringBoot框架进行后台开发,通过完善的功能模块支持管理员对公司内部的考勤、请假、资产申请、工资发放等事务的高效管理,并为员工提供便捷的自助服务。
管理员可以通过系统管理用户信息、发布公告、安排会议、维护客户信息、审批请假和资产申请等,确保了企业内部运营的顺畅性。系统通过考勤打卡管理功能,帮助管理员准确掌握员工的出勤情况,并能够进行异常处理,如漏打卡、迟到、早退等,确保考勤数据的准确性与公正性。同时,系统还具备工资信息管理模块,管理员可通过该模块对员工的工资进行管理和发放,确保薪酬的公平和及时。
员工用户则可以通过后台查看公告、会议信息、客户资料,管理自己的考勤打卡记录、请假申请和资产申请等,方便快捷地查询自己的工作状态和相关数据,提升了工作效率和满意度。
本系统的设计实现注重高效性、安全性和易用性,通过整合SpringBoot的强大开发能力,实现了后台管理系统的功能全面覆盖,具有良好的扩展性,能够满足企业日常运营的各类需求,提升了企业内部管理的自动化和信息化水平。
关键词:SpringBoot;员工考勤管理;信息服务;工资信息;会议信息
ABSTRACT
This paper designs and implements an employee attendance management system based on SpringBoot, which is mainly aimed at enterprise administrators and employee users, providing a complete attendance management and information service platform. The system adopts the SpringBoot framework for backend development, which supports administrators to efficiently manage internal affairs such as attendance, leave, asset application, and salary payment through comprehensive functional modules, and provides convenient self-service for employees.
Administrators can manage user information, publish announcements, schedule meetings, maintain customer information, approve leave and asset applications through the system, ensuring smooth internal operations of the enterprise. The system uses attendance clock in management function to help administrators accurately grasp employees' attendance status and handle exceptions such as missed clock in, tardiness, early departure, etc., ensuring the accuracy and fairness of attendance data. At the same time, the system also has a salary information management module, through which administrators can manage and distribute employees' salaries, ensuring fairness and timeliness of compensation.
Employee users can view announcements, meeting information, customer profiles, manage their attendance records, leave applications, and asset applications through the backend, and conveniently and quickly query their work status and related data, improving work efficiency and satisfaction.
The design and implementation of this system focuses on efficiency, security, and ease of use. By integrating the powerful development capabilities of SpringBoot, it achieves comprehensive coverage of backend management system functions, has good scalability, and can meet various needs of enterprise daily operations, improving the automation and informatization level of internal management.
key word: SpringBoot; Employee attendance management; Information services; Salary information; meeting information
目 录
1绪论
1.1课题研究背景及意义
随着现代企业对管理效率和信息化水平的要求不断提高,传统的人工考勤管理方式已无法满足企业快速发展的需求。传统考勤管理方式往往依赖于人工记录和手工处理,存在信息录入不准确、数据传递慢、管理效率低下等问题,影响了企业的运营效率和员工的工作积极性。随着信息技术的不断发展,尤其是企业信息化建设的逐步推进,基于信息技术的考勤管理系统逐渐成为解决企业管理瓶颈的有效手段。
SpringBoot作为一种轻量级的开发框架,因其快速开发和高效性得到了广泛的应用。利用SpringBoot框架进行员工考勤管理系统的开发,可以帮助企业实现自动化的考勤管理,简化繁琐的人工操作,提高数据处理的准确性和效率。此外,后台管理系统通过集成考勤、请假、工资、资产等多项管理功能,可以大大提升企业内部管理的透明度和协调性,减少管理成本,提升整体工作效率。
设计并实现基于SpringBoot的员工考勤管理系统,不仅为企业提供了一个便捷、高效的工具来管理员工的出勤情况和相关事务,也为企业内部的管理流程提供了自动化解决方案。通过系统化的管理方式,企业能够实时掌握员工的工作状态,确保考勤数据的准确性和规范性,进而优化人力资源管理、提升员工满意度、减少管理风险,推动企业的健康发展。
1.2国内外发展现状分析
在国内外,员工考勤管理的研究和应用已经取得了显著进展。随着企业规模的扩大与管理需求的日益复杂,传统的人工考勤管理方式逐渐暴露出许多弊端,如数据处理不准确、信息反馈迟缓、管理效率低等问题。为了解决这些问题,越来越多的企业开始寻求基于信息化技术的考勤管理解决方案。
国外的考勤管理系统发展较早,许多发达国家的企业已经采用了自动化考勤管理系统。例如,许多欧美国家的企业已通过集成RFID、指纹识别、面部识别等技术,实现了考勤管理的自动化和数字化。这些系统能够通过硬件设备进行员工打卡,系统后台根据打卡数据进行自动处理,减少了人工干预,提高了管理效率。同时,国外的考勤系统在灵活性和扩展性方面也具有较强的优势,可以根据企业的需求进行定制化开发,满足不同规模企业的管理需求。
在国内,随着信息化技术的普及与企业管理模式的转型,越来越多的企业开始采用数字化考勤系统。国内一些企业借助传统的人力资源管理系统(HRM)实现了考勤数据的记录、查询与分析,但这类系统往往功能单一,缺乏灵活性和定制化服务。近年来,随着SpringBoot等开发框架的出现,越来越多的开发者开始采用这些先进的技术手段,设计并实现了高效、稳定且易于扩展的后台管理系统。国内的研究与实践多集中于如何优化考勤数据的准确性和管理的高效性,尤其是通过集成多种考勤方式(如打卡、请假、加班等)实现对员工出勤情况的全面管理。
国内外的研究表明,基于现代开发框架(如SpringBoot)的考勤管理系统在系统稳定性、性能以及可扩展性方面具有显著优势。通过后台管理系统,企业不仅能够轻松管理员工的出勤记录,还能够进行数据分析、考勤异常处理、工资结算等,提升了管理的自动化与智能化水平。
总体而言,基于SpringBoot的员工考勤管理系统设计与实现已经成为现代企业信息化管理的重要方向。在全球范围内,尤其是国内外对于企业高效管理与优化流程的需求不断增加,基于信息技术的考勤管理方案将在提高企业运营效率、降低管理成本、保障数据准确性等方面发挥更加重要的作用。
1.3论文组织结构
本论文共分为七个主要章节,具体结构如下:
1. 绪论:介绍研究背景与意义,回顾国内外研究现状,并概述论文的组织结构。
2. 相关技术介绍:详细介绍与本研究相关的技术,包括Java语言、B/S框架、SpringBoot框架、Vue技术和MySQL数据库。
3. 需求分析:对系统的功能需求和非功能需求进行分析,明确用户和管理员的需求,并进行可行性分析,包括技术、操作和经济可行性。
4. 系统设计:涵盖系统架构设计、总体流程设计和功能设计,并进行数据库的概念设计与表设计。
5. 系统实现:具体描述各个功能模块的实现过程,展示系统如何根据需求进行开发。
6. 系统测试:阐述测试的目的、方法和内容,分析测试结果并得出结论,以验证系统的稳定性和功能完整性。
