Express宠物领养系统
摘 要
该系统旨在为宠物领养者和宠物收养机构提供一个便捷、高效的平台,实现宠物的匹配和领养流程的管理。采用Express框架构建后端服务器,并使用Node.js作为后端开发语言。采用RESTful API设计。宠物领养系统主要包括以下模块:用户管理模块、宠物管理模块和领养流程管理模块。用户可以注册账户并登录系统,查看和编辑个人信息。宠物收养机构可以添加和管理待领养的宠物信息,包括种类、年龄、性别等。领养者可以浏览宠物列表,并根据自己的需求和条件筛选合适的宠物。在选择合适的宠物后,领养者可以提交领养申请,并与宠物收养机构进行进一步沟通和确认。通过该系统,用户可以方便地浏览和领养合适的宠物,并简化了宠物领养流程的管理与跟踪。这个系统有望在宠物领养领域发挥积极的作用,提升宠物领养的效率和透明度。
关键词:宠物领养,Express框架,MySQL数据库
Abstract
The system aims to provide a convenient and efficient platform for pet adopters and pet adoption institutions to achieve pet matching and management of the adoption process. Build a backend server using the Express framework and use Node.js as the backend development language. Designed using RESTful API. The pet adoption system mainly includes the following modules: user management module, pet management module, and adoption process management module. Users can register an account and log in to the system to view and edit personal information. Pet adoption agencies can add and manage pet information to be adopted, including type, age, gender, etc. Adopters can browse the pet list and select suitable pets based on their needs and conditions. After selecting a suitable pet, the adopter can submit an adoption application and further communicate and confirm with the pet adoption agency. Through this system, users can easily browse and adopt suitable pets, and simplify the management and tracking of pet adoption processes. This system is expected to play a positive role in the field of pet adoption, improving the efficiency and transparency of pet adoption.
Key words: Pet adoption, Express framework, MySQL database
目 录
随着社会发展和人们生活水平的提高,越来越多的人开始关注宠物的陪伴和抚养。然而,传统的宠物领养方式存在一些不便和局限性,如信息获取困难、手续繁琐等。
首先,宠物领养系统可以帮助解决宠物领养过程中的信息不对称问题。传统方式下,领养者需要通过各种渠道寻找宠物收养机构,了解待领养宠物的情况。而基于Express的宠物领养系统可以将宠物收养机构的信息集中展示,包括宠物的种类、性别、年龄、健康状况等。这样,领养者可以更方便地浏览和筛选合适的宠物,提高领养的效率和成功率。
其次,该系统能够促进宠物收养机构的规范化管理和服务水平的提升。通过系统的设计与实现,宠物收养机构可以更好地管理待领养的宠物信息。同时,系统还可以提供对领养者的筛选和审核功能,确保领养者的条件和意愿与宠物的需求相匹配。这将有助于提升宠物收养机构的服务质量和可信度,推动整个宠物领养行业的规范化发展。
