摘 要
随着互联网的普及以及发展,在网上出售、购买东西变得越来越日常,出于对校园发展的考虑,在很多校园里都实现了各式各样的校园二手闲置物品买卖网上商城,提高了校园资源的利用效率。然而,搭建大部分的网站所需要花费的人力和财力普遍较高,部署高能硬件也是一道坎,使得大部分中校园二手闲置物品买卖网上商城都没有成型,平台的后期维护费用也拖垮了不少用户。怎样解决这个问题?我们需要找到一个更优的技术和方法,来降低网站的响应时间和做到提高系统高并发性性能,提升用户的使用体验,降低硬件需求度,能够使用更便宜的硬件进行部署,从而降低网站建设的成本。此校园二手闲置物品买卖网上商城的开发项目采用django技术+MYSQL数据库,就论题的各类需求分析说明做出解释,然后再就网站的总体设计和详细设计做出论述,给出了网站总体结构的搭建方法。从而满足大部分中校园二手闲置物品买卖网上商城的需求。
在设计过程中,充分保证了系统代码的良好可读性、实用性、易扩展性、通用性、便于后期维护、操作方便以及页面简洁等特点。
关键词:校园二手闲置物品买卖网上商城,Mysql数据库,django技术
Abstract
With the popularization and development of the Internet, selling and buying things online has become more and more common. In consideration of campus development, various online shopping malls for second-hand and idle goods on campus have been realized in many campuses, which has improved the utilization efficiency of campus resources. However, the manpower and financial resources required to build most websites are generally high, and deploying high-energy hardware is also a hurdle, which has led to the failure of most online shopping malls for buying and selling second-hand idle items on campus. The maintenance costs of the platform have also dragged down many users. How to solve this problem? We need to find a better technology and method to reduce website response time and improve system high concurrency performance, enhance user experience, reduce hardware requirements, and be able to deploy with cheaper hardware, thereby reducing website construction costs. The development project of this online shopping mall for second-hand idle items on campus adopts django technology and MYSQL database. It provides explanations for various needs analysis of the topic, and then discusses the overall and detailed design of the website, providing a method for building the overall structure of the website. So as to meet the needs of online shopping malls for buying and selling second-hand idle items on most campuses.
During the design process, the system code was fully ensured to have good readability, practicality, scalability, universality, ease of maintenance, ease of operation, and concise pages.
Keywords: online shopping mall for buying and selling second-hand idle items on campus, MySQL database, django technology
目 录
第一章 概述
1.1 研究背景
随着社会的发展和科技的进步,网络技术已经深入到人们的日常生活中,网上购物成为一种流行的消费方式。网上购物不仅方便快捷,而且价格优惠,商品种类丰富,满足了消费者的多样化需求。然而,网上购物也带来了一些问题,如商品质量、售后服务、交易安全等,尤其是在二手物品交易领域,这些问题更加突出。
大学生是网络的主要使用者之一,他们在网上购物的同时,也会产生大量的闲置物品,如书籍、服装、电子产品等。这些闲置物品如果不能得到合理的处理,不仅占用空间,而且造成资源的浪费。同时,大学生也有购买二手物品的需求,如购买低价的教材、衣物、电器等,以节省开支,提高生活质量。因此,校园二手闲置物品平台的建立,可以为大学生提供一个便捷的交易渠道,实现闲置物品的循环利用,节约资源,减少浪费。
目前,市场上已经存在一些校园二手闲置物品平台,如转转、闲鱼、58同城等,但这些平台并不专门针对大学生,而是面向社会的广泛用户。这些平台的优点是信息量大,交易范围广,但也存在一些缺点,如信息真实性难以保证,交易安全性难以保障,交易流程复杂,物流成本高等。对于大学生而言,他们更倾向于在校园内进行二手物品交易,因为这样可以节省时间和金钱,也可以增加信任和互动。因此,专门针对大学生的校园二手闲置物品平台的建立,可以更好地满足大学生的交易需求,提高交易效率和满意度。
国内外对于校园二手闲置物品平台的研究现状和发展趋势如下:
国内研究现状:
在中国,随着互联网技术的快速发展和人们消费观念的变化,校园二手闲置物品平台逐渐成为一个热门的研究领域。许多学者关注校园二手闲置物品平台的设计与实现、用户行为分析、信息安全等方面的问题。他们通过调查问卷、实证研究和案例分析等方法,探索了校园二手闲置物品平台的市场规模、用户特征、交易行为以及影响因素等方面的情况。同时,一些大型电商平台商品也积极参与到校园二手闲置物品平台的建设中,并通过不断创新和改进提高用户体验和平台商品服务。
国外研究现状:
在国外,校园二手闲置物品平台的研究主要集中在发达国家,如美国、英国、德国等。研究者们关注校园二手闲置物品平台的可持续性、社会影响以及用户体验等方面的问题。他们运用经济学、社会学、管理学等多学科的理论和方法,探讨了二手交易市场的形成机制、价格变动规律、平台商品规模效应以及用户信任和满意度等方面的议题。同时,一些研究还关注了二手交易对于资源再利用、环境保护以及社会经济发展的影响。
发展趋势:
未来,二手闲置物品交易平台的发展趋势主要体现在以下几个方面:
(1)移动化:随着移动互联网的普及,校园二手闲置物品平台将更加注重移动端的用户体验和便捷性,通过手机APP等方式提供更灵活、便利的交易服务。
(2)数据驱动:通过大数据分析和机器学习算法,校园二手闲置物品平台将能够更准确地预测用户需求、推荐商品,并提供个性化的交易服务。
(3)社交化:校园二手闲置物品平台将更加注重社交功能的开发,鼓励用户之间的互动和交流,提高用户黏性和平台商品活跃度。
(4)跨境交易:随着全球化的进程,跨境二手交易将成为一个重要的发展方向,促进不同国家和地区之间的二手商品流通和交易。
(5)环保意识:校园二手闲置物品平台将积极引导用户的环保意识,通过资源再利用和减少浪费,为可持续发展做出贡献。