7. 总结:总结研究的主要成果和贡献,指出存在的不足及未来的研究方向。
2相关技术简介
2.1Java语言
Java语言是一种广泛使用的高级编程语言,具有平台无关性、面向对象特性和丰富的标准库[1]。Java通过Java虚拟机(JVM)实现跨平台运行,开发者可以编写一次代码,在任何支持JVM的环境中执行。Java的面向对象特性使得代码复用和模块化变得更加容易,促进了软件的维护和扩展。Java支持多线程编程,允许开发者在同一程序中同时执行多个任务,提升了应用程序的性能。
Java语言的语法结构简洁且易于理解,吸引了大量开发者[2]。Java的标准库包含数据结构、输入输出处理、网络编程等众多功能模块。这使得开发者在构建应用程序时能够高效利用已有工具,减少重复劳动。Java广泛应用于企业级应用、移动应用、Web开发和大数据处理等领域。
2.2 B/S框架
B/S(Browser/Server)架构是一种基于浏览器和服务器的系统架构模式,用户通过浏览器与服务器进行交互。B/S架构简化了客户端的部署和管理,用户无需在本地安装复杂的软件,只需使用标准浏览器即可访问应用程序。服务器端负责处理业务逻辑和数据存储,客户端则主要负责展示用户界面和数据交互[3]。B/S架构的设计使得系统更新和维护集中在服务器端,降低了维护成本。
B/S架构通常采用Web技术进行实现,包括HTML、CSS和JavaScript等。用户在浏览器中发起请求,服务器响应并返回数据。数据传输通常通过HTTP或HTTPS协议进行,B/S架构的灵活性使其适用于在线购物、信息管理系统和社交网络等各类应用场景[4]。由于其易于扩展性,B/S架构可以方便地支持大规模用户访问,适应不断变化的业务需求。
2.3 SpringBoot框架
SpringBoot框架是基于Spring框架的开源项目,简化Java应用程序的开发过程。SpringBoot通过约定优于配置的理念,减少了传统Spring应用的繁琐配置,开发者可以快速搭建和部署应用程序。框架提供了一系列默认配置,支持自动化配置,简化了应用启动的复杂性[5]。SpringBoot内置了嵌入式Web服务器,使得开发者能够独立运行Java应用,无需外部容器。
SpringBoot支持微服务架构,开发者可以轻松创建和管理多个微服务。框架集成了丰富的功能模块,包括安全、数据访问和消息中间件等,支持RESTful API和JSON数据格式的处理[6]。SpringBoot还提供了强大的监控和管理功能,允许开发者实时监控应用的健康状态和性能指标。借助SpringBoot,开发者能够高效构建和维护现代企业级应用,满足复杂业务需求。
2.4 Vue技术
Vue是一种渐进式JavaScript框架,专注于构建用户界面。Vue采用组件化的开发模式,允许开发者将应用程序拆分为独立的、可重用的组件,从而提高了开发效率和代码的可维护性[7]。框架的核心库专注于视图层,支持数据绑定和DOM操作,提供了简洁的API。Vue的虚拟DOM机制提升了应用的性能,减少了实际DOM操作的次数。
Vue支持双向数据绑定,能够自动更新视图与模型之间的变化。开发者可以通过Vue的指令系统,简化数据展示和事件处理。Vue还支持路由管理和状态管理,使得开发复杂单页面应用变得更加容易[8]。借助Vue的生态系统,开发者能够使用多种工具和库来扩展功能,满足不同的业务需求。Vue在前端开发中逐渐成为主流选择,受到广泛关注和应用。
2.5 MySQL数据库
MySQL是一种开源关系型数据库管理系统,广泛应用于Web应用和企业级数据存储。MySQL支持结构化查询语言,允许开发者通过标准语句进行数据的创建、读取、更新和删除操作[9]。数据库通过表格形式组织数据,支持数据完整性和约束条件的定义。MySQL的存储引擎机制使得用户可以根据具体需求选择不同的存储引擎,以优化性能和功能。
MySQL具有高性能和可扩展性,支持大规模数据存储和高并发访问。系统提供了丰富的用户权限管理和数据加密安全特性。MySQL能够与多种编程语言和框架兼容,广泛应用于内容管理系统、电子商务平台和数据分析等各种场景。
3系统需求分析
3.1系统功能需求分析
基于SpringBoot的员工考勤管理系统全面覆盖了管理员和员工用户的需求,具体功能可以分为后台管理员和员工用户两大类。以下是对两者功能模块的详细分析:
1.管理员功能模块
后台首页:后台首页作为管理员进入系统后的第一个界面,主要用于展示系统的整体状态、通知信息、各类统计数据以及快捷的导航入口。
系统用户管理:管理员可以对系统中的所有用户进行管理,包括员工的新增、删除、修改、查询等操作。管理员可以在此模块中为员工创建账号、修改密码、分配权限以及处理员工信息的变更。
系统公告管理:管理员可以发布公司内部公告,员工可以在后台查看公告的内容,获取最新的公司动态、政策变化等信息。管理员可以管理公告的发布、编辑和删除,确保信息的及时传达和管理的高效性。
部门信息管理:管理员可以管理公司各部门的信息,包括部门的新增、修改、删除等操作。
会议信息管理:管理员可以创建、修改和删除会议安排,安排部门内部或公司范围的会议。管理员可以为会议设置时间、地点、参会人员、会议议题等,并且可以通知员工参与会议,有助于提高公司内部沟通和协作的效率。
客户信息管理:管理员可以查看客户的基本信息,新增或编辑客户信息。
考勤打卡管理:管理员可以查看员工的打卡记录,进行打卡数据的审核与修正。
请假申请管理:管理员可以查看和审批员工的请假申请。
资产申请管理:管理员可以查看和批准员工的资产申请。管理员可以审核申请的资产是否符合公司政策,并进行审批操作,确保资产资源的合理分配。
工资信息管理:管理员可以根据员工的出勤、请假、考勤等情况,录入员工的工资信息。
2.员工用户功能模块
系统公告管理:员工可以在该模块查看系统发布的公告和通知,获取公司内部的动态、政策更新以及重要的通知。
会议信息管理:员工可以查看公司安排的会议内容,包括会议时间、地点、参会人员等详细信息。
客户信息管理:员工可以查看公司客户的基本信息,帮助员工更好地了解客户需求和合作关系,方便在工作中与客户进行更为精准的沟通和服务。
考勤打卡管理:员工通过考勤打卡管理模块,可以进行登记打卡信息,查看打卡记录。
请假申请管理:员工可以通过此模块提交请假申请,填写请假原因和时长等相关信息。员工可以查看自己提交的请假申请的状态,并在必要时进行修改或取消。管理员审批后的请假结果也会及时反馈给员工。
资产申请管理:员工可以在资产申请管理模块中申请公司提供的办公设备或其他资源,提交申请表单并查看申请的处理进度。
工资信息管理:员工可以查看自己的工资信息,包括工资明细、扣除项、发放记录等。
通过这些功能模块的设计,系统能够实现对员工日常工作和考勤的全面管理,并提升企业资源的管理效率。同时,员工能够更方便地了解自己的工作状况,提出申请并参与管理,提高了员工的工作积极性和满意度。
3.2系统非功能性分析
员工考勤管理系统在撰写系统毕业论文时,非功能性需求分析是一个重要的部分。非功能性需求主要关注的是系统如何运行,而不是它具体完成什么功能。这些需求包括性能、可用性、安全性、可维护性、可扩展性、易用性等方面。以下是一个关于员工考勤管理系统非功能性需求分析的概要。
性能需求:系统需确保快速响应和高吞吐量,以支持大量用户同时访问,即使在高峰时段也能保持流畅的操作体验,避免因延迟或卡顿影响用户体验。
可用性:安系统必须具备高可用性,采用冗余部署、负载均衡等策略,确保即使部分组件故障也能迅速恢复服务,减少服务中断时间,保障用户业务的连续性。
安全性:鉴于系统处理用户敏感信息,如个人信息等,必须实施严格的安全措施,包括数据加密、访问控制、防攻击机制等,以保护用户数据免受未授权访问或泄露。
可维护性:系统设计应注重可维护性,采用模块化、标准化的架构,提供详尽的开发文档和用户手册,确保系统易于理解和维护,降低长期运维成本。
可扩展性:随着业务的发展,系统可能需要扩展功能或提升性能。因此,系统需具备灵活的可扩展性,能够轻松添加新模块、优化性能,以应对未来增长的需求。
易用性:用户界面应直观易用,符合用户习惯,提供清晰的导航和友好的操作反馈,帮助用户快速上手并高效完成任务,提升整体用户满意度。
3.3系统可行性分析
通过员工考勤管理系统的可行性分析,我们可以从技术可行性、经济可行性、操作可行性三个维度进行深入探讨,以确保系统的开发与应用具有坚实的可行性基础。
3.3.1技术可行性
Springboot作为目前流行的Java企业级应用开发框架,以其“约定优于配置”的原则,极大地简化了开发流程,降低了技术门槛。同时,结合MyBatis Plus这一强大的ORM框架,可以高效实现数据持久化操作。MySQL数据库作为后端数据存储,以其高性能和稳定性为系统提供了可靠的数据支持。综上所述,从技术角度来看,该系统的开发具备高度可行性。
3.3.2经济可行性
考虑到Springboot、MyBatis Plus及MySQL等均为开源技术,无需支付高昂的许可费用,大大降低了系统的开发成本。同时,这些技术拥有广泛的用户群体和成熟的社区支持,便于获取技术支持和资源共享。此外,系统的实施将显著提升员工考勤管理系统的效率和用户体验,从而带来潜在的经济效益。因此,从经济角度来看,员工考勤管理系统的开发同样具备可行性。
3.3.3操作可行性
系统设计应遵循用户友好原则,确保用户能够轻松上手并高效使用。通过合理的界面布局、直观的操作流程以及详尽的帮助文档,可以大大降低用户的学习成本,提高系统的操作可行性。此外,系统还应具备完善的权限管理和数据安全机制,确保操作的安全性和合规性。
从技术、经济、操作三个维度来看,员工考勤管理系统的开发均具备高度的可行性。
3.4系统用例分析
员工考勤管理系统用例分析主要从员工用户、管理员这些实体展开描述。
3.4.1员工用户用例分析
员工用户具备后台首页、系统公告管理、会议信息管理、客户信息管理、考勤打卡管理、请假申请管理、资产申请管理、工资信息管理等需求用例,详细用例图如图3-1所示。