此外,基于Express的宠物领养系统还具备一定的扩展性和灵活性。通过使用Express框架,系统的开发和部署变得更加快速、简便,使得系统能够适应不断变化的需求和新兴技术的发展。同时,系统还可以结合其他相关技术,进一步提升宠物领养的效率和准确性因此,设计和实现一个基于Express的宠物领养系统能够解决传统方式存在的问题。该系统可以通过在线平台提供宠物信息的展示和管理,使领养者可以方便地查找符合自己需求的宠物。同时,系统可以简化领养流程,提供在线申请和处理功能,减少繁琐的手续和文件存档。通过引入现代技术手段,该系统有助于促进宠物领养的便捷性、透明性和效率,提高动物福利,满足人们对宠物伴侣的需求。
-
- 研究现状
基于Express的宠物领养系统的研究现状相对较新,但已经在学术界和工业界引起了一定的关注和研究。目前的研究主要集中在以下方面:
研究者们关注宠物领养系统的整体架构设计和功能实现。他们使用Express框架搭建系统,并结合其他技术组件等,实现用户管理、宠物信息管理、领养流程管理等核心功能。注重提供良好的用户体验和友好的界面设计。通过精心设计的界面布局、交互方式和响应式设计,使得用户能够轻松浏览宠物信息、提交领养申请等操作。一些研究也涉及对宠物领养系统的社会影响进行评估。他们关注宠物领养系统在提升宠物保护意识、减少流浪动物等方面的效果评估。
需要注意的是,由于该领域相对较新且发展迅速,目前的研究现状还有待进一步深入和完善。未来的研究可以继续关注用户体验和界面设计、安全性与隐私保护等方面,以推动基于Express的宠物领养系统在功能、性能和用户满意度上的进一步提升。
-
- 本文的组织结构
六个章节共同组成了本文研究及设计内容,包括:
第一章:绪论。本文章的开头部分,对本题目的研究背景和研究意义等一些做文字性的描述。
第二章:系统分析。包括系统总体需求描述、功能性角度分析系统需求、非功能性等各个方面分析系统是否可以实现。
第三章:系统设计。本文章的重要部分,提供了系统架构的详细设计和一些主要功能模块的设计说明。
第四章:系统实现。将本系统分为前提的开发工具介绍和后期的功能代码实现。
第五章:系统测试。系统完成后,根据各个模块的测试用例才对各个模块进行功能测试。
第六章:总结与展望。
-
系统分析
开发软件有没有触犯法律,这涉及到软件或者系统能不能发布的问题。如果触犯了法律,就必将会受到法律的制裁。常见法律问题就是软件抄袭问题,若是抄袭别人软件,将会受到严厉惩罚。
采用Node.js编程语言和Express框架,以及MySQL关系型数据库管理系统,设计和实现一个宠物领养系统。Node.js作为后端开发语言,具有强大的异步处理能力和丰富的开源库支持,使得开发人员可以快速构建高效的服务器端应用程序。而Express是一个基于Node.js的轻量级Web应用程序框架,具有简单易学、高效灵活的特点,适合构建中小型的服务器端应用程序。MySQL作为一种常见的关系型数据库管理系统,具有稳定性和可靠性,能够满足系统对数据的存储和访问需求。
在开发宠物领养系统中所使用的开发工具、云存储服务、MySQL数据库等工具都是开源免费的,这些环境在学校都进行了系统的学习,自己能够独立操作完成,不需要额外花费,而且系统的开发工具从网上都可以直接下载,因此在经济方面是可行的。
-
-
- 操作可行性分析
-
此次项目设计的时候我参考了很多类似系统的成功案例,对它们的操作界面以及功能都进行了系统的分析,将众多案例结合在一起,突出以人为本简化操作,所以具有基本计算机知识的人都会操作本项目。因此操作可行性也没有问题。
宠物领养系统主要是为了更加地完善宠物领养的服务情况,对用户的信息、宠物信息、宠物领养、宠物转让等提供了方便的机制。本系统有多类使用者,分别是用户注册 管理员和商家。以下分别从用户和管理这两种角度介绍本系统所要实现的功能。
用户:
注册:首先检查用户名和邮箱是否存在,如不存在即可进行注册,并将用户输入的密码进行MD5加密,注册成功后提示注册成功,并将用户信息保存到数据库中;
登录:使用宠物领养系统前是需要用户登录个人账号;
宠物资讯:用户登录宠物领养系统首页时,可以浏览系统发布的宠物资讯信息等;
饲养视频:用户登录系统后可以点击饲养视频了解各类宠物的饲养细则;
留言信息:用户可以在留言模块发表留言信息,可以做一个交流互动的平台;
领养信息:用户可以进行宠物认领信息浏览;
认领信息:用户点击选择宠物进行认领操作;
领养记录:记录用户的宠物领养信息;
认领记录:记录用户的从无认领信息。
个人中心:用户可以在此界面对个人资料信息进行修改等操作。
商家
商家中心:商家通过商家中心管理其店铺信息,包括店铺名称、联系方式等
商品管理:可以添加、编辑和删除商品,设置价格、和属性,上传图片和描述等
订单管理:跟踪订单状态、确认付款、准备发货并更新订单状态
管理员:
