力扣剑指Offer 第20天 分治算法(中等)剑指 Offer 07. 重建二叉树 剑指 Offer 16. 数值的整数次方 剑指 Offer 33. 二叉搜索树的后序遍历序列
剑指 Offer 07. 重建二叉树
题目
输入某二叉树的前序遍历和中序遍历的结果,请构建该二叉树并返回其根节点。
假设输入的前序遍历和中序遍历的结果中都不含重复的数字。
示例 1:
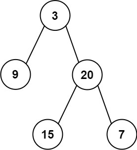
Input: preorder = [3,9,20,15,7], inorder = [9,3,15,20,7]
Output: [3,9,20,null,null,15,7]

示例 2:
Input: preorder = [-1], inorder = [-1]
Output: [-1]
限制:
0 <= 节点个数 <= 5000
题解
分治 二叉树遍历的性质
前序遍历列表:第一个元素永远是 【根节点 (root)】
中序遍历列表:根节点 (root)【左边】的所有元素都在根节点的【左分支】,【右边】的所有元素都在根节点的【右分支】
算法思路:
通过【前序遍历列表】确定【根节点 】
将【中序遍历列表】的节点分割成【左分支节点】和【右分支节点】
递归寻找【左分支节点】中的【根节点】和 【右分支节点】中的【根节点 】
/**
* Definition for a binary tree node.
* public class TreeNode {
* int val;
* TreeNode left;
* TreeNode right;
* TreeNode(int x) { val = x; }
* }
*/
class Solution {
private int[] preorder=null;
private HashMap<Integer,Integer>map=null;
private int pre=-1;
private TreeNode divide(int l,int r){
if(++pre>=preorder.length)return null;
int in=map.get(preorder[pre]);
TreeNode node=new TreeNode(preorder[pre]);
// System.out.println(node.val+" in:"+in);
if(l<in)node.left=dfs(l,in-1);
if(r>in)node.right=dfs(in+1,r);
return node;
}
public TreeNode buildTree(int[] preorder, int[] inorder) {
if(preorder.length==0)return null;
this.preorder=preorder;
map=new HashMap<>();
for(int i=0;i<inorder.length;i++){
map.put(inorder[i],i);
}
return divide(0,inorder.length-1);
}
}
剑指 Offer 16. 数值的整数次方
题目
实现pow(x, n) ,即计算 x 的 n 次幂函数(即,xn)。不得使用库函数,同时不需要考虑大数问题。
示例 1:
输入:x = 2.00000, n = 10
输出:1024.00000
示例 2:
输入:x = 2.10000, n = 3
输出:9.26100
示例 3:
输入:x = 2.00000, n = -2
输出:0.25000
解释:pow(2,-2) = pow(0.5,2) = 0.25
提示:
- -100.0 < x < 100.0
- -231 <= n <= 231-1
- -104 <= xn <= 104
题解
快速幂
边界:幂为0返回1
幂为奇数则将幂-1,结果乘以一个底数
幂为偶数则将幂除以2,底数平方
(相当于将原本的求复杂幂转换为求平方,将底数与幂做微妙的转换,使得幂一步步开平方急速降维)
本题虽然数据在int范围内,但是由于我们对幂的取反操作,使得当幂等于Integer.minValue时取反溢出发生错误!所以得开long!
递归实现
class Solution {
private double pow(double x,long n){
if(n==0L)return 1.0;
if((n&1L)==1L)return pow(x,n-1L)*x;
return pow(x*x,n/2L);
}
public double myPow(double x, int n) {
if(n==0)return 1;
if(x==0.0)return 0;
long m=n;
if(m<0){
x=1.0/x;
m=-m;
}
return pow(x,m);
}
}
非递归实现
class Solution {
public double myPow(double x, int n) {
if(n==0)return 1;
if(x==0.0)return 0;
long m=n;
if(m<0){
x=1.0/x;
m=-m;
}
double ans=1;
while(true){
if(m==0)break;
if((m&1)==1){
ans*=x;
m--;
}else{
x*=x;
m/=2L;
}
}
return ans;
}
}
剑指 Offer 33. 二叉搜索树的后序遍历序列
题目
输入一个整数数组,判断该数组是不是某二叉搜索树的后序遍历结果。如果是则返回 true,否则返回 false。假设输入的数组的任意两个数字都互不相同。
参考以下这颗二叉搜索树:
5
/ \
2 6
/ \
1 3
示例 1:
输入: [1,6,3,2,5]
输出: false
示例 2:
输入: [1,3,2,6,5]
输出: true
提示:
数组长度 <= 1000
题解
分治
- 二叉搜索树的性质:左子树的值小于根值,右子树的值大于根的值
- 后序遍历:先递归搜索左子树,再递归搜索右子树,然后输出当前节点
- 无重复值节点

从最右的节点(根节点)开始,将左边数组划分为左子树(小于根值)与右子树(大于根值)
(如果在划分时发现不符合条件则说明不是二叉搜索树 返回false)
边界:划分后的数组长度小于等于3时(任意3个元素都可以组成一个二叉搜索子树)
class Solution {
private boolean divide(int[] postorder,int l,int r){
// System.out.println("l:"+l+" r:"+r);
if(r-l<=2)return true;
int i=l,root=postorder[r];
while(i<r&&postorder[i]<root)i++;//寻找右区域的左端
int j=i;
while(j<r&&postorder[j]>root)j++;//检测右区域是否符合条件(全部大于根)
// System.out.println("i:"+i+" j:"+j);
if(j!=r)return false;
return divide(postorder,l,i-1)&÷(postorder,i,r-1);
}
public boolean verifyPostorder(int[] postorder) {
if(postorder.length<=2)return true;
return divide(postorder,0,postorder.length-1);
}
}
本文深入探讨了利用分治算法解决二叉树重建、数值整数次方计算以及二叉搜索树后序遍历序列验证的问题。针对每个问题,文章提供了详细的解题思路和递归、非递归的解决方案,揭示了二叉树特性和分治策略在算法设计中的关键作用。
1000

被折叠的 条评论
为什么被折叠?



