
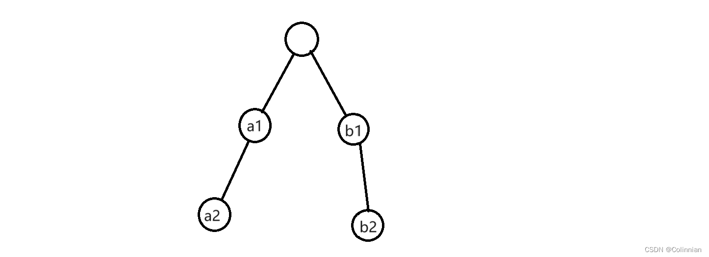
先不考虑多节点,先看着颗二叉树,假设他们的父亲节点是第k个被访问的点,如果先访问左子树,那么得到的结果是a1*k+a2*(k+1)+b1*(2+k)+b2*(2+k+1),可以发现,先访问左子树,那么右子树每次的乘以的p值实际上是左子树乘以的p值加上左子树的节点个数,比如a1*k和b1*(2+k),如果不看2,它们同样是第k个被访问的,先访问了a子树,而a子树的节点个数是2,所以再次访问b子树的时候,每一个b子树的节点都加上了2.
那么先访问a子树使得b子树多增加的权值是a子树的节点个数*b子树的权值之和.,同理,先访问b子树那么增加的权值之和是a子树的权值乘以b子树的节点,所以只需要判断是suma*nodeb和sumb*nodea哪一个更大即可.
代码如下
using ll = long long;
struct node {
ll num;
ll sum;
ll node;
};
int main() {
int n;
std::cin >> n;
std::vector<node>w(n + 1);
for (int i = 1; i <= n; i++) {
std::cin >> w[i].sum;
w[i].num = w[i].sum;
w[i].node = 1;
}
std::vector<std::vector<ll>>adj(n+1);
for (int i = 2; i <= n; i++) {
int x;
std:

最低0.47元/天 解锁文章
1951

被折叠的 条评论
为什么被折叠?