综上所述,国内外对于校园二手闲置物品平台的研究已经取得了一定的进展,并呈现出移动化、数据驱动、社交化、跨境交易和环保意识等发展趋势。未来的研究将更加关注用户需求和体验,推动校园二手闲置物品平台的创新和发展。
1.3 研究内容
通过对管理员和用户的需求分析,我们将该校园二手闲置物品买卖网上商城的功能逐步进行了添加,然后进行功能分析和检测,而且针对这两方面进行了深入研究探讨,该校园二手闲置物品买卖网上商城主要对开发背景、市场需求、数据库分析、功能模块以及开发技术进行了着重介绍和分析。最后对系统中的功能信息进行测试和分析。本次毕业实现的校园二手闲置物品买卖网上商城,不管是可行性分析、系统整体框架设计还是编码,都需要严格遵守软件开发的三个周期八个阶段,在该系统的开发过程中,要保证系统具有良好的时效性、易安装性以及稳定性。在代码编写时一定要按照要求进行,让代码编写看起来更美观,开发出一个便于用户的使用的校园二手闲置物品买卖网上商城是本次开发的主要目标。在系统完成之后,利用电脑来将系统进行安置,并且用户可以通过电脑随时查看用户信息。此次在校园二手闲置物品买卖网上商城的开发中,对系统要进行可行性分析、系统需求分析等基本分析,并且完成系统的部署和测试,在这些功能都实现之后,通过电脑进行操作系统。系统规划分析中,需要按照以下所示的技术路线。
第二章 关键技术的研究
2.1 Pycharm简介
PyCharm是由JetBrains公司开发的专业Python集成开发环境(IDE),旨在提供全面的开发支持和工具,以提高Python项目的开发效率。它拥有强大的代码编辑器、调试器、测试框架支持和项目管理功能,可以帮助开发人员更快地编写正确的代码、进行代码调试和问题排查,并方便地进行单元测试和集成测试。此外,PyCharm还集成了常用的版本控制系统,支持团队协作和代码版本管理。总之,PyCharm是一款功能丰富、用户友好的Python开发工具,无论是初学者还是经验丰富的开发人员都能从中受益。
2.2 MySQL描述
MySQL是一种广泛使用的开源关系型数据库管理系统。它具有高性能、可靠性和可扩展性等优点,被广泛应用于Web应用程序和大型企业级系统中。MySQL的核心特性包括关系型数据库管理系统的基本概念、数据模型和类型、SQL语言支持、事务处理和并发控制,以及安全性和权限管理。其架构由连接管理器、查询解析器和优化器、存储引擎、日志系统和恢复机制等组件构成。MySQL在实际应用中的优势体现在高性能、可伸缩性、可靠性、灵活性和易用性等方面。然而,MySQL也面临着一些局限性和挑战,如大规模数据处理的限制、复杂查询和性能优化、高并发和负载均衡,以及安全性和数据保护等方面。为了最大化MySQL的性能和效益,最佳实践和性能优化建议涉及数据库设计和规范化、索引设计和查询优化、缓存和分区技术,以及负载测试和容量规划等方面。总之,通过深入研究MySQL的描述,我们可以更好地理解其工作原理和适用场景,并为数据库开发人员和管理员提供有价值的参考。
2.3 Python编程语言
Python是一种高级编程语言,以其简洁、易读和易于学习的特点而受到广泛欢迎。作为一门通用编程语言,Python在各个领域都有广泛的应用,包括Web开发、数据分析、人工智能、科学计算等。Python的设计理念注重代码的可读性和简洁性,使得开发者可以更加专注于问题的解决而不必过多关注语法细节。同时,Python拥有丰富的标准库和活跃的社区,这为开发者提供了大量的工具和资源。Python还支持面向对象编程、函数式编程以及模块化开发,使得代码的组织和复用变得更加便捷。此外,Python还具备良好的跨平台性,可以在多种操作系统上运行。总之,Python的简洁性、可读性和强大的生态系统使其成为众多开发者的首选编程语言。
2.4 Django框架
Django是一个开源的高级Web应用程序框架,采用Python编写。它提供了一套丰富而强大的工具和库,帮助开发者快速构建可靠、可扩展和安全的Web应用程序。Django框架的设计理念注重代码复用、模块化开发和简化常见任务,使得开发过程更加高效和便捷。它提供了自动化的URL路由、表单处理、数据库模型和查询等功能,大大减少了开发人员的工作量。Django还提供了强大的管理后台,使得管理数据和内容变得轻松而直观。此外,Django支持多种数据库后端,并提供了丰富的认证和授权机制,保障了应用程序的安全性。Django的社区非常活跃,有大量的第三方插件和扩展可供选择,进一步增加了框架的灵活性和可扩展性。总之,Django框架通过其简单而强大的特性,为开发者提供了一个理想的平台来构建现代化的Web应用程序。
第三章 系统分析
通过对系统功能模块分析可以得知,主要是对项目元素组合、分解和更换做出相应的单元,再通过系统模块来规划出一个原则,系统的设计首先是围绕管理员需求进行开发设计的,主要是为了能够更好的管理信息和服务于用户,其次就是围绕用户信息管理进行设计,最终的设计必须要满足管理员和用户的需求,这样才能够实现系统的最大意义和价值,并且在设计的时候一定要避免代码相互重复的情况发生。
3.1 系统可行性分析
系统的开发环境和配置都是可以自行安装的,系统使用Python的Django开发工具,使用比较成熟的Mysql数据库进行对系统用户和管理员之间相关的数据交互,根据技术语言对数据库,结合需求进行修改维护,可以使得系统运行更具有稳定性和安全性,从而完成实现系统的开发。
(1)硬件可行性分析
校园二手闲置物品买卖网上商城及信息分析的设计对于所使用的计算机没有什么硬性的要求,计算机只要可以正常的使用进行代码的编写及页面设计就可行,主要是对于服务器有些要求,对于平台搭建完成要上传的服务器是有一定的要求的,服务器必须选择安全性比较高的,然后就是在打开系统必须顺畅,不能停顿太长时间;性价比高;安全性高。
(2)软件可行性分析
开发整个系统使用的是云计算,流量的可扩展性和基于流量的智能调整云计算的优点就是流量的可扩展性和基于流量的智能调整,保障系统的安全及数据信息的及时备份。
因此,我们从两个方面进行了可行性研究,可以看出系统的开发没有问题。
通过经济效益和社会价值来决定一个系统的存活问题,是否通过开发校园二手闲置物品买卖网上商城来帮助管理员减少工作,是否能够方便用户的使用,假如开发的软件不能够实现成本节约和资源节约,并且还要投入大量的时间、经济和精力,那么这个系统的开发设计是没有意义和价值的,就不具备开发设计的条件。
此次开发的校园二手闲置物品买卖网上商城登录界面是我们最常见的一种登录窗口进行造成的,只需通过电脑就可以登录访问,没有那些复杂的登录过程。该校园二手闲置物品买卖网上商城主要是采用B/S结构、Python的Django技术以及mysql数据库进行开发设计的,使得系统的开发更高效和稳定,也体现出来该系统的的现代化和规范化。用户可以轻松的进行学习,其系统主要特点就是易操作和易管理。
3.2 系统性能分析
1.系统功能完整性:根据系统每一个功能模块,都能够设计出当初的算法和代码,用户信息主要是以文字和表格的模式进行介绍。
2.系统运行分析:系统中的每一个功能都要有相应的代码和编写数据的关系。系统的物理的数据主要是通过需求分析和可行性分析进行分析和显示的。
3.界面设计:系统中的软件都是由不同的代码来进行处理和分析的,并且保证了系统界面的易操作性能。
4.安全分析:不同的角色要有不同的信息,所以我们登录系统时必须要使用自己的账号和密码进行登录,不能随意进行操作,这样才可以保证系统的安全性。
3.3 系统功能需求分析
任务需求分析是每个系统开发设计必不可少的一部分,系统质量的好坏可以直接影响系统的存活问题,所以我们必须要将任务需求分析做到位,校园二手闲置物品买卖网上商城的设计在初期的分析是尤为重要的,通过任务分析可以更顺利的进行系统设计,并且保证了用户的满意度。
(1)用户功能需求
用户进入系统可以查看首页、关于我们、二手资讯、二手商品、商城管理(我的购物车、我的订单、我的地址)、协商沟通、我的账户、个人中心(个人首页、评价反馈、售后信息、协商沟通、订单配送、收藏)等操作。用户用例图如图3-1所示。

图3-1 会员用户用例图
管理员登陆后,主要功能模块包括后台首页、系统用户(管理员、会员用户、卖家用户)、评价反馈管理、协商沟通管理、售后信息管理、系统管理、关于我们管理、资源管理(二手资讯、资讯分类)、商城管理(二手商品、订单列表、分类列表、订单配送)等功能。管理员用例图如图3-2所示。

图3-2 管理员用例图
(3)卖家用户功能需求
卖家用户注册登录登陆系统后,主要功能模块包括首页、关于我们、二手资讯、二手商品、商城管理、我的账户、个人中心(个人首页、二手商品、评价反馈、售后信息、协商沟通、订单配送、收藏)等功能。卖家用户用例图如图3-3所示。