商家用户管理:对商家进行管理,商家的注册,包括商家昵称、商家名、商家的宠物信息(宠物类别、性别、年龄等)商家的账号信息:
视频类型管理:对视频类型进行增删改查;
饲养视频管理:发布管理宠物饲养视频;
宠物资讯管理:对宠物秀资讯进行发布管理;
宠物认领管理:审核宠物认领信息,同意或拒绝;
宠物转让管理:对宠物转信息进行维护管理。
-
- 非功能需求分析
系统非功能需求有非常多,比如性能需求、可承载最大用户数、稳定性、易用性需求等。本系统分析时考虑到易用性需求,因为系统是给人使用的,所以必须充分从用户的角度出发,考虑用户体验,使系统易理解易上手易操作。
1.普通用户主要使用系统进行宠物领养以及宠物的认领,下图所示为普通用户的用例
图2-1 普通用户用例图
2.商家主要使用系统进行上商品上架以及订单管理和订单处理,下图所示为商家的用例。
图2-2 商家用例图
3.管理员主要负责用户管理、宠物领养管理、宠物认领管理、饲养视频管理,下图所示描述管理员的用例图。

图2-3 管理员用例图
系统业务流程图如下所示。
图2-4 系统业务流程图
业务流程图(TFD)通过一些特定的符号描述业务的处理过程,它重点强调业务过程中每一项处理活动和具体业务部门的关系,选择部分模块进行具体描述。重点对本系统整体业务中最为主要的宠物领养以及认领业务进行描述,用户进入宠物领养系统后进行各种模块信息的浏览,另外,管理人员进入后端管理,以执行宠物领养模块的相关管理方法,并在解决后向客户提供反馈机制。
-
- 数据流程分析
如下为系统的顶层数据流图,外部实体有用户和管理员,分别对系统输入数据,从而得到要输出的数据。
图2-5系统顶层数据流图
如下图所示为系统底层数据流图。
宠物领养系统底层数据流图主要描述系统底层模块的数据流、数据载体、数据处理、外部实体的具体交互。本系统就是管理员和普通用户在用户管理、宠物领养、宠物认领、饲养视频管理等模块上的数据交互。
本系统架构设计主要分为可以3层,主要有Web层,业务层,Model层。其中web层还包括View层和Controller层,Model层包括元数据扩展层和数据访问层。
图3-1系统架构图
为了将系统从“做什么”落实到“怎么做”,基于系统设计原则,对系统功能进行更适合编码实现的功能划分。根据上图的系统架构设计,整理出规范的系统功能结构图,为系统的实现编码做好准备。
如下图所示为系统功能结构图。
图3-2系统功能结构图
用户管理针对所有用户和管理员。未注册用户点击注册,进入注册页面填写新用户信息,得到自定义生成账号后,注册完成。未注册用户注册的活动图如下图所示。

图3-3未注册用户注册活动图
用户可进行登录使用更多功能,首先进入用户登录界面,输入用户账号和密码,后台对账号和密码信息进行核对验证,验证成功则页面直接显示登录用户昵称代表登录成功,否则返回用户登录界面。用户登录活动图如下图。

图3-4用户登录活动图
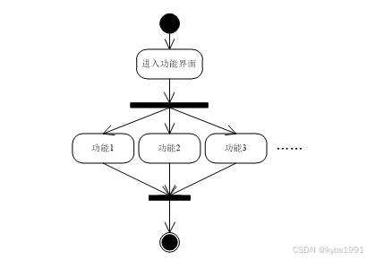
用户登录后,进入功能页面,进行宠物资讯浏览,饲养视频搜索、宠物领养、宠物认领。用户使用功能活动图如下图所示。

图3-5用户使用功能活动图
用户功能界面可对自己的密码进行修改。进入修改密码界面后核对当前密码,核对成功后填写新密码。修改密码活动图如下图所示。

图3-6修改密码活动图
宠物领养系统采用的数据库是MySQL,该部分将根据系统需求和设计,设计合理的数据库。本系统考虑到之后系统的扩展集群,数据库将不使用外键。此外,不用外键时数据管理也较为简单,操作更加方便,性能更高。
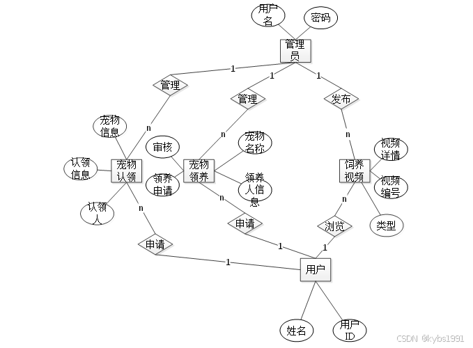
E-R图,更加直观的告诉开发人员系统的各个数据的属性,各个数据之间的联系,各个数据的类型。能通过该模型更直观地了解数据库的设计,并根据对其逐渐改善。
本系统图设计,如下图所示。
图3-7系统E-R图
本系统根据第三范式的思想设计数据库,减少最大程度的冗余,总共建立有多个表,宠物领养表、宠物信息表、宠物资讯表等。
表结构如下所示。
| 编号 | 名称 | 数据类型 | 长度 | 小数位 | 允许空值 | 主键 | 默认值 | 说明 |
| 1 | pet_adoption_id | int | 10 | 0 | N | Y | 宠物领养ID | |
| 2 | regular_users | int | 10 | 0 | Y | N | 0 | 普通用户 |
| 3 | user_name | varchar | 64 | 0 | Y | N | 用户姓名 | |
| 4 | pet_name | varchar | 64 | 0 | Y | N | 宠物名称 | |
| 5 | pet_breeds | varchar | 64 | 0 | Y | N | 宠物品种 | |
