🔥 博客主页: 我要成为C++领域大神
🎥 系列专栏:【C++核心编程】 【计算机网络】 【Linux编程】 【操作系统】
❤️ 感谢大家点赞👍收藏⭐评论✍️本博客致力于分享知识,欢迎大家共同学习和交流。

给你一个二叉树的根节点 root ,判断其是否是一个有效的二叉搜索树。
有效 二叉搜索树定义如下:
- 节点的左子树只包含 小于 当前节点的数。
- 节点的右子树只包含 大于 当前节点的数。
- 所有左子树和右子树自身必须也是二叉搜索树。
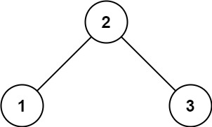
示例 1:

输入:root = [2,1,3]
输出:true
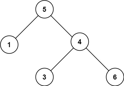
示例 2:

输入:root = [5,1,4,null,null,3,6]
输出:false
解释:根节点的值是 5 ,但是右子节点的值是 4 。
深度优先递归检查子树
思路
限定每个节点值的有效范围来判断二叉树是否是有效的BST
递归三部曲:
确定函数参数和返回值:参数是节点,左(右)子树值的范围。返回值当前子树是否是BST。
确定递归的终止条件:当前节点为空或者当前节点值不合法返回false
确定单层递归的逻辑:
检查左子树右子树是否合法
- 对于左子树,有效范围是 (left, node->val);
- 对于右子树,有效范围是 (node->val, right)
代码实现
/**
* Definition for a binary tree node.
* struct TreeNode {
* int val;
* TreeNode *left;
* TreeNode *right;
* TreeNode() : val(0), left(nullptr), right(nullptr) {}
* TreeNode(int x) : val(x), left(nullptr), right(nullptr) {}
* TreeNode(int x, TreeNode *left, TreeNode *right) : val(x), left(left),
* right(right) {}
* };
*/
class Solution {
public:
bool isValidBST(TreeNode* root) {
return dfs(root, numeric_limits<long>::min(),image.png
numeric_limits<long>::max());
}
bool dfs(TreeNode* node, long left, long right) {
if (node == nullptr)
return true;
if (node->val <= left || node->val >= right)
return false;
return dfs(node->left, left, node->val) &&
dfs(node->right, node->val, right);
}
};

被折叠的 条评论
为什么被折叠?