图3-3 卖家用户用例图
第四章 系统设计
4.1 系统的功能结构图
经过系统需求分析,该校园二手闲置物品买卖网上商城的设计与实现功能结构图如图4-1所示:
图4-1 系统功能结构图
4.2 数据库概念结构设计
4.2.1 数据库E-R图
概念设计主要是通过数据库的概念结构和模式进行建立数据库嗯逻辑结构,然后利用数据库的DBMS进行完成,它不需要计算机系统的支持。通过系统的整体来看,主要是对数据库进行管理、整理、更新等操作。数据库的功能是非常强大的,每个系统的开发肯定离不开数据库,通过数据库可以看得出整个系统的质量和效率,根据以上的系统分析,对系统中的主要实体进行规划。以下是几个关键实体的实体关系图:
(1) 用户信息实体E-R图如图4-2所示:
图4-2用户信息实体属性图
(2)商品信息实体E-R图如图4-3所示:

图4-3商品信息实体图
(3)协商沟通实体E-R图如图4-3所示:

图4-4 协商沟通实体图
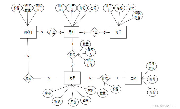
(3)校园二手闲置物品买卖网上商城问总E-R关系图如图4-5所示:
图4-5校园二手闲置物品买卖网上商城总体E-R关系图实体图
4.2.2 数据库逻辑结构设计
数据库的主要功能就是对相关信息就行存储,通过某种计算进行数据储存,其数据库的数据存储是井井有条的。并且其中的数据具有一定的独立性和安全性。通过对系统功能设计的要求和功能模块的规划,该校园二手闲置物品买卖网上商城的设计与实现设计到了多个数据表。以下信息是介绍数据库表的设计结构以及功能建立数据库表:
| 编号 | 名称 | 数据类型 | 长度 | 小数位 | 允许空值 | 主键 | 默认值 | 说明 |
| 1 | token_id | int | 10 | 0 | N | Y | 临时访问牌ID | |
| 2 | token | varchar | 64 | 0 | Y | N | 临时访问牌 | |
| 3 | info | text | 65535 | 0 | Y | N | ||
| 4 | maxage | int | 10 | 0 | N | N | 2 | 最大寿命:默认2小时 |
| 5 | create_time | timestamp | 19 | 0 | N | N | CURRENT_TIMESTAMP | 创建时间: |
| 6 | update_time | timestamp | 19 | 0 | N | N | CURRENT_TIMESTAMP | 更新时间: |
| 7 | user_id | int | 10 | 0 | N | N | 0 | 用户编号: |
| 编号 | 名称 | 数据类型 | 长度 | 小数位 | 允许空值 | 主键 | 默认值 | 说明 |
| 1 | address_id | int | 10 | 0 | N | Y | 收货地址: | |
| 2 | name | varchar | 32 | 0 | Y | N | 姓名: | |
| 3 | phone | varchar | 13 | 0 | Y | N | 手机: | |
| 4 | postcode | varchar | 8 | 0 | Y | N | 邮编: | |
| 5 | address | varchar | 255 | 0 | N | N | 地址: | |
| 6 | user_id | mediumint | 8 | 0 | N | N | 用户ID:[0,8388607]用户获取其他与用户相关的数据 | |
| 7 | create_time | timestamp | 19 | 0 | N | N | CURRENT_TIMESTAMP | 创建时间: |
| 8 | update_time | timestamp | 19 | 0 | N | N | CURRENT_TIMESTAMP | 更新时间: |
| 9 | default | bit | 1 | 0 | N | N | 0 | 默认判断 |
表after_sales_information (售后信息)
| 编号 | 名称 | 数据类型 | 长度 | 小数位 | 允许空值 | 主键 | 默认值 | 说明 |
| 1 | after_sales_information_id | int | 10 | 0 | N | Y | 售后信息ID | |
| 2 | order_number | varchar | 64 | 0 | Y | N | 订单编号 | |
| 3 | seller_customers | int | 10 | 0 | Y | N | 0 | 卖家用户 |
| 4 | product_name | varchar | 64 | 0 | Y | N | 商品名称 | |
| 5 | product_specifications | varchar | 64 | 0 | Y | N | 商品规格 | |
| 6 | ordering_members | int | 10 | 0 | Y | N | 0 | 下单会员 |
| 7 | member_name | varchar | 64 | 0 | Y | N | 会员姓名 | |
| 8 | purchase_quantity | varchar | 64 | 0 | Y | N | 购买数量 | |
| 9 | after_sales_type | varchar | 64 | 0 | Y | N | 售后类型 | |
| 10 | refund_amount | varchar | 64 | 0 | Y | N | 退款金额 | |
| 11 | related_vouchers | varchar | 255 | 0 | Y | N | 相关凭证 | |
| 12 | after_sales_reasons | text | 65535 | 0 | Y | N | 售后原因 | |
| 13 | examine_state | varchar | 16 | 0 | N | N | 未审核 | 审核状态 |
| 14 | examine_reply | varchar | 16 | 0 | Y | N | 审核回复 | |
| 15 | create_time | datetime | 19 | 0 | N | N | CURRENT_TIMESTAMP | 创建时间 |
| 16 | update_time | timestamp | 19 | 0 | N | N | CURRENT_TIMESTAMP | 更新时间 |
| 编号 | 名称 | 数据类型 | 长度 | 小数位 | 允许空值 | 主键 | 默认值 | 说明 |
| 1 | cart_id | int | 10 | 0 | N | Y | 购物车ID: | |
| 2 | title | varchar | 64 | 0 | Y | N | 标题: | |
| 3 | img | varchar | 255 | 0 | N | N | 0 | 图片: |
| 4 | user_id | int | 10 | 0 | N | N | 0 | 用户ID: |
| 5 | create_time | timestamp | 19 | 0 | N | N | CURRENT_TIMESTAMP | 创建时间: |
| 6 | update_time | timestamp | 19 | 0 | N | N | CURRENT_TIMESTAMP | 更新时间: |
| 7 | state | int | 10 | 0 | N | N | 0 | 状态:使用中,已失效 |
| 8 | price | double | 9 | 2 | N | N | 0.00 | 单价: |
| 9 | price_ago | double | 9 | 2 | N | N | 0.00 | 原价: |
| 10 | price_count | double | 11 | 2 | N | N | 0.00 | 总价: |
| 11 | num | int | 10 | 0 | N | N | 1 | 数量: |
| 12 | goods_id | mediumint | 8 | 0 | N | N | 商品id:[0,8388607] | |
| 13 | type | varchar | 64 | 0 | N | N | 未分类 | 商品分类: |