图3-1员工用户用例图
3.4.2管理员用例分析
管理员具备后台首页、系统用户、系统公告管理、部门信息管理、会议信息管理、客户信息管理、考勤打卡管理、请假申请管理、资产申请管理、工资信息管理等需求用例。详细用例图如图3-2所示。

图3-2管理员用例图
4系统设计
4.1系统架构设计
系统采用三层开发设计模式,分为:用户界面层,业务逻辑层和数据访问层。用户界面层用来和用户交互,业务逻辑层负责业务的处理和各层之间的数据的传递;数据访问层负责对数据库的访问和检索[10]。
系统的架构图如下图所示。

图4-1 系统架构图
系统各层之间的调用过程如下:
(1)用户通过用户界面层访问系统,向系统提交请求,界面层对请求进行初步的处理和包装,并判断是否要与业务逻辑层进行交互。
(2)业务逻辑层接收来自界面层的请求,对请求进行数据处理。然后调用数据访问层来实现数据库访问,数据访问层访问数据库,将数据读出并返回给逻辑层。
(3)逻辑层将处理的结果,返回给界面层。界面层加以处理呈现给用户。
4.2系统结构设计
员工考勤管理系统的整体结构设计如图4-2所示。

图4-2整体功能结构设计图
4.3系统功能设计
4.3.1系统开发流程
员工考勤管理系统开发时,首先进行需求分析,进而对系统进行总体的设计规划,设计系统功能模块,数据库的选择等,本系统的开发流程如图4-3所示。

