🔥博客主页: 我要成为C++领域大神
🎥系列专栏:【C++核心编程】 【计算机网络】 【Linux编程】 【操作系统】
❤️感谢大家点赞👍收藏⭐评论✍️
本博客致力于分享知识,欢迎大家共同学习和交流。

给你一个链表的头节点 head ,判断链表中是否有环。
如果链表中有某个节点,可以通过连续跟踪 next 指针再次到达,则链表中存在环。 为了表示给定链表中的环,评测系统内部使用整数 pos 来表示链表尾连接到链表中的位置(索引从 0 开始)。注意:pos 不作为参数进行传递 。仅仅是为了标识链表的实际情况。
如果链表中存在环 ,则返回 true 。 否则,返回 false 。
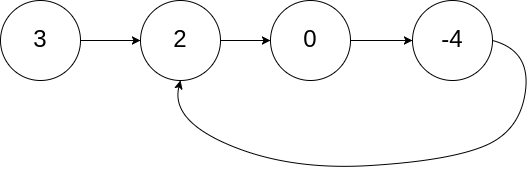
示例 1:

输入:head = [3,2,0,-4], pos = 1
输出:true
解释:链表中有一个环,其尾部连接到第二个节点。
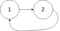
示例 2:

输入:head = [1,2], pos = 0
输出:true
解释:链表中有一个环,其尾部连接到第一个节点。
示例 3:

输入:head = [1], pos = -1
输出:false
解释:链表中没有环。
快慢指针法
流程:
1、定义快指针和慢指针都指向表头。
2、快指针每次移动两个结点,慢指针移动一个结点。
3、在快指针不为空和快指针的下一个结点不为空的前提下,若快指针==慢指针,则说明成环了
代码实现:
/**
* Definition for singly-linked list.
* struct ListNode {
* int val;
* ListNode *next;
* ListNode(int x) : val(x), next(NULL) {}
* };
*/
class Solution {
public:
bool hasCycle(ListNode *head) {
if(head==nullptr)
return false;
ListNode* slow=head;
ListNode* fast=head;
while(fast!=nullptr && fast->next !=nullptr){
slow=slow->next;
fast=fast->next->next;
if(slow == fast)
return true;
}
return false;
}
};
2583

被折叠的 条评论
为什么被折叠?