| 14 | description | varchar | 255 | 0 | Y | N | 描述:[0,255]用于产品规格描述 |
| 编号 | 名称 | 数据类型 | 长度 | 小数位 | 允许空值 | 主键 | 默认值 | 说明 |
| 1 | collect_id | int | 10 | 0 | N | Y | 收藏ID: | |
| 2 | user_id | int | 10 | 0 | N | N | 0 | 收藏人ID: |
| 3 | source_table | varchar | 255 | 0 | Y | N | 来源表: | |
| 4 | source_field | varchar | 255 | 0 | Y | N | 来源字段: | |
| 5 | source_id | int | 10 | 0 | N | N | 0 | 来源ID: |
| 6 | title | varchar | 255 | 0 | Y | N | 标题: | |
| 7 | img | varchar | 255 | 0 | Y | N | 封面: | |
| 8 | create_time | timestamp | 19 | 0 | N | N | CURRENT_TIMESTAMP | 创建时间: |
| 9 | update_time | timestamp | 19 | 0 | N | N | CURRENT_TIMESTAMP | 更新时间: |
| 编号 | 名称 | 数据类型 | 长度 | 小数位 | 允许空值 | 主键 | 默认值 | 说明 |
| 1 | comment_id | int | 10 | 0 | N | Y | 评论ID: | |
| 2 | user_id | int | 10 | 0 | N | N | 0 | 评论人ID: |
| 3 | reply_to_id | int | 10 | 0 | N | N | 0 | 回复评论ID:空为0 |
| 4 | content | longtext | 2147483647 | 0 | Y | N | 内容: | |
| 5 | nickname | varchar | 255 | 0 | Y | N | 昵称: | |
| 6 | avatar | varchar | 255 | 0 | Y | N | 头像地址:[0,255] | |
| 7 | create_time | timestamp | 19 | 0 | N | N | CURRENT_TIMESTAMP | 创建时间: |
| 8 | update_time | timestamp | 19 | 0 | N | N | CURRENT_TIMESTAMP | 更新时间: |
| 9 | source_table | varchar | 255 | 0 | Y | N | 来源表: | |
| 10 | source_field | varchar | 255 | 0 | Y | N | 来源字段: | |
| 11 | source_id | int | 10 | 0 | N | N | 0 | 来源ID: |
表consultation_and_communication (协商沟通)
| 编号 | 名称 | 数据类型 | 长度 | 小数位 | 允许空值 | 主键 | 默认值 | 说明 |
| 1 | consultation_and_communication_id | int | 10 | 0 | N | Y | 协商沟通ID | |
| 2 | negotiate_members | int | 10 | 0 | Y | N | 0 | 协商会员 |
| 3 | member_name | varchar | 64 | 0 | Y | N | 会员姓名 | |
| 4 | seller_customers | int | 10 | 0 | Y | N | 0 | 卖家用户 |
| 5 | product_name | varchar | 64 | 0 | Y | N | 商品名称 | |
| 6 | product_specifications | varchar | 64 | 0 | Y | N | 商品规格 | |
| 7 | commodity_price | varchar | 64 | 0 | Y | N | 商品价格 | |
| 8 | negotiation_title | varchar | 64 | 0 | Y | N | 协商标题 | |
| 9 | content_of_negotiation | text | 65535 | 0 | Y | N | 协商内容 | |
| 10 | reply_content | text | 65535 | 0 | Y | N | 回复内容 | |
| 11 | create_time | datetime | 19 | 0 | N | N | CURRENT_TIMESTAMP | 创建时间 |
| 12 | update_time | timestamp | 19 | 0 | N | N | CURRENT_TIMESTAMP | 更新时间 |
| 编号 | 名称 | 数据类型 | 长度 | 小数位 | 允许空值 | 主键 | 默认值 | 说明 |
| 1 | evaluation_feedback_id | int | 10 | 0 | N | Y | 评价反馈ID | |
| 2 | order_number | varchar | 64 | 0 | Y | N | 订单编号 | |
| 3 | seller_customers | int | 10 | 0 | Y | N | 0 | 卖家用户 |
| 4 | product_name | varchar | 64 | 0 | Y | N | 商品名称 | |
| 5 | product_specifications | varchar | 64 | 0 | Y | N | 商品规格 | |
| 6 | ordering_members | int | 10 | 0 | Y | N | 0 | 下单会员 |
| 7 | member_name | varchar | 64 | 0 | Y | N | 会员姓名 | |
| 8 | purchase_quantity | varchar | 64 | 0 | Y | N | 购买数量 | |
| 9 | evaluation_score | varchar | 64 | 0 | Y | N | 评价分数 | |
| 10 | evaluation_content | text | 65535 | 0 | Y | N | 评价内容 | |
| 11 | feedback_status | text | 65535 | 0 | Y | N | 反馈状态 | |
| 12 | create_time | datetime | 19 | 0 | N | N | CURRENT_TIMESTAMP | 创建时间 |
| 13 | update_time | timestamp | 19 | 0 | N | N | CURRENT_TIMESTAMP | 更新时间 |
| 编号 | 名称 | 数据类型 | 长度 | 小数位 | 允许空值 | 主键 | 默认值 | 说明 |
| 1 | goods_id | mediumint | 8 | 0 | N | Y | 产品id:[0,8388607] | |
| 2 | title | varchar | 125 | 0 | Y | N | 标题:[0,125]用于产品和html的<title>标签中 | |
| 3 | img | text | 65535 | 0 | Y | N | 封面图:用于显示于产品列表页 | |
| 4 | description | varchar | 255 | 0 | Y | N | 描述:[0,255]用于产品规格描述 | |
| 5 | price_ago | double | 8 | 2 | N | N | 0.00 | 原价:[1] |
| 6 | price | double | 8 | 2 | N | N | 0.00 | 卖价:[1] |
| 7 | sales | int | 10 | 0 | N | N | 0 | 销量:[0,1000000000] |
| 8 | inventory | int | 10 | 0 | N | N | 0 | 商品库存 |
| 9 | type | varchar | 64 | 0 | N | N | 商品分类: | |
