Deblurring Text Images via L0-Regularized Intensity and Gradient Prior
观察下图,b e分别为清晰图像a和模糊图像d的像素强度直方图,c f分别为清晰图像a和模糊图像d的水平梯度直方图,基于他们之间差异,提出L0正则先验去噪。

L0正则先验:
注:L0正则化的值是目标中非零项的个数。
记Pt(x)为文本图像x中像素强度非零的个数,Pt(x) = ||x||0
记Pt(∇x) 为文本图像x中(水平)梯度非零的个数
则 P(x) = σ Pt(x) + Pt(∇x),即为L0正则先验。σ为权重
通过L0正则先验进行文本去模糊:

其中,y为模糊图片,k为模糊核,*为卷积操作,γ和 λ 为权重。上式等价于解以下两式子:

(4)式解法:
基于半二次分裂L0极小化法[1],提出使用一种有效的交替最小化方法。引入辅助变量u和g=(gh,gv)T 并重写(4)为

β 和 µ接近无穷,通过修正其他变量来独立的最小化x,u,g。其中u和g初始化为零,在每次迭代中,x的解通过解以下方程获得
![]()
这个最小二乘最小化问题的封闭解为:
(注:解析解(Analytical solution) 就是根据严格的公式推导,给出任意的自变量就可以求出其因变量,也就是问题的解,然后可以利用这些公式计算相应的问题。所谓的解析解是一种包含分式、三角函数、指数、对数甚至无限级数等基本函数的解的形式。用来求得解析解的方法称为解析法(Analytical techniques),解析法即是常见的微积分技巧,例如分离变量法等。解析解是一个封闭形式(Closed-form) 的函数,因此对任一自变量,我们皆可将其带入解析函数求得正确的因变量。因此,解析解也被称为封闭解(Closed-form solution)。)

其中F为快速傅里叶变换,![]()
![]()
其中![]()
为水平和垂直微分算子。
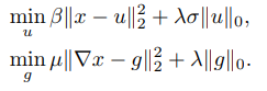
给出x则计算u和g为:

上式为基于像素最小化问题,通过[1]得

(5)式解法:
使用FFTs,参考[2]
(4),(5)解法伪代码

参考文献:
[1] L. Xu, C. Lu, Y. Xu, and J. Jia. Image smoothing via l0 gradient minimization. ACM Trans. Graph., 30(6):174, 2011.
[2] S. Cho and S. Lee. Fast motion deblurring. ACM Trans. Graph., 28(5):145, 2009
博客围绕通过L0正则先验进行文本图像去模糊展开。基于清晰与模糊图像的像素强度和水平梯度直方图差异提出L0正则先验,介绍了其定义。阐述了通过该先验进行文本去模糊的方法,给出(4)、(5)式解法,涉及半二次分裂L0极小化法、交替最小化方法等,还给出解法伪代码。
6353

被折叠的 条评论
为什么被折叠?



