🔥 博客主页: 我要成为C++领域大神
🎥 系列专栏:【C++核心编程】 【计算机网络】 【Linux编程】 【操作系统】
❤️ 感谢大家点赞👍收藏⭐评论✍️本博客致力于分享知识,欢迎大家共同学习和交流。

给定一个二叉搜索树的根节点 root ,和一个整数 k ,请你设计一个算法查找其中第 k 个最小元素(从 1 开始计数)。
示例 1:

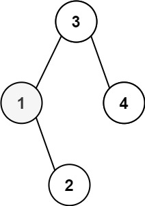
输入:root = [3,1,4,null,2], k = 1
输出:1
示例 2:

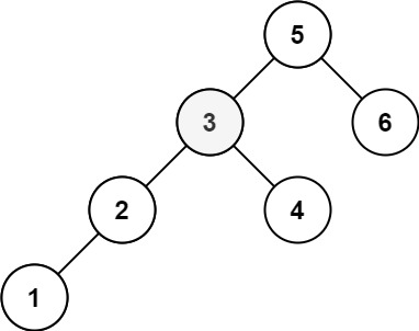
输入:root = [5,3,6,2,4,null,null,1], k = 3
输出:3
中序遍历
思路
由于BST的生长是严格按照大小关系的,左孩子<父节点<右孩子,而中序遍历的顺序就是左中右。所以我们可以使用中序遍历整棵BST,将遍历结果保存到数组中,然后return nums[k-1]即可。
代码实现
/**
* Definition for a binary tree node.
* struct TreeNode {
* int val;
* TreeNode *left;
* TreeNode *right;
* TreeNode() : val(0), left(nullptr), right(nullptr) {}
* TreeNode(int x) : val(x), left(nullptr), right(nullptr) {}
* TreeNode(int x, TreeNode *left, TreeNode *right) : val(x), left(left),
* right(right) {}
* };
*/
class Solution {
public:
vector<int> nums;
int kthSmallest(TreeNode* root, int k) {
inorderTraversal(root, nums);
return nums[k - 1];
}
void inorderTraversal(TreeNode* root, vector<int>& nums) {
stack<TreeNode*> st;
TreeNode* cur = root;
while (!st.empty() || cur != nullptr) {
if (cur != nullptr) {
st.push(cur);
cur = cur->left;
} else {
cur = st.top();
st.pop();
nums.push_back(cur->val);
cur = cur->right;
}
}
}
};
517

被折叠的 条评论
为什么被折叠?