图4-3系统开发流程图
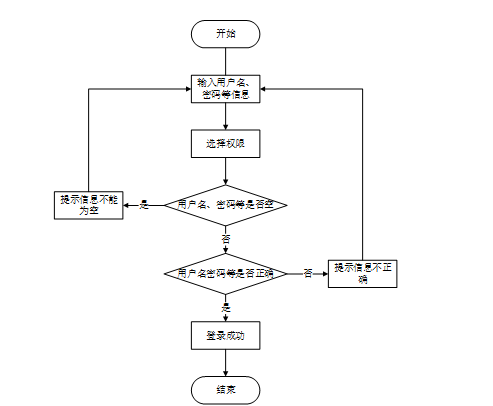
4.3.2 用户登录流程
为了保证系统的安全性,要使用本系统对系统信息进行管理,必须先登陆到系统中。如图4-4所示。

图4-4登录流程图
4.3.3 系统操作流程
用户打开并进入系统后,会先显示登录界面,输入正确的用户名和密码,系统自动检测信息,若信息无误,则用户会进入系统功能界面,进行操作,否则会提示错误无法登录,操作流程如图4-5所示。

图4-5 系统操作流程图
4.3.4 添加信息流程
管理员可以进行信息的添加,用户也可以对自己权限内的信息进行添加,输入信息后,系统会自行验证输入的信息和数据,若信息正确,会将其添加到数据库内,若信息有误,则会提示重新输入信息,添加信息流程如图4-6所示。

图4-6 添加信息流程图
4.3.5 修改信息流程
管理员可以进行信息的修改,用户页可以对自己权限内的信息进行修改,首先进入修改信息界面,输入修改信息数据,系统进行数据的判断验证,修改信息合法则修改成功,信息更新至数据库,信息不合法则修改失败,重新输入。修改信息流程图如图4-7所示。

图4-7 修改信息流程图
4.3.6 删除信息流程
管理员可以进行信息的删除,对要删除的信息进行选中后,点击删除按钮,系统会询问是否确定,若点击确定,则系统会删除掉选中的信息,并在数据库内对信息进行删除,删除信息流程图如图4-8所示。

图4-8 删除信息流程图
4.4数据库设计
在进行数据库设计时,概念设计帮助明确系统的整体结构和需求。在这一阶段,需要确定实体、属性以及它们之间的关系,为后续的数据库表设计奠定基础。接下来,将深入探讨数据库表设计的具体细节,实现更高效的数据存储和管理。
4.4.1 概念设计
概念设计是数据库设计的第一步,其主要目标是对系统的数据需求进行全面的理解和抽象[11]。在这一阶段,通过建立实体-关系模型(ER模型)来识别系统中的关键实体、属性及其相互关系。概念设计的输出是一个清晰的ER图,作为后续数据库表设计的基础。以下将展示系统的全局E-R图。