| 10 | hits | int | 10 | 0 | N | N | 0 | 点击量:[0,1000000000]访问这篇产品的人次 |
| 11 | content | longtext | 2147483647 | 0 | Y | N | 正文:产品的主体内容 | |
| 12 | img_1 | text | 65535 | 0 | Y | N | 主图1: | |
| 13 | img_2 | text | 65535 | 0 | Y | N | 主图2: | |
| 14 | img_3 | text | 65535 | 0 | Y | N | 主图3: | |
| 15 | img_4 | text | 65535 | 0 | Y | N | 主图4: | |
| 16 | img_5 | text | 65535 | 0 | Y | N | 主图5: | |
| 17 | create_time | timestamp | 19 | 0 | N | N | CURRENT_TIMESTAMP | 创建时间: |
| 18 | update_time | timestamp | 19 | 0 | N | N | CURRENT_TIMESTAMP | 更新时间: |
| 19 | customize_field | text | 65535 | 0 | Y | N | 自定义字段 | |
| 20 | source_table | varchar | 255 | 0 | Y | N | 来源表: | |
| 21 | source_field | varchar | 255 | 0 | Y | N | 来源字段: | |
| 22 | source_id | int | 10 | 0 | N | N | 0 | 来源ID: |
| 23 | user_id | int | 10 | 0 | Y | N | 0 | 添加人 |
| 编号 | 名称 | 数据类型 | 长度 | 小数位 | 允许空值 | 主键 | 默认值 | 说明 |
| 1 | type_id | int | 10 | 0 | N | Y | 商品分类ID: | |
| 2 | father_id | smallint | 5 | 0 | N | N | 0 | 上级分类ID:[0,32767] |
| 3 | name | varchar | 255 | 0 | Y | N | 商品名称: | |
| 4 | desc | varchar | 255 | 0 | Y | N | 描述: | |
| 5 | icon | varchar | 255 | 0 | Y | N | 图标: | |
| 6 | source_table | varchar | 255 | 0 | Y | N | 来源表: | |
| 7 | source_field | varchar | 255 | 0 | Y | N | 来源字段: | |
| 8 | create_time | timestamp | 19 | 0 | N | N | CURRENT_TIMESTAMP | 创建时间: |
| 9 | update_time | timestamp | 19 | 0 | N | N | CURRENT_TIMESTAMP | 更新时间: |
| 编号 | 名称 | 数据类型 | 长度 | 小数位 | 允许空值 | 主键 | 默认值 | 说明 |
| 1 | hits_id | int | 10 | 0 | N | Y | 点赞ID: | |
| 2 | user_id | int | 10 | 0 | N | N | 0 | 点赞人: |
| 3 | create_time | timestamp | 19 | 0 | N | N | CURRENT_TIMESTAMP | 创建时间: |
| 4 | update_time | timestamp | 19 | 0 | N | N | CURRENT_TIMESTAMP | 更新时间: |
| 5 | source_table | varchar | 255 | 0 | Y | N | 来源表: | |
| 6 | source_field | varchar | 255 | 0 | Y | N | 来源字段: | |
| 7 | source_id | int | 10 | 0 | N | N | 0 | 来源ID: |
| 编号 | 名称 | 数据类型 | 长度 | 小数位 | 允许空值 | 主键 | 默认值 | 说明 |
| 1 | logistics_delivery_id | int | 10 | 0 | N | Y | 物流配送ID | |
| 2 | order_number | varchar | 64 | 0 | Y | N | 订单号 | |
| 3 | product_name | varchar | 64 | 0 | Y | N | 商品名称 | |
| 4 | purchase_quantity | varchar | 64 | 0 | Y | N | 购买数量 | |
| 5 | total_transaction_amount | double | 11 | 2 | Y | N | 0.00 | 交易总额 |
| 6 | the_date_of_issuance | date | 10 | 0 | Y | N | 发货日期 | |
| 7 | delivery_number | varchar | 30 | 0 | Y | N | 配送订单 | |
| 8 | ordinary_users | int | 10 | 0 | Y | N | 0 | 普通用户 |
| 9 | shipping_address | varchar | 64 | 0 | Y | N | 收货地址 | |
| 10 | delivery_status | varchar | 64 | 0 | Y | N | 配送状态 | |
| 11 | signing_status | varchar | 64 | 0 | Y | N | 签收状态 | |
| 12 | recommend | int | 10 | 0 | N | N | 0 | 智能推荐 |
| 13 | contact_name | varchar | 255 | 0 | Y | N | 联系人名字 | |
| 14 | merchant_id | int | 10 | 0 | Y | N | 商家id | |
| 15 | create_time | datetime | 19 | 0 | N | N | CURRENT_TIMESTAMP | 创建时间 |
| 16 | update_time | timestamp | 19 | 0 | N | N | CURRENT_TIMESTAMP | 更新时间 |
| 编号 | 名称 | 数据类型 | 长度 | 小数位 | 允许空值 | 主键 | 默认值 | 说明 |
| 1 | member_users_id | int | 10 | 0 | N | Y | 会员用户ID | |
| 2 | member_name | varchar | 64 | 0 | Y | N | 会员姓名 | |
| 3 | member_gender | varchar | 64 | 0 | Y | N | 会员性别 | |
| 4 | examine_state | varchar | 16 | 0 | N | N | 已通过 | 审核状态 |
| 5 | user_id | int | 10 | 0 | N | N | 0 | 用户ID |
| 6 | create_time | datetime | 19 | 0 | N | N | CURRENT_TIMESTAMP | 创建时间 |
| 7 | update_time | timestamp | 19 | 0 | N | N | CURRENT_TIMESTAMP | 更新时间 |
| 编号 | 名称 | 数据类型 | 长度 | 小数位 | 允许空值 | 主键 | 默认值 | 说明 |
| 1 | notice_id | mediumint | 8 | 0 | N | Y | 公告id: | |
| 2 | title | varchar | 125 | 0 | N | N | 标题: | |
| 3 | content | longtext | 2147483647 | 0 | Y | N | 正文: | |
