🔥博客主页: 我要成为C++领域大神
🎥系列专栏:【C++核心编程】 【计算机网络】 【Linux编程】 【操作系统】
❤️感谢大家点赞👍收藏⭐评论✍️
本博客致力于分享知识,欢迎大家共同学习和交流。

给你一个链表,两两交换其中相邻的节点,并返回交换后链表的头节点。你必须在不修改节点内部的值的情况下完成本题(即,只能进行节点交换)。
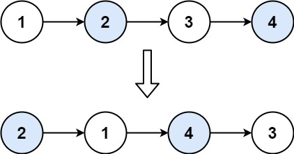
示例 1:

输入:head = [1,2,3,4]
输出:[2,1,4,3]
示例 2:
输入:head = []
输出:[]
示例 3:
输入:head = [1]
输出:[1]
递归
两两交换节点,很明显是让我们将链表分为两个一组,每组内进行节点交换,然后再将所有组合并。这符合递归算法的特点。通过解决一个问题的更小实例来解决一个大的问题的解的算法。递归算法有两个过程,一是调用过程,二是向上传递结果的过程。
流程:
1、函数结束的情况:如果头节点为空,或者头节点没有next节点,那直接返回头节点就行了
2、先看一下第一个子过程,用伪代码来描述

3、处理第二个子过程

代码实现:
/**
* Definition for singly-linked list.
* struct ListNode {
* int val;
* ListNode *next;
* ListNode() : val(0), next(nullptr) {}
* ListNode(int x) : val(x), next(nullptr) {}
* ListNode(int x, ListNode *next) : val(x), next(next) {}
* };
*/
class Solution {
public:
ListNode* swapPairs(ListNode* head) {
if (head == nullptr || head->next == nullptr)
return head;
ListNode* pnext = head->next;
head->next = pnext->next;
pnext->next = head;
head->next = swapPairs(head->next);
return pnext;
}
};
类似题目:K个一组翻转链表
题解:【力扣】K个一组翻转链表
942

被折叠的 条评论
为什么被折叠?