| 6 | pet_size | varchar | 64 | 0 | Y | N | 宠物体型 | |
| 7 | pet_fur_color | varchar | 64 | 0 | Y | N | 宠物毛色 | |
| 8 | examine_state | varchar | 16 | 0 | N | N | 未审核 | 审核状态 |
| 9 | examine_reply | varchar | 16 | 0 | Y | N | 审核回复 | |
| 10 | create_time | datetime | 19 | 0 | N | N | CURRENT_TIMESTAMP | 创建时间 |
| 11 | update_time | timestamp | 19 | 0 | N | N | CURRENT_TIMESTAMP | 更新时间 |
-
- 表pet_information (宠物信息)
| 编号 | 名称 | 数据类型 | 长度 | 小数位 | 允许空值 | 主键 | 默认值 | 说明 |
| 1 | pet_information_id | int | 10 | 0 | N | Y | 宠物信息ID | |
| 2 | pet_name | varchar | 64 | 0 | Y | N | 宠物名称 | |
| 3 | pet_breeds | varchar | 64 | 0 | Y | N | 宠物品种 | |
| 4 | pet_pictures | varchar | 255 | 0 | Y | N | 宠物图片 | |
| 5 | release_date | date | 10 | 0 | Y | N | 发布日期 | |
| 6 | pet_size | varchar | 64 | 0 | Y | N | 宠物体型 | |
| 7 | pet_fur_color | varchar | 64 | 0 | Y | N | 宠物毛色 | |
| 8 | pet_personality | varchar | 64 | 0 | Y | N | 宠物性格 | |
| 9 | pet_characteristics | varchar | 64 | 0 | Y | N | 宠物特点 | |
| 10 | hits | int | 10 | 0 | N | N | 0 | 点击数 |
| 11 | praise_len | int | 10 | 0 | N | N | 0 | 点赞数 |
| 12 | create_time | datetime | 19 | 0 | N | N | CURRENT_TIMESTAMP | 创建时间 |
| 13 | update_time | timestamp | 19 | 0 | N | N | CURRENT_TIMESTAMP | 更新时间 |
| 编号 | 名称 | 数据类型 | 长度 | 小数位 | 允许空值 | 主键 | 默认值 | 说明 |
| 1 | pet_mall_id | int | 10 | 0 | N | Y | 宠物商城ID | |
| 2 | merchant_users | int | 10 | 0 | Y | N | 0 | 商家用户 |
| 3 | merchant_name | varchar | 64 | 0 | Y | N | 商家姓名 | |
| 4 | hits | int | 10 | 0 | N | N | 0 | 点击数 |
| 5 | praise_len | int | 10 | 0 | N | N | 0 | 点赞数 |
| 6 | cart_title | varchar | 125 | 0 | Y | N | 标题:[0,125]用于产品html的标签中 | |
| 7 | cart_img | text | 65535 | 0 | Y | N | 封面图:用于显示于产品列表页 | |
| 8 | cart_description | varchar | 255 | 0 | Y | N | 描述:[0,255]用于产品规格描述 | |
| 9 | cart_price_ago | double | 8 | 2 | N | N | 0.00 | 原价:[1] |
| 10 | cart_price | double | 8 | 2 | N | N | 0.00 | 卖价:[1] |
| 11 | cart_inventory | int | 10 | 0 | N | N | 0 | 商品库存 |
| 12 | cart_type | varchar | 64 | 0 | N | N | 未分类 | 商品分类: |
| 13 | cart_content | longtext | 2147483647 | 0 | Y | N | 正文:产品的主体内容 | |