| 4 | create_time | timestamp | 19 | 0 | N | N | CURRENT_TIMESTAMP | 创建时间: |
| 5 | update_time | timestamp | 19 | 0 | N | N | CURRENT_TIMESTAMP | 更新时间: |
| 编号 | 名称 | 数据类型 | 长度 | 小数位 | 允许空值 | 主键 | 默认值 | 说明 |
| 1 | order_id | int | 10 | 0 | N | Y | 订单ID: | |
| 2 | order_number | varchar | 64 | 0 | Y | N | 订单号: | |
| 3 | goods_id | mediumint | 8 | 0 | N | N | 商品id:[0,8388607] | |
| 4 | title | varchar | 32 | 0 | Y | N | 商品标题: | |
| 5 | img | varchar | 255 | 0 | Y | N | 商品图片: | |
| 6 | price | double | 10 | 2 | N | N | 0.00 | 价格: |
| 7 | price_ago | double | 10 | 2 | N | N | 0.00 | 原价: |
| 8 | num | int | 10 | 0 | N | N | 1 | 数量: |
| 9 | price_count | double | 8 | 2 | N | N | 0.00 | 总价: |
| 10 | norms | varchar | 255 | 0 | Y | N | 规格: | |
| 11 | type | varchar | 64 | 0 | N | N | 未分类 | 商品分类: |
| 12 | contact_name | varchar | 32 | 0 | Y | N | 联系人姓名: | |
| 13 | contact_email | varchar | 125 | 0 | Y | N | 联系人邮箱: | |
| 14 | contact_phone | varchar | 11 | 0 | Y | N | 联系人手机: | |
| 15 | contact_address | varchar | 255 | 0 | Y | N | 收件地址: | |
| 16 | postal_code | varchar | 9 | 0 | Y | N | 邮政编码: | |
| 17 | user_id | int | 10 | 0 | N | N | 0 | 买家ID: |
| 18 | merchant_id | mediumint | 8 | 0 | N | N | 0 | 商家ID: |
| 19 | create_time | timestamp | 19 | 0 | N | N | CURRENT_TIMESTAMP | 创建时间: |
| 20 | update_time | timestamp | 19 | 0 | N | N | CURRENT_TIMESTAMP | 更新时间: |
| 21 | description | varchar | 255 | 0 | Y | N | 描述:[0,255]用于产品规格描述 | |
| 22 | state | varchar | 16 | 0 | N | N | 待付款 | 订单状态:待付款,待发货,待签收,已签收,待退款,已退款,已拒绝,已完成 |
| 23 | remark | text | 65535 | 0 | Y | N | 订单备注 | |
| 24 | delivery_state | varchar | 16 | 0 | Y | N | 未配送 | 发货状态:未配送,已配送 |
| 25 | vip_discount | double | 11 | 2 | Y | N | 0.00 | 折扣 |
| 编号 | 名称 | 数据类型 | 长度 | 小数位 | 允许空值 | 主键 | 默认值 | 说明 |
| 1 | praise_id | int | 10 | 0 | N | Y | 点赞ID: | |
| 2 | user_id | int | 10 | 0 | N | N | 0 | 点赞人: |
| 3 | create_time | timestamp | 19 | 0 | N | N | CURRENT_TIMESTAMP | 创建时间: |
| 4 | update_time | timestamp | 19 | 0 | N | N | CURRENT_TIMESTAMP | 更新时间: |
| 5 | source_table | varchar | 255 | 0 | Y | N | 来源表: | |
| 6 | source_field | varchar | 255 | 0 | Y | N | 来源字段: | |
| 7 | source_id | int | 10 | 0 | N | N | 0 | 来源ID: |
| 8 | status | bit | 1 | 0 | N | N | 1 | 点赞状态:1为点赞,0已取消 |
| 编号 | 名称 | 数据类型 | 长度 | 小数位 | 允许空值 | 主键 | 默认值 | 说明 |
| 1 | second_hand_goods_id | int | 10 | 0 | N | Y | 二手商品ID | |
| 2 | seller_customers | int | 10 | 0 | Y | N | 0 | 卖家用户 |
| 3 | product_name | varchar | 64 | 0 | Y | N | 商品名称 | |
| 4 | product_specifications | varchar | 64 | 0 | Y | N | 商品规格 | |
| 5 | purchase_time | date | 10 | 0 | Y | N | 购买时间 | |
| 6 | new_and_old_degree | varchar | 64 | 0 | Y | N | 新旧程度 | |
| 7 | usage | text | 65535 | 0 | Y | N | 使用情况 | |
| 8 | cart_title | varchar | 125 | 0 | Y | N | 标题:[0,125]用于产品html的标签中 | |
| 9 | cart_img | text | 65535 | 0 | Y | N | 封面图:用于显示于产品列表页 | |
| 10 | cart_description | varchar | 255 | 0 | Y | N | 描述:[0,255]用于产品规格描述 | |
| 11 | cart_price_ago | double | 8 | 2 | N | N | 0.00 | 原价:[1] |
| 12 | cart_price | double | 8 | 2 | N | N | 0.00 | 卖价:[1] |
| 13 | cart_inventory | int | 10 | 0 | N | N | 0 | 商品库存 |
| 14 | cart_type | varchar | 64 | 0 | N | N | 未分类 | 商品分类: |
| 15 | cart_content | longtext | 2147483647 | 0 | Y | N | 正文:产品的主体内容 | |
| 16 | cart_img_1 | text | 65535 | 0 | Y | N | 主图1: | |
| 17 | cart_img_2 | text | 65535 | 0 | Y | N | 主图2: | |
| 18 | cart_img_3 | text | 65535 | 0 | Y | N | 主图3: | |
| 19 | cart_img_4 | text | 65535 | 0 | Y | N | 主图4: | |
| 20 | cart_img_5 | text | 65535 | 0 | Y | N | 主图5: | |
| 21 | create_time | datetime | 19 | 0 | N | N | CURRENT_TIMESTAMP | 创建时间 |
