🔥博客主页: 我要成为C++领域大神
🎥系列专栏:【C++核心编程】 【计算机网络】 【Linux编程】 【操作系统】
❤️感谢大家点赞👍收藏⭐评论✍️
本博客致力于知识分享,与更多的人进行学习交流

给定一个二叉树的 根节点 root,想象自己站在它的右侧,按照从顶部到底部的顺序,返回从右侧所能看到的节点值。
示例 1:

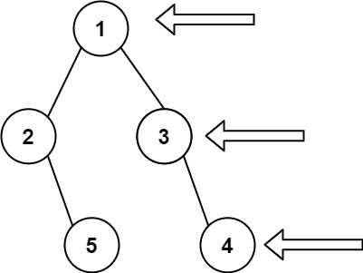
输入: [1,2,3,null,5,null,4]
输出: [1,3,4]
示例 2:
输入: [1,null,3]
输出: [1,3]
示例 3:
输入: []
输出: []
层序遍历
思路
题目要求我们输出的是二叉树从右侧能看到的所有节点,即右子树最右边的节点,以及一部分左子树
画图来直观感受。

即每一层的最右边节点。
要查看每一层,所以容易想到层序遍历。
我们修改层序遍历的代码,当每次遍历到当前层最后一个节点时,将节点元素值存入数组即可。
代码实现
/**
* Definition for a binary tree node.
* struct TreeNode {
* int val;
* TreeNode *left;
* TreeNode *right;
* TreeNode() : val(0), left(nullptr), right(nullptr) {}
* TreeNode(int x) : val(x), left(nullptr), right(nullptr) {}
* TreeNode(int x, TreeNode *left, TreeNode *right) : val(x), left(left),
* right(right) {}
* };
*/
class Solution {
public:
vector<int> rightSideView(TreeNode* root) {
vector<int> vec;
if (root == nullptr)
return vec;
levelOrder(vec, root);
return vec;
}
void levelOrder(vector<int>& vec, TreeNode* root) {
queue<TreeNode*> que;
que.push(root);
while (!que.empty()) {
int size = que.size();
for (int i = 0; i < size; ++i) {
TreeNode* node = que.front();
que.pop();
if (i == size - 1)
vec.push_back(node->val);
if (node->left)
que.push(node->left);
if (node->right)
que.push(node->right);
}
}
}
};
578