| 14 | cart_img_1 | text | 65535 | 0 | Y | N | 主图1: | |
| 15 | cart_img_2 | text | 65535 | 0 | Y | N | 主图2: | |
| 16 | cart_img_3 | text | 65535 | 0 | Y | N | 主图3: | |
| 17 | cart_img_4 | text | 65535 | 0 | Y | N | 主图4: | |
| 18 | cart_img_5 | text | 65535 | 0 | Y | N | 主图5: | |
| 19 | create_time | datetime | 19 | 0 | N | N | CURRENT_TIMESTAMP | 创建时间 |
| 20 | update_time | timestamp | 19 | 0 | N | N | CURRENT_TIMESTAMP | 更新时间 |
-
- 表praise (点赞)
| 编号 | 名称 | 数据类型 | 长度 | 小数位 | 允许空值 | 主键 | 默认值 | 说明 |
| 1 | praise_id | int | 10 | 0 | N | Y | 点赞ID: | |
| 2 | user_id | int | 10 | 0 | N | N | 0 | 点赞人: |
| 3 | create_time | timestamp | 19 | 0 | N | N | CURRENT_TIMESTAMP | 创建时间: |
| 4 | update_time | timestamp | 19 | 0 | N | N | CURRENT_TIMESTAMP | 更新时间: |
| 5 | source_table | varchar | 255 | 0 | Y | N | 来源表: | |
| 6 | source_field | varchar | 255 | 0 | Y | N | 来源字段: | |
| 7 | source_id | int | 10 | 0 | N | N | 0 | 来源ID: |
| 8 | status | bit | 1 | 0 | N | N | 1 | 点赞状态:1为点赞,0已取消 |
-
- 表comment (评论)
| 编号 | 名称 | 数据类型 | 长度 | 小数位 | 允许空值 | 主键 | 默认值 | 说明 |
| 1 | comment_id | int | 10 | 0 | N | Y | 评论ID: | |
| 2 | user_id | int | 10 | 0 | N | N | 0 | 评论人ID: |
| 3 | reply_to_id | int | 10 | 0 | N | N | 0 | 回复评论ID:空为0 |
| 4 | content | longtext | 2147483647 | 0 | Y | N | 内容: | |
| 5 | nickname | varchar | 255 | 0 | Y | N | 昵称: | |
| 6 | avatar | varchar | 255 | 0 | Y | N | 头像地址:[0,255] | |
| 7 | create_time | timestamp | 19 | 0 | N | N | CURRENT_TIMESTAMP | 创建时间: |
| 8 | update_time | timestamp | 19 | 0 | N | N | CURRENT_TIMESTAMP | 更新时间: |
| 9 | source_table | varchar | 255 | 0 | Y | N | 来源表: | |
| 10 | source_field | varchar | 255 | 0 | Y | N | 来源字段: | |
| 11 | source_id | int | 10 | 0 | N | N | 0 | 来源ID: |
-
- 表forum (论坛)
| 编号 | 名称 | 数据类型 | 长度 | 小数位 | 允许空值 | 主键 | 默认值 | 说明 |
| 1 | forum_id | mediumint | 8 | 0 | N | Y | 论坛id | |
| 2 | display | smallint | 5 | 0 | N | N | 100 | 排序 |
| 3 | user_id | mediumint | 8 | 0 | N | N | 0 | 用户ID |
| 4 | nickname | varchar | 16 | 0 | Y | N | 昵称:[0,16] | |