| 22 | update_time | timestamp | 19 | 0 | N | N | CURRENT_TIMESTAMP | 更新时间 |
| 编号 | 名称 | 数据类型 | 长度 | 小数位 | 允许空值 | 主键 | 默认值 | 说明 |
| 1 | seller_customers_id | int | 10 | 0 | N | Y | 卖家用户ID | |
| 2 | seller_name | varchar | 64 | 0 | Y | N | 卖家姓名 | |
| 3 | seller_gender | varchar | 64 | 0 | Y | N | 卖家性别 | |
| 4 | examine_state | varchar | 16 | 0 | N | N | 已通过 | 审核状态 |
| 5 | user_id | int | 10 | 0 | N | N | 0 | 用户ID |
| 6 | create_time | datetime | 19 | 0 | N | N | CURRENT_TIMESTAMP | 创建时间 |
| 7 | update_time | timestamp | 19 | 0 | N | N | CURRENT_TIMESTAMP | 更新时间 |
| 编号 | 名称 | 数据类型 | 长度 | 小数位 | 允许空值 | 主键 | 默认值 | 说明 |
| 1 | slides_id | int | 10 | 0 | N | Y | 轮播图ID: | |
| 2 | title | varchar | 64 | 0 | Y | N | 标题: | |
| 3 | content | varchar | 255 | 0 | Y | N | 内容: | |
| 4 | url | varchar | 255 | 0 | Y | N | 链接: | |
| 5 | img | varchar | 255 | 0 | Y | N | 轮播图: | |
| 6 | hits | int | 10 | 0 | N | N | 0 | 点击量: |
| 7 | create_time | timestamp | 19 | 0 | N | N | CURRENT_TIMESTAMP | 创建时间: |
| 8 | update_time | timestamp | 19 | 0 | N | N | CURRENT_TIMESTAMP | 更新时间: |
| 编号 | 名称 | 数据类型 | 长度 | 小数位 | 允许空值 | 主键 | 默认值 | 说明 |
| 1 | upload_id | int | 10 | 0 | N | Y | 上传ID | |
| 2 | name | varchar | 64 | 0 | Y | N | 文件名 | |
| 3 | path | varchar | 255 | 0 | Y | N | 访问路径 | |
| 4 | file | varchar | 255 | 0 | Y | N | 文件路径 | |
| 5 | display | varchar | 255 | 0 | Y | N | 显示顺序 | |
| 6 | father_id | int | 10 | 0 | Y | N | 0 | 父级ID |
| 7 | dir | varchar | 255 | 0 | Y | N | 文件夹 | |
| 8 | type | varchar | 32 | 0 | Y | N | 文件类型 |
第五章 系统功能实现
5.1会员用户功能模块
校园二手闲置物品买卖网上商城,在系统首页可以查看首页、关于我们、二手资讯、二手商品、商城管理、协商沟通、我的账户、个人中心等内容,如图5-1所示。
图5-1会员用户首页界面图
二手资讯,在二手资讯页面可以查看标题、内容、图片、点赞数、浏览量等详细信息,可进行点赞、收藏、评论等操作,图5-2所示。
图5-2二手资讯界面图
会员用户注册,在会员用户注册页面通过填写用户名、密码、姓名、身份、电话、邮箱等信息完成会员用户注册,如图5-3所示。
图5-3会员注册界面图
二手商品,在二手商品页面可通过关键字快速搜索自己需要的商品信息,在商品详情页面可进行收藏、加购物车或立即购买操作,如图5-4所示。
图5-4商品详情界面图
商城管理,用户在商城管理页面可查看我的订单信息,我的地址和购物车,在我的购物车里可查看加购的商品信息可进行删除或支付操作,在我的地址页面可对个人收货地址进行添加、置顶设置,以我的订单为例,如图5-5所示。
图5-5 我的订单界面图
协商沟通,用户在协商沟通页面输入卖家用户、商品名称、商品规格、商品价格、协商标题、协商内容等信息进行完成协商沟通的提交操作,由管理员进行审核回复,如图5-6所示。
图5-6 协商沟通界面图
会员用户在“个人中心”可查看评价反馈、协商沟通、售后信息、订单配送和收藏等内容并可进行相应的功能操作,如图5-7所示。
图5-7 个人中心界面图
我的账户,在我的账户页面可对个人基本资料和登录密码进行修改操作,如图5-8所示。
图5-8我的账户界面图
5.2管理员功能模块
管理员登录,通过填写登录时输入的用户名、密码和验证进行验证登录,如图5-10所示。
图5-6管理员登录界面图
管理员登录进入校园二手闲置物品买卖网上商城可以查看商品销售金额统计图和商品销售数量统计图,后台首页、系统用户、评价反馈管理、协商沟通管理、售后信息管理、系统管理、关于我们管理、资源管理、商城管理等信息,如图5-7所示。
图5-7管理员功能界面图
资讯分类列表管理,在资讯分类列表页面中可以查看索引、类型名称等信息,并可根据需要进行修改或删除等操作,如图5-8所示。
图5-8资讯分类列表界面图
系统用户,在系统用户管理页面中可以对前台注册的会员用户、卖家用户以及管理员进行维护管理,如图5-10所示。
图5-10系统用户管理界面图
5.3卖家功能模块
协商沟通管理,在协商沟通列表中可以查看索引、协商会员、会员姓名、协商标题、协商内容、创建时间、更新时间等信息,并可根据需要进行详情、协商回复等操作,如图5-9所示。
图5-9协商回复界面图
售后信息管理,在售后信息列表中可以查看索引、卖家用户、商品名称、相关凭证、售后原因等信息,可查看详情、审核回复等相应操作,如图5-11所示。
图5-11售后信息管理界面图
商城管理,在商城管理页面中可以对自己店铺的商品进行添加、删除等操作;查看自己店铺的订单信息并对已支付的订单进行安排配送等操作,如图5-11所示。
图5-12 商城管理界面图
第六章 系统测试
6.1测试定义及目的
关于系统实现的测试,英文名称是System TEST,简称ST,ST是使用完整其系统的各种功能多次、多案例、多环境测试,这是ST的简单描述。ST可以证明该功能对系统的要求是否得到满足以及是否有效。
对于系统开发的实现,不管开发过程多么努力,在系统运行的时候多少都会出现一些错误信息,所以为了系统的安全性及提高系统的使用率及给用户带来更好的体验,系统在完成之前,一定要进行一遍系统的测试,再完美的程序也会有漏洞,再细心的技术开发员也会有疏忽的时候,所以对于程序的测试是必须要做的一步。通过系统测试找到系统存在的问题,并根据问题的原因进行在线解决问题,如果找不到解决问题的办法可以进行通过咨询指导老师或者通过同学帮忙,一定将问题找出,否则将会出现更多的错误。所以程序出现错误时不可避免,系统测试虽然耗时费力,但是为了确保后期系统的长期使用,必须要进行系统测试,问题解决完成后还要再一步测试,直到没有任何问题后方可进行使用。
6.2性能测试
任何一款程序开发成功后都必须通过软件测试,它是保障软件稳定运行的前提。测试最主要的一步就是性能测试,性能测试内容如下:
(1)对于测试的速度有一定的要求,速度必须快,而且对于测试出来的错误问题一定以最快的速度进行处理解决,并且进行再次测试,保证整个系统运行的安全性。
(2)在系统测试的时候要将测试所用到的测试计划和测试报告保管好,方便后期系统的运行使用后的整体维护操作。
(3)软件测试整个过程中的聚类现象应优先考虑。
(4)对于整体系统测试,不要用自己的思想去认可整个系统,而是从公正的角度的进行对系统进行认可,是否符系统的整合应用。
6.3测试模块
测试系统是最新的Windows 10系统,通过对系统实现的功能模块进行每个功能模块的操作测试,查看每个用户的功能模块所对应的权限信息是否可以操作并且数据信息更新一致。
| 测试需求 | 测试重点 | 是否达成需求 | 结果 |
| 用户登录 | 输入账号密码 | 需求达成 | 通过 |
| 用户注册 | 创建新的账号密码 | 需求达成 | 通过 |