图4-10数据库E-R图
4.4.2数据库表设计
这一阶段的重点是将概念模型转换为实际的数据库结构,包括表的创建、字段的定义及数据类型的选择。每个实体通常对应于数据库中的一张表,而实体的属性则转化为表的列[12]。以下是系统的数据库表设计展示。
表 4-1-access_token(登陆访问时长)
| 编号 | 字段名 | 类型 | 长度 | 是否非空 | 是否主键 | 注释 |
| 1 | token_id | int | 是 | 是 | 临时访问牌ID | |
| 2 | token | varchar | 64 | 否 | 否 | 临时访问牌 |
| 3 | info | text | 65535 | 否 | 否 | 信息 |
| 4 | maxage | int | 是 | 否 | 最大寿命:默认2小时 | |
| 5 | create_time | timestamp | 是 | 否 | 创建时间 | |
| 6 | update_time | timestamp | 是 | 否 | 更新时间 | |
| 7 | user_id | int | 是 | 否 | 用户编号 |
表 4-2-asset_application(资产申请)
| 编号 | 字段名 | 类型 | 长度 | 是否非空 | 是否主键 | 注释 |
| 1 | asset_application_id | int | 是 | 是 | 资产申请ID | |
| 2 | application_title | varchar | 64 | 否 | 否 | 申请标题 |
| 3 | employee_user | int | 否 | 否 | 员工用户 | |
| 4 | employee_name | varchar | 64 | 否 | 否 | 员工姓名 |
| 5 | employee_title | varchar | 64 | 否 | 否 | 员工职务 |
| 6 | employee_work_number | varchar | 64 | 否 | 否 | 员工工号 |
| 7 | application_date | date | 否 | 否 | 申请日期 | |
| 8 | application_content | text | 65535 | 否 | 否 | 申请内容 |
| 9 | examine_state | varchar | 16 | 是 | 否 | 审核状态 |
| 10 | examine_reply | varchar | 16 | 否 | 否 | 审核回复 |
| 11 | create_time | datetime | 是 | 否 | 创建时间 | |
| 12 | update_time | timestamp | 是 | 否 | 更新时间 |
表 4-3-auth(用户权限管理)
| 编号 | 字段名 | 类型 | 长度 | 是否非空 | 是否主键 | 注释 |
| 1 | auth_id | int | 是 | 是 | 授权ID | |
| 2 | user_group | varchar | 64 | 否 | 否 | 用户组 |
| 3 | mod_name | varchar | 64 | 否 | 否 | 模块名 |
| 4 | table_name | varchar | 64 | 否 | 否 | 表名 |
| 5 | page_title | varchar | 255 | 否 | 否 | 页面标题 |
| 6 | path | varchar | 255 | 否 | 否 | 路由路径 |
| 7 | parent | varchar | 64 | 否 | 否 | 父级菜单 |
| 8 | parent_sort | int | 是 | 否 | 父级菜单排序 | |
| 9 | position | varchar | 32 | 否 | 否 | 位置 |
| 10 | mode | varchar | 32 | 是 | 否 | 跳转方式 |
| 11 | add | tinyint | 是 | 否 | 是否可增加 | |
| 12 | del | tinyint | 是 | 否 | 是否可删除 | |
| 13 | set | tinyint | 是 | 否 | 是否可修改 | |
| 14 | get | tinyint | 是 | 否 | 是否可查看 | |
| 15 | field_add | text | 65535 | 否 | 否 | 添加字段 |
| 16 | field_set | text | 65535 | 否 | 否 | 修改字段 |
| 17 | field_get | text | 65535 | 否 | 否 | 查询字段 |
| 18 | table_nav_name | varchar | 500 | 否 | 否 | 跨表导航名称 |
| 19 | table_nav | varchar | 500 | 否 | 否 | 跨表导航 |
| 20 | option | text | 65535 | 否 | 否 | 配置 |
| 21 | create_time | timestamp | 是 | 否 | 创建时间 | |
| 22 | update_time | timestamp | 是 | 否 | 更新时间 |
表 4-4-clock_in_attendance(考勤打卡)
| 编号 | 字段名 | 类型 | 长度 | 是否非空 | 是否主键 | 注释 |
| 1 | clock_in_attendance_id | int | 是 | 是 | 考勤打卡ID | |
| 2 | employee_user | int | 否 | 否 | 员工用户 | |
| 3 | employee_name | varchar | 64 | 否 | 否 | 员工姓名 |
| 4 | employee_title | varchar | 64 | 否 | 否 | 员工职务 |
| 5 | employee_work_number | varchar | 64 | 否 | 否 | 员工工号 |
| 6 | punch_in_date | date | 否 | 否 | 打卡日期 | |
| 7 | punch_in_type | varchar | 64 | 否 | 否 | 打卡类型 |
| 8 | clock_in_remarks | text | 65535 | 否 | 否 | 打卡备注 |
| 9 | create_time | datetime | 是 | 否 | 创建时间 | |
| 10 | update_time | timestamp | 是 | 否 | 更新时间 |
表 4-5-code_token(验证码)
| 编号 | 字段名 | 类型 | 长度 | 是否非空 | 是否主键 | 注释 |
| 1 | code_token_id | int | 是 | 是 | 验证码ID | |
| 2 | token | varchar | 255 | 否 | 否 | 令牌 |
| 3 | code | varchar | 255 | 否 | 否 | 验证码 |
| 4 | expire_time | timestamp | 是 | 否 | 失效时间 | |
| 5 | create_time | timestamp | 是 | 否 | 创建时间 | |
| 6 | update_time | timestamp | 是 | 否 | 更新时间 |
表 4-6-conference_information(会议信息)
| 编号 | 字段名 | 类型 | 长度 | 是否非空 | 是否主键 | 注释 |
| 1 | conference_information_id | int | 是 | 是 | 会议信息ID | |
| 2 | conference_name | varchar | 64 | 否 | 否 | 会议名称 |
| 3 | meeting_time | datetime | 否 | 否 | 会议时间 | |
| 4 | venue | varchar | 64 | 否 | 否 | 会议地点 |
| 5 | number_of_participants | varchar | 64 | 否 | 否 | 参会人数 |
| 6 | contents_of_the_meeting | text | 65535 | 否 | 否 | 会议内容 |
| 7 | create_time | datetime | 是 | 否 | 创建时间 | |
| 8 | update_time | timestamp | 是 | 否 | 更新时间 |
表 4-7-customer_information(客户信息)
| 编号 | 字段名 | 类型 | 长度 | 是否非空 | 是否主键 | 注释 |
| 1 | customer_information_id | int | 是 | 是 | 客户信息ID | |
| 2 | employee_user | int | 否 | 否 | 员工用户 | |
| 3 | customer_company | varchar | 64 | 否 | 否 | 客户公司 |
| 4 | customer_name | varchar | 64 | 否 | 否 | 客户姓名 |
| 5 | customer_gender | varchar | 64 | 否 | 否 | 客户性别 |
| 6 | customer_phone | varchar | 16 | 否 | 否 | 客户电话 |
| 7 | customer_address | text | 65535 | 否 | 否 | 客户地址 |
| 8 | customer_preference | text | 65535 | 否 | 否 | 客户偏好 |
| 9 | create_time | datetime | 是 | 否 | 创建时间 | |
| 10 | update_time | timestamp | 是 | 否 | 更新时间 |
表 4-8-department_information(部门信息)
| 编号 | 字段名 | 类型 | 长度 | 是否非空 | 是否主键 | 注释 |
| 1 | department_information_id | int | 是 | 是 | 部门信息ID | |
| 2 | department_name | varchar | 64 | 否 | 否 | 部门名称 |
| 3 | number_of_departments | varchar | 64 | 否 | 否 | 部门人数 |
| 4 | department_location | varchar | 64 | 否 | 否 | 部门位置 |
| 5 | department_responsibilities | varchar | 64 | 否 | 否 | 部门职责 |
| 6 | department_description | text | 65535 | 否 | 否 | 部门描述 |
| 7 | create_time | datetime | 是 | 否 | 创建时间 | |
| 8 | update_time | timestamp | 是 | 否 | 更新时间 |
表 4-9-employee_user(员工用户)
| 编号 | 字段名 | 类型 | 长度 | 是否非空 | 是否主键 | 注释 |
| 1 | employee_user_id | int | 是 | 是 | 员工用户ID | |
| 2 | department_name | varchar | 64 | 否 | 否 | 部门名称 |
| 3 | employee_name | varchar | 64 | 否 | 否 | 员工姓名 |
| 4 | employee_gender | varchar | 64 | 否 | 否 | 员工性别 |
| 5 | employee_telephone | varchar | 16 | 否 | 否 | 员工电话 |