| 5 | praise_len | int | 10 | 0 | Y | N | 0 | 点赞数 |
| 6 | hits | int | 10 | 0 | N | N | 0 | 访问数 |
| 7 | title | varchar | 125 | 0 | N | N | 标题 | |
| 8 | keywords | varchar | 125 | 0 | Y | N | 关键词 | |
| 9 | description | varchar | 255 | 0 | Y | N | 描述 | |
| 10 | url | varchar | 255 | 0 | Y | N | 来源地址 | |
| 11 | tag | varchar | 255 | 0 | Y | N | 标签 | |
| 12 | img | text | 65535 | 0 | Y | N | 封面图 | |
| 13 | content | longtext | 2147483647 | 0 | Y | N | 正文 | |
| 14 | create_time | timestamp | 19 | 0 | N | N | CURRENT_TIMESTAMP | 创建时间: |
| 15 | update_time | timestamp | 19 | 0 | N | N | CURRENT_TIMESTAMP | 更新时间: |
| 16 | avatar | varchar | 255 | 0 | Y | N | 发帖人头像: | |
| 17 | type | varchar | 64 | 0 | N | N | 0 | 论坛分类:[0,1000]用来搜索指定类型的论坛帖 |
未注册用户在用户注册界面uerRegister.jsp,输入新用户信息,点击注册后,新用户信息由界面传入控制层userAction,调用addUser(user)方法,通过userDAOImp向数据库用户表插入用户信息,由于用户账号是自动生成的,若成功则反馈注册成功,并提示新用户的用户账号;若失败则回到登录界面,并显示登录失败。
注册界面如下所示。
图2-1注册界面
用户在首页点击登录,进入用户登录界面uerLogin.jsp,输入用户账号和密码,点击登录,用户账号和密码信息由界面传入控制层userAction,调用userLogin(user)方法,通过userDAOImp向数据库用户表搜索该用户账号与密码,将最终结果反馈到前端。若成功则回到首页;用户成功登录,若失败则回到登录界面,并显示登录失败。
用户点击注销,清空浏览器session值,然后返回登录页或者首页。
登录界面如下所示。
图4-3登录界面
登录用户在首页点击进入用户中心userCenter.jsp,再点击修改个人信息按钮进入userChangeInfo.jsp界面,系统根据session中存储的目前登录的用户的账号,向控制层userAction发送请求,搜索当前用户信息,userAction向userDAOImp调用queryByUserId(user),向数据库的用户表搜索当前用户信息并将用户信息以对象的形式层层返回到userChangeInfo.jsp界面,显示出当前用户的个人信息。
若用户要对个人信息进行修改,则通过修改当前信息之后点击确认,向控制层userAction发送更改后的用户信息,调用changeUser(user)方法,通过userDAOImp向数据库用户表更新用户信息,若成功则反馈注册成功,则返回的userChangeInfo.jsp界面被更改成功;若失败则显示修改失败。
用户在登录状态下浏览饲养视频时,点击视频视频播放。
饲养视频界面如下所示。
图4-4饲养视频界面
用户在登录状态下点击宠物领养页面可将进行宠物领养申请提交,从session中取出该宠物领养的信息,点击加入宠物领养,发起请求,将对应的宠物领养信息chongwuid参数信息从前台传递linyangController类里,匹配到add()方法,add()方法调用linyangServiceImpl类的add()方法。
宠物领养信息界面如下所示。
图4-5宠物领养界面
需要填写一些基本的注册信息,如商家名称、联系人姓名、联系方式等。商家注册登录页面如下
图4-6商家注册登录界面
-
-
- 商家中心
-
商家可以在商城管理后台进行商品上架和修改,订单处理中心查看和处理收到的订单单。他们可以跟踪订单状态、确认付款、准备发货并更新订单状态。商家还可以生成订单报告和统计数据,以便进行销售分析和预测。
图4-7商家上架商品界面
管理员选择个人中心的修改本人密码。通过密码框输入现密码和2次新密码,如果现密码错误,则提示修改失败。如果2次新密码不一致,则提示修改失败。都没问题的话,系统提示修改成功,并返回登录界面。
用户信息界面如下所示。
图4-8用户信息界面