| 登录失败 | 输入错误账号密码 | 需求达成 | 通过 |
| 修改信息 | 修改成功 | 需求达成 | 通过 |
| 添加信息管理 | 增删查改 | 需求达成 | 通过 |
| 回复管理 | 增删查改 | 需求达成 | 通过 |
| 搜索查询管理 | 增删查改 | 需求达成 | 通过 |
系统测试方面,我们通常运用的是白盒测试以及黑盒测试这两种方法。白盒测试是指在了解系统内部工作流程的前提下,可以根据需求规范验证系统内部操作是否能够正常运行的测试;而黑盒测试指的是,倘若知道了这个系统的全部功能,可以进行测试检测系统中的每一个功能是否满足正常使用。
为了方便用户使用“校园二手闲置物品买卖网上商城”,以及尽可能少的减少系统测试错误的发生,我们对该系统进行了相对应的测试。
对该系统的全部的功能界面进行测试,简单来说,就是我们输入一些数据并且对其进行提交,之后我们查看每个页面的反馈,检测页面的相关功能可不可以完全实现。
6.4测试结果
测试评估的结果是校园二手闲置物品买卖网上商城满足要求中的所有功能,处理大多数错误条件,修复大多数错误并通过测试。校园二手闲置物品买卖网上商城的基本功能都是可行的,不管是系统里面的功能还是界面的设计都是可值得推广宣传的。
结束语
在本次毕业设计的过程中,从开始的懵懂无知,感觉设计一个系统非常困难,不知道该从何做起,但是通过查阅相关资料和网站之后,让我对该系统的开发有了新的认知,开发系统最重要的就是需求调查和系统分析,也通过老师指导和学过相关的知识,在加上我的不懈努力,最后将该系统逐步完成。在此次毕业设计中,让我知道了做什么事都必须要坚持,努力去查阅资料,并且善于发现和研究,充分利用身边资源,我相信办法总比困难多,所有问题都会迎刃而解。通过此次校园二手闲置物品买卖网上商城的开发设计,将我在大学期间所学的知识都应用到了其中。使理论知识和现实实践进行相结合,开发校园二手闲置物品买卖网上商城将理论知识和实践相结合,也将计算机信息与实践问题进行了相结合,通过现代计算机网络的便利来解决生活中的问题,并且还提高了我的计算机编程能力,在这次的开发设计过程中,虽然我遇到了很多的问题和困难,但是通过老师和同学们的帮助下,所有的问题都迎刃而解了,让我顺利的完成了此次的毕业论文设计,通过此次毕业设计的开发与设计,大大的提高了我的动手动脑能力,并且为我以后的工作奠定了坚实的基础。
通过本次设计,让我学到了更多的知识,而且在设计中会有一些问题出现,最后通过查阅资料和在老师和同学的帮助下完成了系统的设计和开发,使得这次系统的开发非常的有意义。同时通过这次系统的设计也让我明白了自己在哪方面有不足,以后加以学习争取可以开发住更多有用的适用的系统软件。
致 谢
大学生活在这个时候即将划上一个句号,但是对于我的人生道路来说,这仅仅是一个逗号,我将面对的是又一次征程的开始。
回忆过去,许许多多的事情浮现在脑海:刚上大学时欢乐心情和兴奋的场景还历历在目。一切都是那么新鲜,那么富有吸引力。有快乐也有艰辛,有收获也有失落。衷心感谢信息学院所有支持帮助过我的老师,谢谢你们多年来的关心和爱护。同窗的友情同样难忘,你们与我共同走过了人生中不平凡的道路,给我留下了值得珍藏的美好记忆。
最后,我要特别感谢指导校园二手闲置物品买卖网上商城论文设计的老师。本论文是在他的悉心指导和热情帮助下完成的,老师认真负责的工作态度,严谨的治学精神和精深的理论水平都使我受益匪浅。老师无论在理论上还是在实践中,都给予我很大的帮助,使我专业技能的应用水平得到很大提高,这对于我以后的工作和学习都有益处。值此论文完成之际,特别向老师表示衷心的感谢和崇高的敬意,谢谢他细心而又耐心地辅导,使得我得以顺利的完成毕业设计开发工作,同时也要感谢其他帮助过我的老师和同学,他们在我成长过程中给予了我很大的帮助,在此一并表示感谢。
由于本人水平有限,加上时间紧促,本文一定有不少缺点和不足,恳请各位老师给予帮助和指正。
参考文献
[1]孙丽, 王皓, 戴璐, 帕合尔敦·加马力, 梁丹露. 大学校园二手交易平台构建与运营——以E大学“花梨闲转”微信小程序为例[J]. 科技与创新, 2024, (04): 12-16.
[2]Zhang Xiao, Yu Ali, Wang Xin, Zhang Xue. Sports Work Strategy of College Counselors Based on MySQL Database Big Data Analysis[J]. International Journal of Information Technology and Web Engineering (IJITWE), 2023, 18 (1): 1-14.
[3]崔臣, 宋甲旭. 基于SpringBoot的校园二手交易系统研究[J]. 无线互联科技, 2023, 20 (18): 31-34.
[4]Gopi Karthik, Mazumder Debashish, Crawford Jagoda, Gadd Patricia, Tadros Carol V, Atanacio Armand, Saintilan Neil, Sammut Jesmond. Developing a MySQL Database for the Provenance of Black Tiger Prawns (Penaeus monodon).[J]. Foods (Basel, Switzerland), 2023, 12 (14):
[5]Babatunde Olagoke Sunday, Sunday O Nduka. MySQL Database Server: Deploying Software Application to Enhance Visibility and Accountability[J]. Current Journal of Applied Science and Technology, 2023, 42 (4): 16-23.
[6]李钱洪. 贵阳市花溪大学城二手市场行情分析与发展建议[J]. 现代商贸工业, 2023, 44 (08): 78-81.
[7]于凯, 李苏, 杨婷婷, 范宗余, 张琦. 电子商务环境下大学生二手物品交易平台发展研究[J]. 老字号品牌营销, 2023, (03): 89-91.
[8]曹振兴, 刘亚娇, 邹敏, 涂蓉蓉, 刘键铮. 绿色校园背景下的校园二手交易平台[J]. 数字通信世界, 2023, (01): 75-77.
[9]高耀, 许诺, 李博, 王国帧. 基于Web的新型校园二手交易平台实践研究——以“校易集市”为例[J]. 中国商论, 2023, (01): 130-132.
[10]张宇航, 刘琪, 陈攀龙, 陈婷婷. “互联网+”大学校园交易二手互助平台发展规划[J]. 商业经济, 2022, (12): 182-184.
[11]潘俊任, 洪小萍. 校园二手交易平台探析——以广西民族师范学院为例[J]. 现代商贸工业, 2022, 43 (21): 75-77.
[12]彭嘉怡, 袁楠楠, 尹鲲龙, 魏姝琪. 大学生闲置物品交易互助微信小程序设计与开发[J]. 中国新技术新产品, 2022, (18): 37-40.
[13]陈春龙. 基于混合推荐的校园二手交易系统的研究与实现[D]. 辽宁大学, 2022.
[14]李俊, 马琦, 朱嘉灵, 陈乐. 新型大学校园二手交易平台构建研究[J]. 物流工程与管理, 2021, 43 (12): 145-148.
[15]许一靖, 李英杰, 韩润心, 曹俊杰, 李鹏宇, 郭趁趁. 校园跳蚤市场[J]. 山西电子技术, 2021, (05): 66-68.
[16]李元博, 王法胜. 校园二手商品交易平台设计与实现[J]. 电脑知识与技术, 2021, 17 (29): 64-67+84.
[17]赵秋雨. 校园二手商品交易平台设计[J]. 许昌学院学报, 2021, 40 (05): 107-110.
[18]陈皓月, 王乐乐, 郭乾乾, 郭常福, 孙玉凤. 校园二手交易平台构建设想——以宁夏医科大学为例[J]. 中国市场, 2021, (26): 176-177+196.
[19]胡思思, 马诗豪, 姜美. 绿色校园背景下的校园二手交易平台[J]. 现代商业, 2021, (23): 33-35.
[20]程功, 王春霞. 校园二手物品交易平台的研究[J]. 农村经济与科技, 2021, 32 (14): 97-99.
请关注点赞+私信博主,免费领取项目源码

被折叠的 条评论
为什么被折叠?