| 6 | employee_title | varchar | 64 | 否 | 否 | 员工职务 |
| 7 | employee_work_number | varchar | 64 | 是 | 是 | 员工工号 |
| 8 | examine_state | varchar | 16 | 是 | 否 | 审核状态 |
| 9 | user_id | int | 是 | 否 | 用户ID | |
| 10 | create_time | datetime | 是 | 否 | 创建时间 | |
| 11 | update_time | timestamp | 是 | 否 | 更新时间 |
表 4-10-hits(用户点击)
| 编号 | 字段名 | 类型 | 长度 | 是否非空 | 是否主键 | 注释 |
| 1 | hits_id | int | 是 | 是 | 点赞ID | |
| 2 | user_id | int | 是 | 否 | 点赞人 | |
| 3 | create_time | timestamp | 是 | 否 | 创建时间 | |
| 4 | update_time | timestamp | 是 | 否 | 更新时间 | |
| 5 | source_table | varchar | 255 | 否 | 否 | 来源表 |
| 6 | source_field | varchar | 255 | 否 | 否 | 来源字段 |
| 7 | source_id | int | 是 | 否 | 来源ID |
表 4-11-leave_application(请假申请)
| 编号 | 字段名 | 类型 | 长度 | 是否非空 | 是否主键 | 注释 |
| 1 | leave_application_id | int | 是 | 是 | 请假申请ID | |
| 2 | employee_user | int | 否 | 否 | 员工用户 | |
| 3 | employee_name | varchar | 64 | 否 | 否 | 员工姓名 |
| 4 | employee_title | varchar | 64 | 否 | 否 | 员工职务 |
| 5 | employee_work_number | varchar | 64 | 否 | 否 | 员工工号 |
| 6 | leave_date | date | 否 | 否 | 请假日期 | |
| 7 | leave_days | double | 否 | 否 | 请假天数 | |
| 8 | reason_for_leave | text | 65535 | 否 | 否 | 请假原因 |
| 9 | examine_state | varchar | 16 | 是 | 否 | 审核状态 |
| 10 | examine_reply | varchar | 16 | 否 | 否 | 审核回复 |
| 11 | create_time | datetime | 是 | 否 | 创建时间 | |
| 12 | update_time | timestamp | 是 | 否 | 更新时间 |
表 4-12-salary_information(工资信息)
| 编号 | 字段名 | 类型 | 长度 | 是否非空 | 是否主键 | 注释 |
| 1 | salary_information_id | int | 是 | 是 | 工资信息ID | |
| 2 | employee_user | int | 否 | 否 | 员工用户 | |
| 3 | employee_work_number | varchar | 64 | 否 | 否 | 员工工号 |
| 4 | department_name | varchar | 64 | 否 | 否 | 部门名称 |
| 5 | employee_name | varchar | 64 | 否 | 否 | 员工姓名 |
| 6 | employee_telephone | varchar | 64 | 否 | 否 | 员工电话 |
| 7 | employee_title | varchar | 64 | 否 | 否 | 员工职务 |
| 8 | salary_month | varchar | 64 | 否 | 否 | 工资月份 |
| 9 | release_status | varchar | 64 | 否 | 否 | 发放状态 |
| 10 | salary_amount | double | 否 | 否 | 工资金额 | |
| 11 | salary_details | text | 65535 | 否 | 否 | 工资详情 |
| 12 | create_time | datetime | 是 | 否 | 创建时间 | |
| 13 | update_time | timestamp | 是 | 否 | 更新时间 |
表 4-13-schedule(日程管理)
| 编号 | 字段名 | 类型 | 长度 | 是否非空 | 是否主键 | 注释 |
| 1 | schedule_id | smallint | 是 | 是 | 日程ID | |
| 2 | content | varchar | 255 | 否 | 否 | 日程内容 |
| 3 | scheduled_time | datetime | 否 | 否 | 计划时间 | |
| 4 | user_id | int | 是 | 否 | 用户ID | |
| 5 | create_time | datetime | 否 | 否 | 创建时间 | |
| 6 | update_time | datetime | 否 | 否 | 更新时间 |
表 4-14-score(评分)
| 编号 | 字段名 | 类型 | 长度 | 是否非空 | 是否主键 | 注释 |
| 1 | score_id | int | 是 | 是 | 评分ID | |
| 2 | user_id | int | 是 | 否 | 评分人 | |
| 3 | nickname | varchar | 64 | 否 | 否 | 昵称 |
| 4 | score_num | double | 是 | 否 | 评分 | |
| 5 | create_time | timestamp | 是 | 否 | 创建时间 | |
| 6 | update_time | timestamp | 是 | 否 | 更新时间 | |
| 7 | source_table | varchar | 255 | 否 | 否 | 来源表 |
| 8 | source_field | varchar | 255 | 否 | 否 | 来源字段 |
| 9 | source_id | int | 是 | 否 | 来源ID |
表 4-15-system_bulletin(系统公告)
| 编号 | 字段名 | 类型 | 长度 | 是否非空 | 是否主键 | 注释 |
| 1 | system_bulletin_id | int | 是 | 是 | 系统公告ID | |
| 2 | announcement_number | varchar | 64 | 否 | 否 | 公告编号 |
| 3 | announcement_title | varchar | 64 | 否 | 否 | 公告标题 |
| 4 | announcement_date | date | 否 | 否 | 公告日期 | |
| 5 | announcement_picture | varchar | 255 | 否 | 否 | 公告图片 |
| 6 | announcement_content | text | 65535 | 否 | 否 | 公告内容 |
| 7 | create_time | datetime | 是 | 否 | 创建时间 | |
| 8 | update_time | timestamp | 是 | 否 | 更新时间 |
表 4-16-upload(文件上传)
| 编号 | 字段名 | 类型 | 长度 | 是否非空 | 是否主键 | 注释 |
| 1 | upload_id | int | 是 | 是 | 上传ID | |
| 2 | name | varchar | 64 | 否 | 否 | 文件名 |
| 3 | path | varchar | 255 | 否 | 否 | 访问路径 |
| 4 | file | varchar | 255 | 否 | 否 | 文件路径 |
| 5 | display | varchar | 255 | 否 | 否 | 显示顺序 |
| 6 | father_id | int | 否 | 否 | 父级ID | |
| 7 | dir | varchar | 255 | 否 | 否 | 文件夹 |
| 8 | type | varchar | 32 | 否 | 否 | 文件类型 |
表 4-17-user(用户账户)
| 编号 | 字段名 | 类型 | 长度 | 是否非空 | 是否主键 | 注释 |
| 1 | user_id | int | 是 | 是 | 用户ID | |
| 2 | state | smallint | 是 | 否 | 账户状态:(1可用|2异常|3已冻结|4已注销) | |
| 3 | user_group | varchar | 32 | 否 | 否 | 所在用户组 |
| 4 | login_time | timestamp | 是 | 否 | 上次登录时间 | |
| 5 | phone | varchar | 11 | 否 | 否 | 手机号码 |
| 6 | phone_state | smallint | 是 | 否 | 手机认证:(0未认证|1审核中|2已认证) | |
| 7 | username | varchar | 16 | 是 | 否 | 用户名 |
| 8 | nickname | varchar | 16 | 否 | 否 | 昵称 |
| 9 | password | varchar | 64 | 是 | 否 | 密码 |
| 10 | | varchar | 64 | 否 | 否 | 邮箱 |
| 11 | email_state | smallint | 是 | 否 | 邮箱认证:(0未认证|1审核中|2已认证) | |
| 12 | avatar | varchar | 255 | 否 | 否 | 头像地址 |
| 13 | open_id | varchar | 255 | 否 | 否 | 针对获取用户信息字段 |
| 14 | create_time | timestamp | 是 | 否 | 创建时间 |
表 4-18-user_group(用户组)
| 编号 | 字段名 | 类型 | 长度 | 是否非空 | 是否主键 | 注释 |
| 1 | group_id | mediumint | 是 | 是 | 用户组ID | |
| 2 | display | smallint | 是 | 否 | 显示顺序 | |
| 3 | name | varchar | 16 | 是 | 否 | 名称 |
| 4 | description | varchar | 255 | 否 | 否 | 描述 |
| 5 | source_table | varchar | 255 | 否 | 否 | 来源表 |
| 6 | source_field | varchar | 255 | 否 | 否 | 来源字段 |
| 7 | source_id | int | 是 | 否 | 来源ID | |
| 8 | register | smallint | 否 | 否 | 注册位置 | |
| 9 | create_time | timestamp | 是 | 否 | 创建时间 | |
| 10 | update_time | timestamp | 是 | 否 | 更新时间 |
5系统实现
5.1系统公告管理功能实现
点击“系统公告管理”菜单,管理员可以管理公告的发布、编辑和删除,员工可以在后台查看公告的内容。系统公告发布页面如图5-1所示。