根据需求,需要对宠物资讯进行添加、删除或修改详情信息。删除或修改宠物资讯时,系统根据宠物资讯的状态判定为可删除状态下,才会给出删除和修改链接,点击删除链接按钮时,请求到达后台,还会先查询宠物资讯状态再次做出判定能否删除。点击修改链接按钮时,会跳转到修改信息的页面,重新填写好数据后,数据提交到后台会对数据库中相应的记录做出修改。
添加宠物资讯时,会给出数据填写的页面,该页面根据填写好的宠物资讯编号同样会事先发送Ajax请求查询编号是否已存在,数据填写好之后提交到后台,会调用相关服务在数据库中插入记录。
宠物资讯页面设计效果如下图所示。
图4-9宠物资讯管理界面
宠物领养功能整体流程:用户浏览宠物领养信息时,同时会显示宠物的状态,系统会在其显示详细信息的页面时便会判断宠物的状态,若宠物状态为可领养,则会显示申请的链接按钮。在用户点击申请按钮时,会先通过拦截器判断用户是否登录,若未登录,会跳转至登录页面,提示用户先登录,若为登录用户就会跳转至填写申请信息的页面,填写好申请信息之后,点击提交按钮,申请成功之后返回提示信息,告知用户申请成功。
宠物领养流程图如下图所示。

图4-10宠物领养流程图
宠物领养管理界面如下图所示。
图4-11宠物领养管理界面
添加宠物认领信息时,会给出数据填写的页面,该页面根据填写好的认领信息同样会事先发送后台,数据填写好之后提交到后台,会调用相关服务在数据库中插入记录。
宠物认领管理页面设计效果如下图所示。
图4-12宠物认领管理界面图
软件测试是软件开发完成后必须经过的一道程序,它在软件开发过程中地位十分重要,需要由专业的测试工程师来对软件进行各方面的测试,大到功能模块测试,小到代码的单元测试,这对测试工程师来说需要有足够的耐心和专业的测试方案,软件测试归根结底就是对软件的结构和功能的综合测评,需要做到结构稳定和功能正确,二者兼顾。软件测试也叫寻找系统bug的过程,世界上没有完美无缺、不存在bug的软件,只能将软件的bug降到最低最小,来追求极致。
登录测试是系统最开始就要进行,测试用户能否登录,才能完成后续的功能操作。
登录测试用例表如下所示。
表6-1登录测试
| 用例编号 | YL001 | 程序版本 | 1.00 |
| 功能名称 | 使用者登录测试 | 编制人 | 李铁蛋 |
| 功能描述 | 根据用户的登录情况测试 | ||
| 用例目的 | 测试用户登录情况是否正确 | ||
| 测试项 | 测试数据 | 测试结果 | 预期结果 |
| 用户名 | 为空 | 请输入用户名 | 请输入用户名 |
| 密码 | 为空 | 请输入密码 | 请输入密码 |
| 用户密码组合 | 用户名:klouse 密码 klouses | 用户与密码不匹配 | 用户与密码不匹配 |
| 用户密码组合 | 用户名 : klouse 密码 klouse | 进入系统 | 正确的用户名和密码 登录系统 |
管理员在发布信息页面,通过按照预先格式发布信息,如果因为输入时候缺少相关内容,就不能发布成功,且有相应错误提示
信息录入发布测试用例表如下所示。
表6-1信息录入发布测试
| 用例编号 | YL002 | 程序版本 | 1.00 |
| 功能名称 | 信息发布测试 | 编制人 | 李铁蛋 |
| 功能描述 | 对使用者发布或者录入信息进行测试,判断其功能是否达到预期的要求 | ||
| 用例目的 | 对系统使用者录入发布信息进行原型测试。 | ||
| 测试项 | 测试数据 | 测试结果 | 预期结果 |
| 属性1 | 为空 | 请输入属性1对应的数据 | 请输入属性1对应的数据 |
| 属性2 | 为空 | 请输入属性2对应的数据 | 请输入属性2对应的数据 |
| 属性3 | 为空 | 请输入属性3对应的数据 | 请输入属性3对应的数据 |
| 全部输入 | 数据均填入 | 录入发布成功 | 录入发布成功 |
管理员在更新信息页面,通过按照预先格式更新信息,如果因为输入时候缺少相关内容或者更新的数据不符合当前规范的话,就不能更新成功,且有相应错误提示
信息更新测试用例表如下所示。
表6-1信息更新测试
| 用例编号 | YL003 | 程序版本 | 1.00 |
| 功能名称 | 信息更新测试 | 编制人 | 李铁蛋 |
| 功能描述 | 对使用者更新信息进行测试,判断其功能是否达到预期的要求 | ||
| 用例目的 | 对系统使用者更新信息进行原型测试。 | ||
| 测试项 | 测试数据 | 测试结果 | 预期结果 |
| 属性1 | 编号:321 | 编号更新成功 | 编号更新成功 |
| 属性2 | 名称:名称1 | 名称更新成功 | 名称更新成功 |
| 属性3 | 内容:内容1234内容 | 内容更新成功 | 内容更新成功 |
| 全部输入 | 数据均未更改 | 更新成功 | 更新成功 |