图5-1系统公告发布界面图
5.2系统用户功能实现
点击“系统用户”菜单,管理员可以管理用户信息,能够查看、添加、修改和删除系统中的员工信息。用户管理页面如图5-2所示。

图5-2系统用户界面图
5.3部门信息管理功能实现
点击系统导航栏上的“部门信息管理”菜单按钮,管理员可以管理公司各部门的信息,包括部门的新增、修改、删除等操作。部门信息添加页面如图5-3所示。

图5-3部门信息添加界面图
5.4会议信息管理功能实现
点击系统导航栏上的“会议信息管理”菜单按钮,管理员可以创建、修改和删除会议安排,可以为会议设置时间、地点、参会人员、会议议题等。会议信息添加页面如图5-4所示。

图5-4会议信息添加界面图
5.5请假申请管理功能实现
点击系统导航栏上的“请假申请管理”菜单按钮,员工可以提交请假申请,填写请假原因和时长等相关信息,还可以查看自己提交的请假申请的状态。管理员可以查看和审批员工的请假申请。员工提交请假申请页面如图5-5所示。管理员请假申请列表页面如图5-6所示。

图5-5员工提交请假申请界面图

图5-6请假申请列表界面图
5.6资产申请管理功能实现
点击系统导航栏上的“资产申请管理”菜单按钮,员工可以申请公司提供的办公设备或其他资源,提交申请表单并查看申请的处理进度。管理员可以查看和审核员工的资产申请。员工资产申请页面如图5-7所示。管理员资产申请列表页面如图5-8所示。

图5-7员工资产申请界面图

图5-8管理员资产申请列表界面图
5.7考勤打卡管理功能实现
点击系统导航栏上的“考勤打卡管理”菜单按钮,员工可以提交自己的打卡信息。管理员可以查看员工的考勤打卡信息。员工考勤打卡页面如图5-9所示。

图5-9员工考勤打卡界面图
5.8客户信息管理功能实现
点击系统导航栏上的“客户信息管理”菜单按钮,管理员和员工用户都可以查看客户的基本信息,新增或编辑客户信息。客户信息添加页面如图5-10所示。

图5-10客户信息添加界面图
5.9工资信息管理功能实现
点击系统导航栏上的“工资信息管理”菜单按钮,管理员可以录入员工用户的工作信息,员工可以进行查看。工资信息添加页面如图5-5所示。

图5-11工资信息添加界面图
6系统测试
6.1测试目的
测试的主要目的是确保系统的功能和性能满足预期的需求,同时识别和修复潜在的缺陷。通过系统测试,可以验证各个功能模块的正确性和稳定性,确保系统在不同使用场景下的表现符合设计要求。测试目的包括确认系统功能的完整性、验证数据处理的准确性、评估系统的性能和安全性。测试还可以提高用户满意度,保证用户在使用系统时获得流畅和可靠的体验。通过全面的测试,可以降低后期维护成本,减少系统上线后出现故障的风险,从而保障系统的长期稳定运行。
6.2测试方法
在本系统中,测试方法主要依赖于测试用例的设计与执行。测试用例是根据系统需求文档编写的,覆盖所有功能模块及其边界情况。每个测试用例包含输入数据、预期结果和实际结果的对比,以验证系统的功能是否按预期工作。
常见的测试用例包括功能测试用例、边界测试用例和异常测试用例[13]。功能测试用例针对系统的各项功能进行验证;边界测试用例则侧重于输入数据的边界条件,验证系统在极端情况下是否能够稳定运行;异常测试用例则用于验证系统在处理错误输入或异常情况时的反应。本文选择功能测试用例进行系统测试。
在测试执行过程中,记录每个用例的执行结果,并根据实际结果与预期结果的对比,判断系统是否存在缺陷。通过系统化的测试用例执行,可以有效提高测试的覆盖率和效率,为系统的最终上线提供保障。
6.3测试内容
通过对系统中所含的主要实体对象及其功能操作进行测试用例设计。以下是详细的测试:
表6-1用户注册登录测试表
用户注册登录测试用例:
| 用例说明 | 测试目的 | 测试步骤 | 预期结果 | 输出结果 | 通过情况 |
| 用户注册、登录 | 测试用户正确注册、登录 |
| 用户注册成功,登录成功 | 结果输出符合预期 | 通过 |
表6-2员工添加考勤打卡测试表
员工添加考勤打卡用例:
| 用例说明 | 测试目的 | 测试步骤 | 预期结果 | 输出结果 | 通过情况 |
| 添加考勤打卡 | 测试员工用户添加考勤打卡功能 |
| 用户添加考勤打卡成功,生成考勤打卡列表 | 结果输出符合预期 | 通过 |
表6-3员工请假申请测试表
员工请假申请测试用例:
| 用例说明 | 测试目的 | 测试步骤 | 预期结果 | 输出结果 | 通过情况 |
| 请假申请测试 | 测试员工请假申请功能 |
| 请假申请成功,生成请假申请列表 | 结果输出符合预期 | 通过 |
6.4测试结论
经过上述测试,并对测试数据结果综合分析。员工考勤管理系统具备简便,数据透明等特性。完全符合员工考勤管理系统的要求。
结 论
通过本文的研究与实现,基于SpringBoot的员工考勤管理系统成功地提供了一套完整的后台管理解决方案。系统通过灵活的功能设计,帮助管理员高效地进行员工考勤、请假、资产申请、工资发放等方面的管理,有效提高了企业内部管理的效率与准确性。管理员能够通过系统实时监控员工的考勤状态,及时处理考勤异常,确保考勤数据的准确性和公正性。同时,工资信息的管理模块也保障了员工薪酬的及时发放和透明度。
系统还支持公告发布、会议安排和客户信息管理等功能,为企业内部沟通和资源调配提供了有效支持。员工通过该后台系统可以方便地管理自己的考勤记录、申请请假、申请资产等,大大提升了员工的自助服务体验,也减轻了管理员的日常工作负担。
本系统的设计与实现充分体现了SpringBoot框架的高效性和扩展性,能够满足企业日常运营中的考勤管理需求,并且具备良好的可扩展性,能够根据未来的需求进一步扩展功能。总的来说,基于SpringBoot的员工考勤管理系统在优化企业管理流程、提高管理效率和员工满意度方面具有显著的应用价值,对企业的信息化管理起到了积极推动作用。
参考文献
- 冯志林.Java EE程序设计与开发实践教程[M].机械工业出版社:202105.353.
- 尹应荆.JAVA编程语言在计算机软件开发中的应用[J].石河子科技,2023,(05):45-47.
- 刘江涛,王亮亮,吴庆茹,等.基于B/S模式的铁路勘测设计案例信息化管理系统设计与实现[J].铁路计算机应用,2021,30(03):32-35.
- 张丹丹,李弘.基于B/S架构的办公管理系统设计与开发[J].铁路通信信号工程技术,2024,21(09):44-48+106.
- 王志亮,纪松波.基于SpringBoot的Web前端与数据库的接口设计[J].工业控制计算机,2023,36(03):51-53.
- 熊永平.基于SpringBoot框架应用开发技术的分析与研究[J].电脑知识与技术,2021,15(36):76-77.
- 赵媛.基于Vue的Web系统前端性能优化分析[J].电脑编程技巧与维护,2024,(09):44-46.
- 秦冬.浅析Vue框架在前端开发中的应用[J].信息与电脑(理论版),2024,36(13):61-63.
- 李艳杰.MySQL数据库下存储过程的综合运用研究[J].现代信息科技,2023,7(11):80-82+88.
- 陈倩怡,何军.Vue+Springboot+MyBatis技术应用解析[J].电脑编程技巧与维护,2020,(01):14-15+28.
- 周晓玉,崔文超.基于Web技术的数据库应用系统设计[J].信息与电脑(理论版),2023,35(09):189-191.
- 马艳艳,吴晓光.计算机软件与数据库的设计策略分析[J].电子技术,2024,53(05):104-105.
- 李俊萌.计算机软件测试技术与开发应用策略分析[J].信息记录材料,2023,24(03):50-52.
- 钱俊亮,田卉.考勤管理系统的设计与实现[J].数字传媒研究,2022,39(05):53-56.
- Aditya K ,V K .A Secure and Cost-Effective Platform for Employee Management System Using Lightweight Standalone Framework Over Diffie Hellman’s Key Exchange Algorithm[J].Electrochemical Society Transactions,2022,107(1):
- Abubakar A ,Mishra A ,Badeggi Y A , et al.USSD System for Monitoring and Management of Employee Leave in Higher Educational Institution[J].International Journal of Information Engineering and Electronic Business(IJIEEB),2022,14(1):37-45.
- 付昕乐,黄慧敏,贾军辉,等.基于Web的人事管理系统设计与实现[J].测绘,2021,44(04):188-192.
- Tianqi W ,Ning L ,Houran L .Design and development of human resource management computer system for enterprise employees.[J].PloS one,2021,16(12):e0261594-e0261594.
- 聂毓谣.基于数据库的员工考勤系统设计与实现[J].电脑知识与技术,2020,16(01):56-58+87.DOI:10.14004/j.cnki.ckt.2020.0026.
- 王鑫,森源人力资源管理系统.河南省,河南森源重工有限公司,2019-09-24.
致 谢
本论文的完成离不开众多导师、同学以及亲友的支持与帮助。在此,首先向我的导师表示最诚挚的感谢。在整个研究和写作过程中,导师以严谨治学的态度和丰富的专业知识给予了我无私的指导,从论文选题到最终定稿的每一个环节,都为我提供了宝贵的建议与意见,使我得以不断完善研究内容、拓展学术视野。导师耐心细致的指导不仅帮助我解决了许多学术难题,也让我在研究能力与学术写作方面得到了显著的提升。导师的鼓励与支持是我完成这篇论文的重要动力,也让我深刻体会到学术研究的严谨性与意义。
我还要感谢在学习生活中给予我帮助和支持的同学、朋友以及家人。论文撰写过程中,许多同学与我共同探讨问题,分享经验与资料,使我的研究更加全面深入。朋友们的关心和陪伴让我在繁忙的研究过程中能够调节心情,保持良好的状态。特别感谢我的家人,他们始终给予我无条件的理解和支持,为我创造了安心学习与研究的环境。正是因为有了大家的帮助和支持,我才能克服论文写作中的重重困难并顺利完成。再次向所有支持和帮助过我的人表达衷心的感谢。
附录
系统核心代码设计
用户注册
注册页UserController.java,传入user对象,并将"user_id"、 "state"、 "user_group"、"login_time"、"phone"、"phone_state"、 "username"、"nickname"、"password"、"email"、"email_state"、"avatar"、"create_time"输入,重点是 "username"、"nickname"、"password"必须输入,通过获取username,数据库查询是否有该用户,如果存在,则提示“用户已存在”,否则执行将UserId置为空(数据库表中该字段已设置自动递增),代码如图所示。

注册核心代码图
用户登录
登录页,首先传入"username"、"email"、"phone"、"password",用户可通过用户名、邮箱、手机号进行登陆,通过判断resultList来确定查询结果,然后执行查询用户组UserGroup,用户组里面不存在,依然报“用户不存在”,执行完以上代码,最后涉及到用户带有“审核”的,会查询examine_state(用户的审核状态),数据库表user_group中含有source_table和source_field进行查询,以上步骤完成,对输入的密码进行存储Token到数据库,匹对账号和密码,数据库中的AccessToken为令牌,用于身份认证,代码如图所示。

用户登录核心代码图
修改密码
修改密码,通过请求data,获取旧密码,并将新密码重新赋值,期间都是需要通过加密,代码如图所示。

修改密码核心代码图
修改数据
修改一个数据,原理与add基本一致,不同点在于通过readConfig()读取关键字,以及通过readQuery()获取URL后面?指定位置的标识,转成Map对象后,执行update操作,同样通过拼接的sql语句执行,执行过程读取query,toWhereSql()语句完成数据库操作,body为修改对象的值,代码如图所示。

修改数据核心代码图
删除数据
删除一条数据,通过readQuery(),获取URL后面的对象地址,删除FROM具体的table,query删除查询FindConfig语句,代码如图示。

删除数据核心代码图
获取列表
通过请求的参数获取列表数据,代码如图所示。

获取列表核心代码图
图片上传
通过请求的参数获取列表数据,代码如图4-13所示。

图片上传核心代码图
请关注点赞+私信博主,免费领取项目源码
1760

被折叠的 条评论
为什么被折叠?