管理员在信息页面,通过点击数据删除按钮来删除该条数据,如果该数据和其他数据有关联,则提示是否确定删除。
信息删除测试用例表如下所示。
表6-1信息删除测试
| 用例编号 | YL004 | 程序版本 | 1.00 |
| 功能名称 | 信息删除测试 | 编制人 | 李铁蛋 |
| 功能描述 | 对使用者删除信息进行测试,判断其功能是否达到预期的要求 | ||
| 用例目的 | 对系统使用者删除信息进行原型测试。 | ||
| 测试项 | 测试数据 | 测试结果 | 预期结果 |
| 数据1 | 无任何关联的数据1 | 数据删除成功 | 数据删除成功 |
| 数据2 | 和其他数据有关联的数据2 | 请确认是否删除 | 请确认是否删除 |
在经过之前的所有的工作之后,通过对软件的测试方法、测试原则还有典型的测试用例进行全面的、深入的介绍。经过对系统的全面测试,系统目前所具有的所有功能均成功的实现并且通过了测试,整个系统实现了基于 Node.js 开发的期望。
宠物领养系统采用Express框架开发,该系统非常完美的集优点于一身,成熟、强大、易理解易使用,通过使用这个结构,降低了开发的难度。本系统实现了基于Express的宠物领养系统,将数据操作维护的过程转化成电脑操作流程,具体实现了对系统人员管理、宠物资讯数据维护、宠物领养数据维护、宠物认领数据维护,帮助使用者进行数据操作维护,简化工作流程,提高工作效率和盈利。
目前完成的宠物领养系统,还有许多有待改进的地方。一个是功能上的改进,用户理应可以修改自己的相关信息,故应增设个人中心功能;另外,系统如果能提供更多的功能就会使得系统更加丰富和多样化,比如数据当前分析和未来预测等。第二个是技术上的改进,由于对开发框架不太熟悉,权限管理这部分,本系统采用一个Node.js页面来规定好导航栏,即跳转的页面,这相对比较不灵活,如果将URL路径记录到数据库并实现增删查改会比较好;另外就是对EasyUI的使用还不够熟练,视觉效果和界面观感有待提升,希望日后能对这个系统有所改进。
参考文献
[1]费天乐,刘君. 宠物领养一站式服务平台可行性及运行模式研究 [J]. 国际公关, 2023, (12): 170-172.
[2]赵亚洲,杨晓冬. 动物领养管理系统的设计与实现 [J]. 无线互联科技, 2022, 19 (18): 61-65+72.
[3]安琪. 基于服务设计思维的城市流浪动物助养系统设计研究[D]. 北京化工大学, 2022.
[4]许亦卿. 一种云领养宠物创业模式 [J]. 合作经济与科技, 2022, (01): 116-118.
[4]杨思涵.流浪动物相关法律与现实问题[J].法制博览,2021(14):154-156.
[5]邢月,喻德荣.简析流浪动物救助实践困境与路径优化[J].大众标准化,2021(04):71-73.
[6]罗雪樱,张云雁.流浪动物的法律保护研究——以宁夏为例[J].法制博览,2020(36):35-36.
[7]赵灿. 《宠爱》移动应用设计的研究[D].北京印刷学院,2020.
[8]姜苏. 基于互联网平台解决社会流浪动物问题的可行性研究[D].山东农业大学,2020.
[9]陈薇,刘梓媛,尹婷.新媒体背景下流浪动物救助微信公众号运营研究[J].现代营销(下旬刊),2020(05):85-86.
[11] Jeev Aashraya - A leading Animal Protection and Care Organization to develop additional Shelters for stray Animals in India[J]. M2 Presswire,2018:
[12]Francis E. Hamilton. Leading and Organizing Social Change for Companion Animals[J]. Anthrozoös,2018,23(3):
致谢
在老师的教导和帮助下,本人完成了本篇论文,老师对论文的内容、格式都有非常严格的要求,在我写毕业论文的过程中,他多次给出了建议,并定期检查,对我们严格要求,帮助我们在文档的编写上写到极致和正确,他这种教学和工作态度,让我对他产生无限的敬佩感和尊敬感。写毕业论文的同时,作为应届生,我也忙着找工作中,遇到了很多选择,感到困惑迷茫的时候,老师给了我很多意见,感谢老师的耐心开导,跟她的聊天我明白了许多。
我还要感谢我的父母,一直以来都非常支持和相信我,在精神和经济上给了我很多力量,如今我将毕业走上工作之路,终于能报答父母的养育教导之恩。还有我大学期间所有老师和全体同学,遇到问题时,这些老师同学总是无私地帮助我,真的非常感谢,我也会加油努力成长为一个有用的人。
请关注点赞+私信博主,免费领取项目源码
279

被折叠的 条评论
为什么被折叠?



